技术栈
大物重修之浅显知识点
脑子不好真君
2025-05-10 18:52
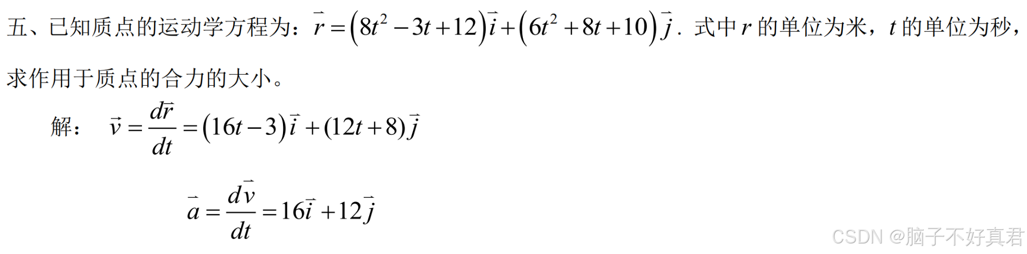
第一章 质点运动学
例1
知识点公式如下:
例2
例3
例4
例5
例6
第四章 刚体的转动
例1
例2
例3
例4
例5
例6
第五章 简谐振动
例1
例2
例3
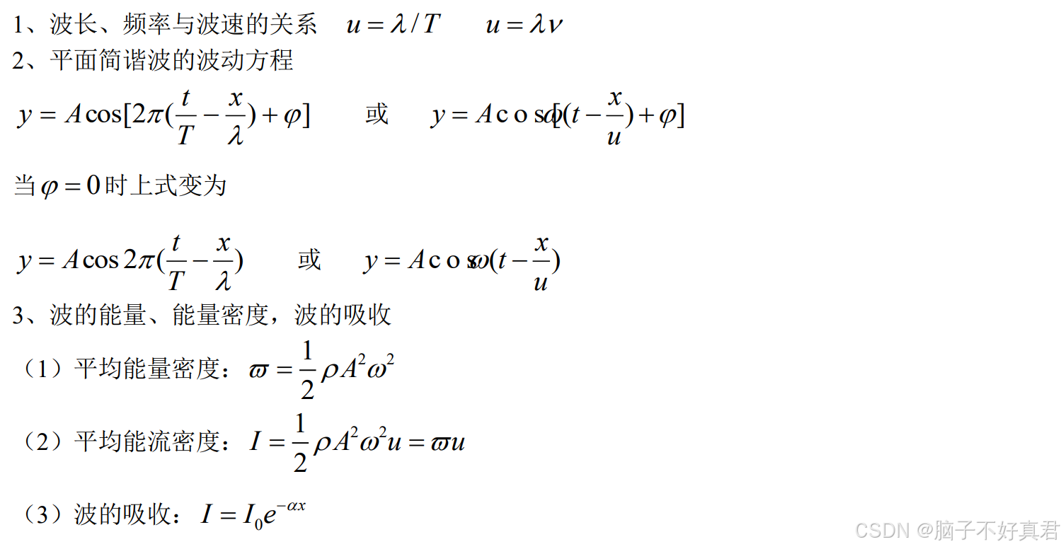
第六章 机械波
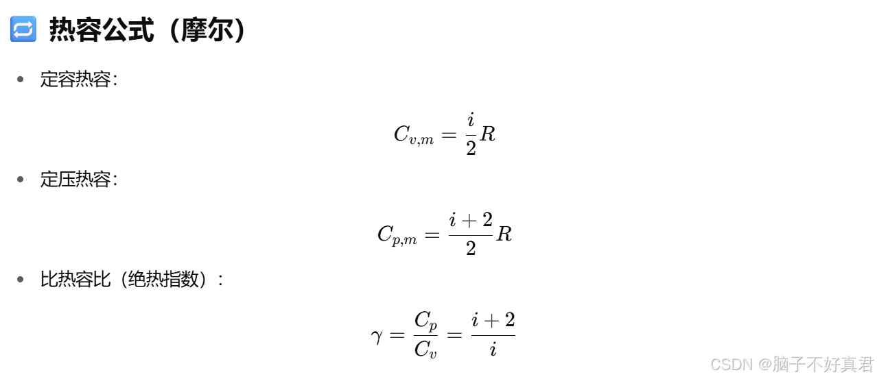
第八章 热力学基础
第九章 静电场
第十一章 恒定磁场
第十二章 电磁感应
大物浅显知识点
上一篇:
C# NX二次开发:宏录制实战讲解(第一讲)
下一篇:
【C/C++】范围for循环
热门推荐
01
GitHub 镜像站点
02
OpenClaw 使用和管理 MCP 完全指南
03
OpenClaw + 飞书(Feishu)环境搭建指南
04
Claude Code + GLM4.7 避坑指南:解决 Unable to connect to Anthropic services
05
OpenClaw优化飞书API 额度已耗尽问题
06
Window 10部署openclaw报错node.exe : npm error code 128
07
小黑课堂计算机二级WPSoffice题库软件下载安装教程(2026年3月最新版)
08
Clawdbot部署教程:解决‘gateway token missing’授权问题的完整步骤
09
本地部署 OpenClaw + DeepSeek-R1 完全指南
10
网站改了域名,如何查找?