每周跟踪AI热点新闻动向和震撼发展 想要探索生成式人工智能的前沿进展吗?订阅我们的简报,深入解析最新的技术突破、实际应用案例和未来的趋势。与全球数同行一同,从行业内部的深度分析和实用指南中受益。不要错过这个机会,成为AI领域的领跑者。点击订阅,与未来同行! 订阅:https://rengongzhineng.io/

微软于2025年4月30日发布了最新的开源推理模型套件"Phi-4-Reasoning",标志着在中等规模语言模型(14B参数)中实现高效复杂推理能力的又一重大突破。尽管大型语言模型(LLM)在自然语言处理任务中已表现出显著进步,但在数学问题求解、算法规划与编程等推理密集型任务中,模型规模、训练策略及推理效率仍是关键制约因素。许多表现优异的通用模型常常难以构建多步推理链或回溯中间步骤,导致在需要结构化推理的应用场景中表现不佳。同时,简单扩大模型参数虽有助于推理能力提升,但也带来巨大的计算与部署成本,限制其在教育、工程或决策支持等实际场景中的应用。
微软发布Phi-4推理模型家族
此次微软发布的Phi-4 Reasoning家族包括三个模型:Phi-4-reasoning、Phi-4-reasoning-plus与Phi-4-mini-reasoning,皆基于14B参数的Phi-4主干架构,专为数学、科学及软件工程等领域的复杂推理任务设计。不同模型版本在计算效率与输出精度之间提供多样化选择。其中,Phi-4-reasoning通过结构化监督微调优化,而Phi-4-reasoning-plus在此基础上进一步引入基于结果的强化学习机制,特别针对高方差数学竞赛类任务进行性能增强。
微软开放了模型权重及完整训练细节和评估日志,所有资源已发布于Hugging Face平台,确保模型的可复现性与研究透明度。
技术构成与训练方法革新
Phi-4-reasoning系列模型在基础架构与训练方法上做出了若干关键改进,主要包括:
- 结构化监督微调(Structured SFT):团队精心挑选了逾140万条提示语,重点聚焦于Phi-4基础模型边缘能力范围的"边界问题",强调多步骤推理而非简单事实回忆。训练数据由"o3-mini"模型在高推理模式下合成生成。
- 思维链格式(Chain-of-Thought) :模型输出中采用显式的
<think>
标签,引导模型将推理过程与最终答案分离,以实现更清晰的推理轨迹。 - 扩展上下文处理能力:通过调整旋转位置编码(RoPE)的基本频率,使模型可处理最多32K token的输入,有助于更长的推理路径和多轮复杂问答。
- 强化学习优化(Phi-4-reasoning-plus):该版本模型引入"群体相对策略优化"(Group Relative Policy Optimization,GRPO),基于约6400条精挑细选的数学问题进行微调。奖励函数设计上,鼓励模型生成正确、简洁、结构良好的输出,同时惩罚冗长、重复或格式错误的回答。
这种以数据为核心、关注输出结构的训练方法显著提升了模型在推理过程中的泛化能力,能有效应对未见过的符号推理任务。
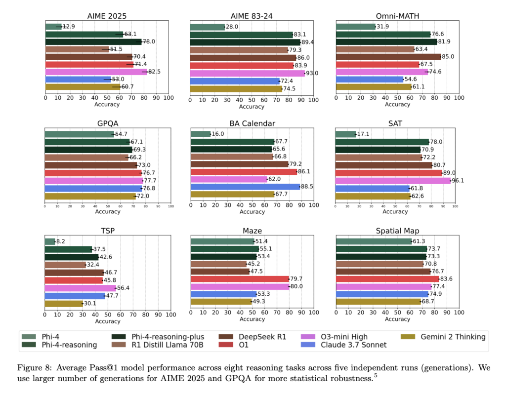
评估结果与性能表现
Phi-4-reasoning系列在多个推理评估基准上展现出卓越表现,性能甚至可与显著更大的开源模型媲美:
- Phi-4-reasoning-plus在特定领域任务上取得优异成绩,同时也展现出良好的跨领域泛化能力,如在旅行商问题(TSP)与三满足问题(3SAT)等组合优化任务中表现稳定,尽管其训练数据中并未包含相关样例。
- 在指令遵循评估(IFEval)与长上下文问答(FlenQA)任务中的出色表现,也证明"思维链"训练格式有助于拓展模型在通用场景中的实用性。
- 特别是在对高敏感性数据集如AIME 2025进行测试时,微软公开了50次生成结果的方差分布,结果显示Phi-4-reasoning-plus在一致性方面可与o3-mini匹敌,显著优于较小模型如DeepSeek-R1-Distill。

研究结论与未来展望
Phi-4 Reasoning系列模型展现出一种方法上高度严谨、规模上适中的小模型推理范式。通过精准的数据选型、结构调参与少量但关键的强化学习干预,微软验证了14B规模模型在多步骤推理任务中的出色能力,不仅实现了对更大模型的性能追平,甚至在部分任务中实现超越。

模型权重的开放与透明的基准测试也为未来小型LLM的发展设定了新标准。此类模型尤其适合应用于对解释性、成本与稳定性要求高的领域,如教育、工程及决策支持系统。微软预计后续将继续拓展模型在更多STEM学科的适应能力,优化解码策略,并探索更大规模的长期强化学习方案,以进一步增强模型的复杂推理能力与实用价值。