
He I光谱59.14121nm线对应的就是He原子基态到正氦1s2p的跃迁,由此算出p列3个能级值为20.96677,23.01036,23.71149ev
设正氦的3个点的位置关系为
|----|
| 2 |
| 1 |
| * |
让核与1固定,让2绕平衡位置移动
|---|---|---|----|---|---|---|---|
| 2 | | | | | | | 2 |
| | | | 1 | | | | |
| | | | * | | | | |
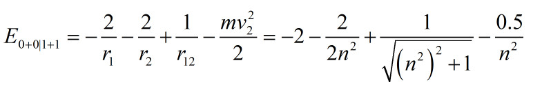
移动距离为n*n,动能为-0.5/n*n,设能级为

如计算当n=2时
n=2.0
f1=-2 -2/(2*n*n) +1/(((n*n)**2+1)**0.5)-0.5/(n*n)
f2=-2.904
f3=(f2-f1)*27.2
print ( f3, f1 )
f3=-20.985769000988256
f1=-2.132464374963667
得到表格
|-----|----------|----------|----------|---------|----------------|---------|-------------|-------------|-------------|
| | | E | 实测 | 差 | |19.82159-E| | 1240/ΔE | NIST实测 | | |
| | Hartree | ev | ev | ev | ΔE | nm | nm | Lower Level | Upper Level |
| 2 | -2.13246 | 20.98577 | 20.96677 | 0.019 | 1.16418 | 1065.13 | 1083.025011 | 1s2s | 1s2p |
| 3 | -2.05624 | 23.0592 | 23.01036 | 0.04884 | 3.23761 | 382.999 | 388.8648 | 1s2s | 1s3p |
| 4 | -2.03137 | 23.73549 | 23.71149 | 0.024 | 3.9139 | 316.82 | 318.7745 | 1s2s | 1s4p |
| 5 | -2.02003 | 24.04393 | | | 4.22234 | 293.676 | 294.5106 | 1s2s | 1s5p |
| 6 | -2.0139 | 24.21073 | | | 4.38914 | 282.515 | 282.9080951 | 1s2s | 1s6p |
| 7 | -2.01021 | 24.31113 | | | 4.48954 | 276.198 | 276.3801583 | 1s2s | 1s7p |
| 8 | -2.00781 | 24.37625 | | | 4.55466 | 272.249 | 272.3191 | 1s2s | 1s8p |
| 9 | -2.00617 | 24.42087 | | | 4.59928 | 269.607 | 269.6119 | 1s2s | 1s9p |
| 10 | -2.005 | 24.45279 | | | 4.6312 | 267.749 | 267.7135 | 1s2s | 1s10p |
| 11 | -2.00413 | 24.4764 | | | 4.65481 | 266.391 | | | |
| 12 | -2.00347 | 24.49435 | | | 4.67276 | 265.368 | | | |
| 13 | -2.00296 | 24.50832 | | | 4.68673 | 264.577 | | | |
| 14 | -2.00255 | 24.51941 | | | 4.69782 | 263.952 | | | |
| 15 | -2.00222 | 24.52835 | | | 4.70676 | 263.451 | | | |
| 20 | -2.00125 | 24.5548 | | | 4.73321 | 261.979 | | | |
| 30 | -2.00056 | 24.57369 | | | 4.7521 | | | | |
| 40 | -2.00031 | 24.5803 | | | 4.75871 | | | | |
| 50 | -2.0002 | 24.58336 | | | 4.76177 | | | | |
| 60 | -2.00014 | 24.58502 | | | 4.76343 | | | | |
| 70 | -2.0001 | 24.58602 | | | 4.76443 | | | | |
| 80 | -2.00008 | 24.58667 | | | 4.76508 | | | | |
| 90 | -2.00006 | 24.58712 | | | 4.76553 | | | | |
| 100 | -2.00005 | 24.58744 | | | 4.76585 | | | | |
计算第一电离能为24.587ev实测为24.581ev
|----------|----------|---------|
| E | 实测 | 差 |
| ev | ev | ev |
| 20.98577 | 20.96677 | 0.019 |
| 23.0592 | 23.01036 | 0.04884 |
| 23.73549 | 23.71149 | 0.024 |
计算得到的3个能级和实测接近,
|---------|-------------|-------------|-------------|----------|
| 1240/ΔE | NIST实测 | | | |
| nm | nm | Lower Level | Upper Level | 差 |
| 1065.13 | 1083.025011 | 1s2s | 1s2p | 17.89763 |
| 382.999 | 388.8648 | 1s2s | 1s3p | 5.86623 |
| 316.82 | 318.7745 | 1s2s | 1s4p | 1.954959 |
| 293.676 | 294.5106 | 1s2s | 1s5p | 0.834581 |
| 282.515 | 282.9080951 | 1s2s | 1s6p | 0.392614 |
| 276.198 | 276.3801583 | 1s2s | 1s7p | 0.182597 |
| 272.249 | 272.3191 | 1s2s | 1s8p | 0.070458 |
| 269.607 | 269.6119 | 1s2s | 1s9p | 0.004483 |
| 267.749 | 267.7135 | 1s2s | 1s10p | -0.03568 |
计算得到n到10的光谱值和实测值很接近。