试剂基本信息
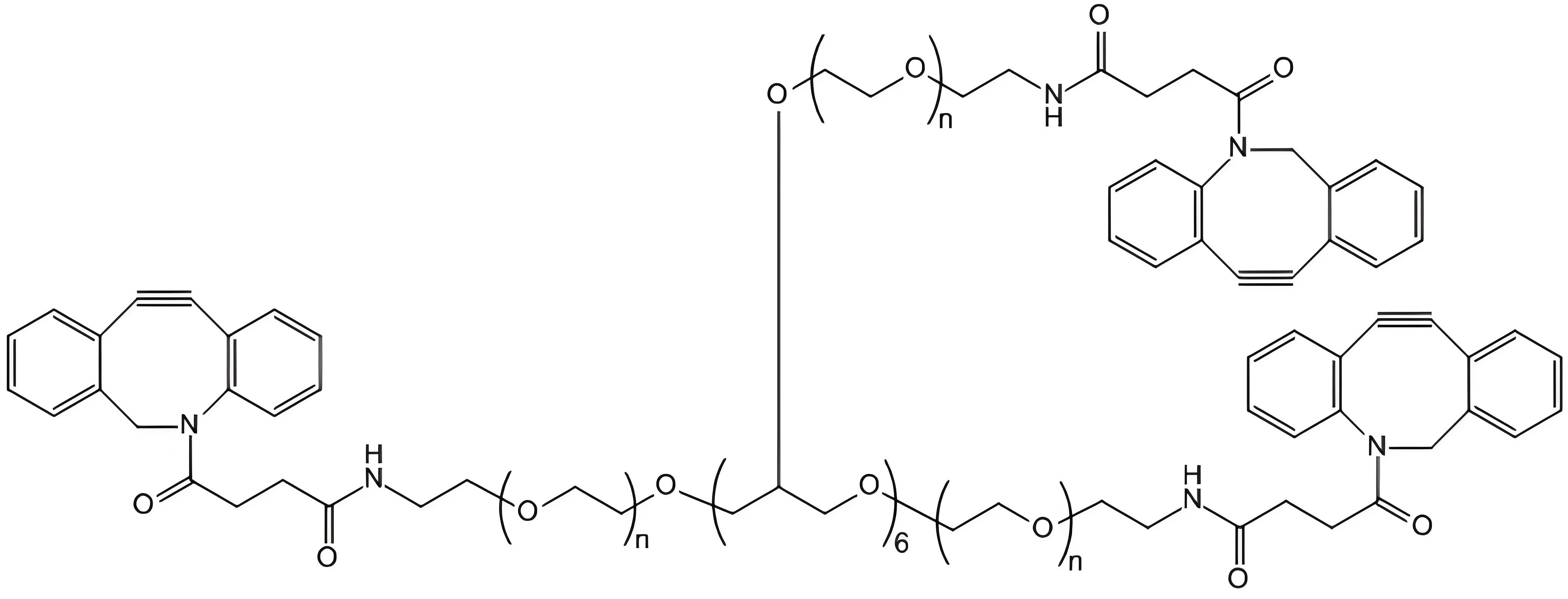
中文名称:八臂聚乙二醇二苯并环辛炔
英文名称:8 Arm-PEG-DBCO
纯度:95%+
状态:固体/粉末
规格:50mg 100mg 500mg
供应厂家:西安强化生物
储存条件:-20℃避光干燥保存,避免反复冻融
试剂描述
8arm-PEG-DBCO(八臂聚乙二醇-二苯并环辛炔)是一种多臂星形聚合物衍生物,其结构由一个中心核心向外辐射出八条聚乙二醇链,每条链的末端均修饰有DBCO(二苯并环辛炔)基团。该试剂根据分子量不同呈固体粉末或粘稠液体形态,纯度可达95%以上,常见分子量范围为2000至40000 Da。

核心特点
星形多价结构:八条PEG臂从中心核心对称延伸,每个末端均含有一个DBCO基团,可同时与多个含叠氮基团的分子发生反应,实现高密度的多价偶联。
无铜点击反应能力:DBCO基团因含有高张力的环炔结构,可在无金属催化条件下与叠氮基团发生应变促进叠氮-炔环加成反应,避免了铜离子可能带来的干扰。
优异的溶解性能:PEG链段赋予该试剂良好的水溶性,同时可溶于DCM、DMF、DMSO、THF等多种有机溶剂,便于在不同反应体系中使用。
分子量可定制:提供2000至40000 Da的多种分子量规格,高分子量产品呈固体粉末形态,便于称量和储存。
化学性质
SPAAC点击反应:DBCO基团与叠氮官能化分子在室温条件下即可快速发生环加成反应,生成稳定的三唑环,反应速率快、选择性高,无需催化剂。
物理状态变化:外观随分子量变化,较低分子量时呈粘稠液体,较高分子量时呈固体粉末。
溶解特性:在水相体系中需调节pH 7-9以维持稳定性,避免强氧化剂或硫醇化合物干扰DBCO的反应活性。
相关试剂
m-PEG9-amine
m-PEG10-amine
Propargyl-PEG11-alcohol
Lipoamido-PEG1-alcohol
Lipoamido-PEG4-alcohol
Lipoamido-PEG5-alcohol
Lipoamido-PEG6-alcohol
Lipoamido-PEG7-alcohol
Lipoamido-PEG8-alcohol
Lipoamido-PEG9-alcohol
Allyl-PEG11-OH
Allyl-PEG12-OH
Bis-PEG4-sulfonicacid
Tr-PEG4-OH
Cl-PEG2-acid
PEG12-ethyl acetate
Cl-PEG7-acid
Cl-PEG3-acid
azido-PEG13-OH
以上内容由西安强化生物MA整理,感谢您的阅读,我们下期再会。
注意:本试剂仅供科研使用,不可用于人类药用及食用领域。