试剂基本信息
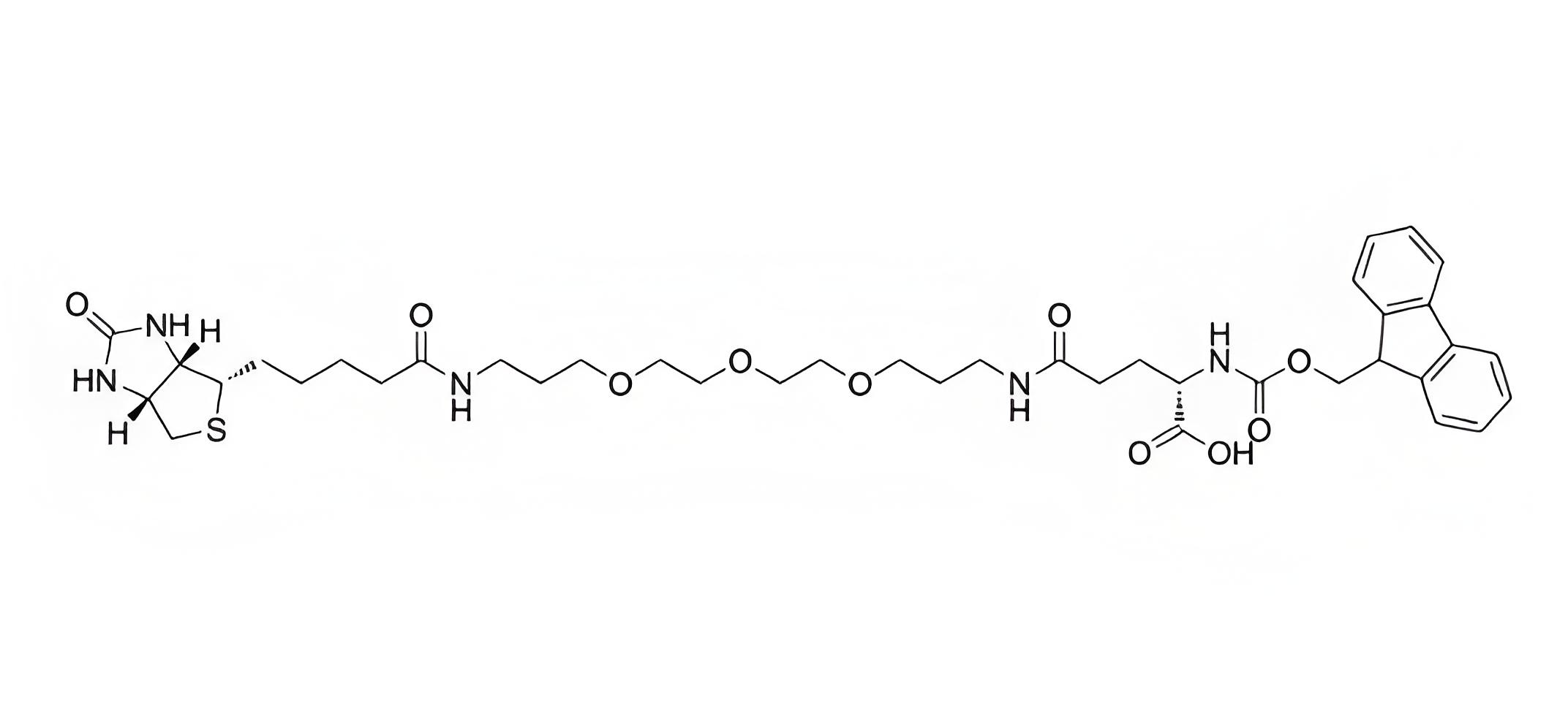
中文名称:FMOC-GLU(生物素基-PEG)-OH,芴甲氧羰基-谷氨酰胺酸(生物素基-聚乙二醇),FMOC-L-谷氨酰胺(BIOTINYL-PEG)
英文名称:Fmoc-Glu(biotinyl-PEG)-OH ,Fmoc-Glu(biotinyl-PEG)-Hydroxyls
CAS号:817169-73-6
分子式:C40H55N5O10S
分子量:797.96
性状:粉末
纯度:95%+
规格:5mg,10mg
供应厂家:西安强化生物
储存条件:-20℃避光干燥保存,避免反复冻融
试剂描述
Fmoc-Glu(biotinyl-PEG)-OH是一种用于多肽合成和生物标记研究的多功能试剂。它是一个经过精心设计的谷氨酸衍生物,在氨基酸的侧链上通过一段聚乙二醇(PEG)连接了一个生物素标签,同时其主链氨基由Fmoc基团保护。

核心特点
多功能模块化设计:该试剂巧妙整合了三个功能单元。Fmoc保护基使其能无缝应用于标准的固相多肽合成;中间的PEG链作为亲水性间隔臂,能有效减少空间位阻;末端的生物素则赋予最终产物与亲和素(如链霉亲和素)高特异性结合的能力。
提升结合效率:PEG间隔臂能有效拉开生物素与多肽主链的距离,减少二者之间的空间位阻,使生物素能更高效、更自由地与亲和素蛋白结合。
减少非特异性干扰:PEG链具有良好的亲水性,可以最大限度地减少因疏水作用导致的试剂与蛋白质疏水口袋的非特异性结合,从而提高实验的特异性和准确性。
化学性质
分子信息:其CAS号为817169-73-6,分子式为C40H55N5O10S,分子量约为798 g/mol 。
物理性状与溶解性:通常为白色至类白色的粉末状固体 。它在DMF、DMSO等有机溶剂中具有极佳的溶解性,非常适合用于固相多肽合成。
相关试剂
HO-PEG6-OH
HO-PEG8-OH
HO-PEG9-OH
HO-PEG10-OH
HO-PEG11-OH
HO-PEG12-OH
OH-PEG14-OH
OH-PEG18-OH
OH-PEG16-OH
Benzyl-PEG10-alcohol
Benzyl-PEG11-alcohol
m-PEG6-alcohol
m-PEG7-alcohol
m-PEG8-alcohol
m-PEG9-alcohol
DSPE-COOH
Br-PEG2-OH
Br-PEG3-OH
Br-PEG4-OH
以上内容由西安强化生物MA整理,感谢您的阅读,我们下期再会。
注意:本试剂仅供科研使用,不可用于人类药用及食用领域。