
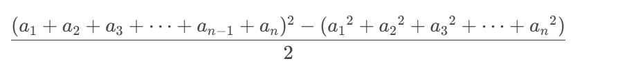
用双重循环会导致超时,可以使用平方和公式来计算从而避免超时

在竞赛中建议使用 BufferedReader
和scanner比较一下

因此Bufferedreader在读取大量数据时有优势
用法:



总结:
这道题的重点是Bufferedreader和数学公式 平方和

用双重循环会导致超时,可以使用平方和公式来计算从而避免超时

在竞赛中建议使用 BufferedReader
和scanner比较一下

因此Bufferedreader在读取大量数据时有优势
用法:



总结:
这道题的重点是Bufferedreader和数学公式 平方和