一、前言
对于git rebase 一直不太了解,这几天想着提高下git提交质量,就发现了这个好用的指令,顺便记录一下,好加深记忆
贴出官方文档以便大家进一步学习 Git
二、rebase是作用
rebase官方解释为变基,可以理解为移动你的分支根节点,维护一个更好的提交记录。rebase把你当前最新分支与其他分支合并时候,会把其他分支的提交记录放在我们当前分支时间线最开始的位置。也就是说,会把我们的提交记录整合在公共分支的后面。- 简单来讲,合并本地其他分支 为了不产生多余的分叉,及合并记录时可以使用
rebase。 - 接下来我们看一下
rebase有哪些应用场景及使用技巧与merge的差异。
三、rebase与merge的差异
rebase会把你当前分支的commit放到公共分支的最后面,所以叫变基。就好像你从公共分支又重新拉出来这个分支一样。merge会把公共分支和你当前的commit合并在一起,形成一个新的commit提交。
四、应用场景
-
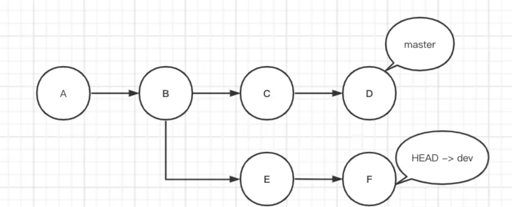
你刚入公司,技术leader让你以
master分支为基础,拉出一个分支进行开发需求。此时master分支提交记录为a、b。你在dev分支分别commit了2次记录为e、f,有其他同事在master分支提交了两次记录为c、d这个时候你要合并master分支代码。 -
当前分支状态节点如下图所示:

五、使用git merge 进行合并操作


5.1、结论
- 如上图所示
merge会把两个分支合并在一起,形成一个新的commit提交记录。- 我们发现
coomit提交记录是把合并的分支记录放到我们当前dev分支记录的后面。- 并且
coomit提交记录会产生分叉。
七、使用git rebase 进行合并操作
bash
$ git rebase master // 合并master分支代码
$ git log --graph --oneline // 查看log点线图
// 符号解释:
* 表示一个commit, 注意不要管*在哪一条主线上
| 表示分支前进
/ 表示分叉
\ 表示合入
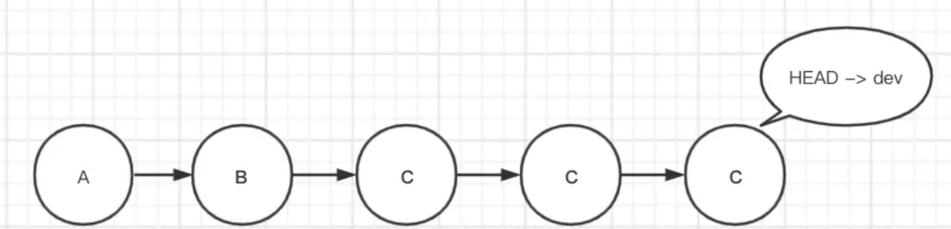
7.1、结论
- 首先,我们发现目前
dev分支上面的提交记录为abcdef并没有像merge一样产生新的提交记录- 其次
rebasemaster分支到dev分支,dev分支的历史记录会添加在master分支的后面。- 如图所示,历史记录成一条线,非常整洁,最后并没有像使
merge一样提交记录产生分叉。
八、rebase的使用业务场景
- 认识到了rebase,让我们来看看有哪些实战场景可以参考使用。
8.1 场景一
- 经典场景,优化本地提交记录,使其减少分叉。
- 和上面👆那个经典案例一样,这里就不做重复描述了😁
8.2 场景二
- 连续性冲突
- 此时你从master分支拉出一个dev分支来对以v1版本为基础a功能进行需求更改,由于项目经理分功能时,让你的同事也对master分支中的a功能中的某个公共页面a也进行了整改,过一会你同事改完,提交x版本并合并push到了master远程分支上面。此时我们在dev分支完成一次开发提交了v2版本,产品经理过来说,需求有变更,要再做修改,然后我们又以v2的基础上在做修改,并提交为v3版本。过一会测试又提了一个需求建议。我们接着以当前dev分支v3版本为基础做好了整改并commit一个v4版本。到此我们本地假设对页面a修改了三次。同事修改了一次,并push到了远程master上面。那么我们对master分支进行合并到时候就会产生冲突。
- 简单来讲就是。远程分支 master 对文件a进行了1次 commit ,而别的分支dev对文件A进行了3次commit,但是本地分支dev提交的n次 commit都与master分支的1次commit有冲突,
8.2.1 使用 git rebase 解决冲突
bash
$ git fetch // 更新本地存储的远程仓库的分支引用
$ git rebase origin/master // 拉去远程分支master中的代码与当前分支合并且变基
// 此时我们会产生第一次冲突,为当前dev分支版本v2中的a页面与远程分支master中的a页面冲突。解决后,根据提示进行
$ git add .
$ git rebase continue // 继续进行合并
// 此时我们会产生第二次冲突,为当前dev分支版本v3中的a页面与远程分支master中的a页面冲突。解决后,根据提示进行
$ git add .
$ git rebase continue // 继续进行合并
// 此时我们会产生第三次冲突,为当前dev分支版本v4中的a页面与远程分支master中的a页面冲突。解决后,根据提示进行
$ git add .
$ git rebase continue // 继续进行合并
// 至此我们使用 rebase 变基完成 可以根据产品需求push到远程dev分支
$ git log --graph --oneline // 查看log点线图
// 符号解释:
* 表示一个commit, 注意不要管*在哪一条主线上
| 表示分支前进
/ 表示分叉
\ 表示合入
8.3 结论
1、不会因为像使用
merge时合代码时遇到冲突产生新的提交记录2、用 merge 只需要解决一次冲突即,简单粗暴,而用
rebase的时候 ,需要依次解决每次的冲突,才可以提交。3、使用
rebase提交记录不会分叉,一条线干净整洁4、冲突解决完之后,使用
git add来标记冲突已解决,最后执行git rebase --continue继续。如果中间遇到某个补丁不需要应用,可以用下面命令忽略:git rebase --skip5、如果想回到
rebase执行之前的状态,可以执行:git rebase --abort
8.4 场景三
- 你开发的一个需求产品反复更改,导致你的commit记录多次重复功能点
- 在日常开发中,难免有重复的commit提交记录.这时候我们想优化一下提交记录该如何做呢
- 当前分支状态节点如下图所示:

使用git rebase 进行commit记录合并操作
bash
$ git rebase -i HEAD~x
// i(interactive)交互,HEAD~x 代表要合并到距离HEAD最近的几个历史提交,如 HEAD~3就是历史的前3个提交.
$ git log --graph --oneline // 查看log点线图
// 符号解释:
* 表示一个commit, 注意不要管*在哪一条主线上
| 表示分支前进
/ 表示分叉
\ 表示合入
-
这里我们使用git rebase -i HEAD~3,此时我们会出现如下界面,我们进行简单设置

-

此时我们会产生一条新的提交记录,并选择填写提交相关信息,并删减掉合并掉的提交记录

- 到此我们的合并已结束。
8.4.1 结论
- 合并了冗余的提交记录,并产生了一条新的提交记录
- 使提交记录看起来更整洁,也方便同事查阅
九、总结
- 我们发现分享
rebase全文都是围绕 优化分支提交记录 来举例子介绍该命令,我个人觉得这也就是该命令的核心之处。 - 在学习
rebase之前我日常使用的基本都是merge导致commit记录过于混乱


