

网罗开发 (小红书、快手、视频号同名)
大家好,我是 展菲,目前在上市企业从事人工智能项目研发管理工作,平时热衷于分享各种编程领域的软硬技能知识以及前沿技术,包括iOS、前端、Harmony OS、Java、Python等方向。在移动端开发、鸿蒙开发、物联网、嵌入式、云原生、开源等领域有深厚造诣。
图书作者:《ESP32-C3 物联网工程开发实战》
图书作者:《SwiftUI 入门,进阶与实战》
超级个体:COC上海社区主理人
特约讲师:大学讲师,谷歌亚马逊分享嘉宾
科技博主:极星会首批签约作者
文章目录
摘要
在二叉树的相关问题中,统计 完全二叉树 的节点个数是一个经典问题。普通的 O(n) 遍历方法可以解决,但 如何更快地计算节点数?
本文将介绍 基于二分查找 + 位运算 的 O(log² n) 高效算法,并提供 Swift 代码示例与详细分析。

描述
给你一棵 完全二叉树 的根节点 root ,求出该树的节点个数。
完全二叉树 的定义如下:在完全二叉树中,除了最底层节点可能没填满外,其余每层节点数都达到最大值,并且最下面一层的节点都集中在该层最左边的若干位置。若最底层为第 h 层(从第 0 层开始),则该层包含 1~ 2h 个节点。
示例 1:

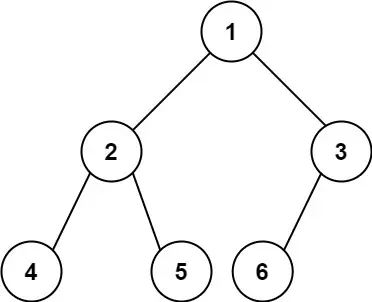
输入: root = [1,2,3,4,5,6]
输出: 6
示例 2:
输入: root = []
输出: 0
示例 3:
输入: root = [1]
输出: 1
提示:
- 树中节点的数目范围是
[0, 5 * 104] 0 <= Node.val <= 5 * 104- 题目数据保证输入的树是 完全二叉树
进阶: 遍历树来统计节点是一种时间复杂度为 O(n) 的简单解决方案。你可以设计一个更快的算法吗?

题解答案
最直接的思路是使用 DFS 或 BFS 遍历整棵树 ,统计节点总数,时间复杂度 O(n),但对于 n=50000 级别的数据,这并不是最优解。
高效方法
由于完全二叉树的特殊性:
- 计算树的深度
h:可通过 沿着左子树遍历到底 计算h,时间O(log n)。 - 利用二分查找计算最底层节点数 :
- 完全二叉树的总节点数介于
2^h ~ 2^(h+1)-1,需要找到 最底层最后一个节点 位置。 - 采用 二分查找 + 位运算 判断某个索引
idx是否存在。
- 完全二叉树的总节点数介于
最终,整个算法的时间复杂度为 O(log² n),比 O(n) 提升显著。
题解代码分析
swift
import Foundation
// 定义树节点结构
public class TreeNode {
public var val: Int
public var left: TreeNode?
public var right: TreeNode?
public init(_ val: Int) { self.val = val; self.left = nil; self.right = nil }
}
// 主函数
func countNodes(_ root: TreeNode?) -> Int {
guard let root = root else { return 0 }
// 计算树深度
func getDepth(_ node: TreeNode?) -> Int {
var depth = 0
var current = node
while current != nil {
depth += 1
current = current?.left
}
return depth
}
let depth = getDepth(root)
if depth == 1 { return 1 } // 只有一个节点的情况
// 二分查找底层最后一个节点
let maxNodes = (1 << (depth - 1)) - 1 // 计算完整的上层节点数
var left = 0, right = maxNodes
func nodeExists(_ index: Int, _ depth: Int, _ root: TreeNode?) -> Bool {
var node = root
var left = 0, right = maxNodes
for _ in 0..<(depth - 1) {
let mid = (left + right) / 2
if index <= mid {
node = node?.left
right = mid
} else {
node = node?.right
left = mid + 1
}
}
return node != nil
}
while left < right {
let mid = (left + right + 1) / 2
if nodeExists(mid, depth, root) {
left = mid
} else {
right = mid - 1
}
}
return maxNodes + left + 1
}
示例测试及结果
swift
// 构造二叉树
let root = TreeNode(1)
root.left = TreeNode(2)
root.right = TreeNode(3)
root.left?.left = TreeNode(4)
root.left?.right = TreeNode(5)
root.right?.left = TreeNode(6)
// 计算节点数
print(countNodes(root)) // 输出: 6
时间复杂度
- 计算树的深度 :
O(log n) - 二分查找最后一个节点 :
O(log n) - 总复杂度 :
O(log² n)
空间复杂度
- 仅用到常数额外空间,
O(1)
总结
✅ 利用完全二叉树特性 ,减少遍历次数
✅ 二分查找 + 位运算 ,降低时间复杂度至 O(log² n)
✅ 适用于大规模数据 ,如 n=50000