技术栈
线性代数:公共解
呵呵哒( ̄▽ ̄)"
2025-04-04 11:42
例题1:
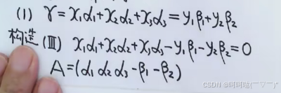
例题2:
线性代数
上一篇:
[CISSP] [7] PKI和密码应用
下一篇:
c++柔性数组、友元、类模版
相关推荐
AI科技星
17 小时前
《数学公理体系·第三部·数术几何》(2026 年版)
c语言
·
开发语言
·
线性代数
·
算法
·
矩阵
·
量子计算
·
agi
AI科技星
21 小时前
第二章 平行素数对网格:矩形→等腰梯形拓扑变换(完整公理终稿)
c语言
·
开发语言
·
线性代数
·
算法
·
量子计算
·
agi
dog250
21 小时前
解析几何的现代范式-算力,拟合与对偶
服务器
·
开发语言
·
网络
·
线性代数
·
php
晚霞的不甘
1 天前
CANN Catlass 矩阵乘模板库深度解析:高性能矩阵运算的进阶之路
人工智能
·
python
·
线性代数
·
矩阵
AI_yangxi
1 天前
短视频矩阵系统技术强的公司
线性代数
·
矩阵
ccice01
1 天前
硬核技术解析:运用Gemini多步推理链,攻克办公场景中的复杂决策与风险矩阵构建(国内免费镜像实操)
人工智能
·
线性代数
·
矩阵
AI算法沐枫
1 天前
大一学生如何入门机器学习,深度学习,学习顺序如何?
人工智能
·
python
·
深度学习
·
学习
·
线性代数
·
算法
·
机器学习
木斯佳
1 天前
HarmonyOS 6 ArkGraphics 3D精讲:坐标、向量与矩阵——初识3D数学的“空间建模”
线性代数
·
3d
·
矩阵
05候补工程师
2 天前
【408狂飙·数据结构】核心考点深度复盘:数组地址计算、特殊矩阵压缩存储与树的五大性质解题直觉
数据结构
·
笔记
·
线性代数
·
考研
·
算法
·
矩阵
AI科技星
2 天前
全域数学公理:基于32维超复数与易经卦爻的宇宙大一统理论(整理版)
c语言
·
开发语言
·
线性代数
·
量子计算
·
agi
热门推荐
01
GitHub 镜像站点
02
Codex 接入 DeepSeek API 完整配置文档
03
CC-Switch & Claude 基于 Linux 服务器安装使用指南
04
【踩坑记录 | 第一篇】微软商店无法使用时,如何手动安装 OpenAI Codex?附`.msix`文件系统错误解决方法
05
【AI】2026 年具身智能模型和世界模型总结
06
装上就回不去了:CodeGraph 让 AI 编程效率飙升 92%,它到底做了什么?
07
几个好用的ip纯净度检测网站
08
裂开!ChatGPT 居然开始要手机号验证,附详细解决方法
09
用了半年 OpenRouter,我换到了 Ofox.ai — 两个 AI API 聚合平台的真实对比
10
codex app每次打开重连5次Reconnecting问题解决