中序遍历算法
它和前序遍历算法仅仅只是代码的顺序上的差异。
cpp
/* 二叉树的中序遍历递归算法 */
void InOrderTraverse(BiTree T)
{
if (T == NULL) return;
InOrderTraverse(T->lchild); /* 中序遍历左子树 */
printf("%c", T->data); /* 显示结点数据,可以更改为其他对结点操作 */
InOrderTraverse(T->rchild); /* 最后中序遍历右子树 */
}
换句话说,它等于是把调用左孩子的递归函数提前了,就这么简单。我们来看看当调用InOrderTraverse(T)函数时,程序是如何运行的。
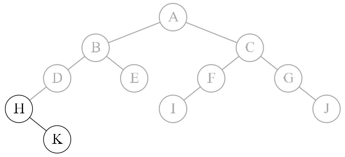
1.调用InOrderTraverse(T),T的根结点不为null,
于是调用InOrderTraverse(T->lchild);访问结点B。当前指针不为null,
继续调用InOrderTraverse(T->lchild);访问结点D。不为null,
继续调用InOrderTraverse(T->lchild);访问结点H。不为null,
继续调用InOrderTraverse(T->lchild);访问结点H的左孩子,发现当前指针为null,返回。打印结点H

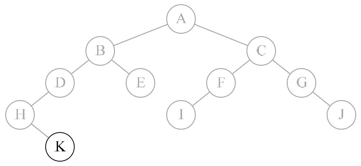
2.然后调用InOrderTraverse(T->rchild);访问结点H的右孩子K,因结点K无左孩子,所以打印K,

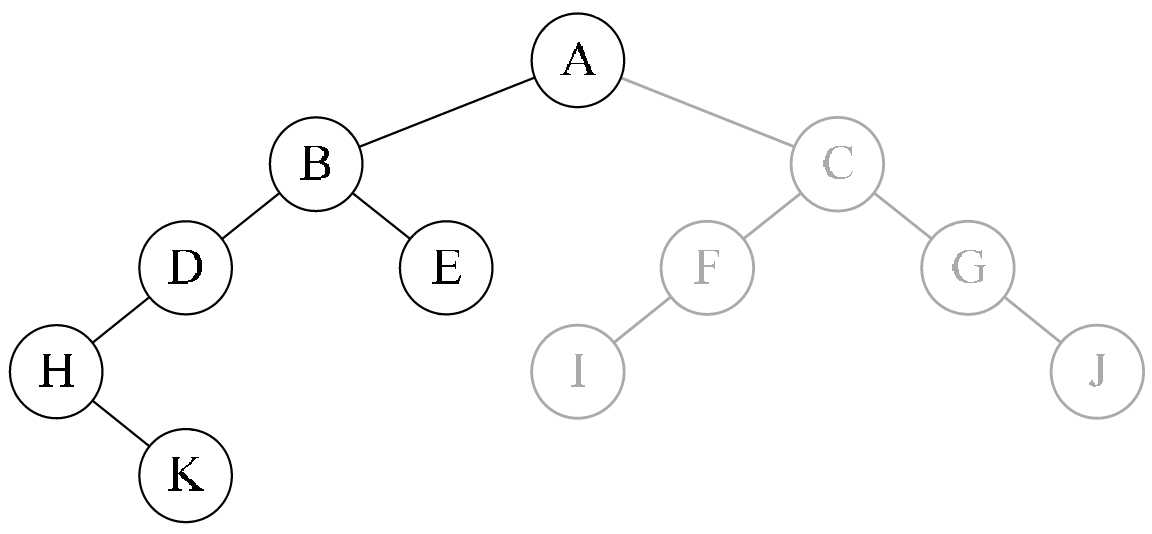
3.因为结点K没有右孩子,所以返回。打印结点H函数执行完毕,返回。打印字母D,

4.结点D无右孩子,此函数执行完毕,返回。打印字母B,

5.调用InOrderTraverse(T->rchild);访问结点B的右孩子E,因结点E无左孩子,所以打印E,

6.结点E无右孩子,返回。结点B的递归函数执行完毕,返回到了最初我们调用In-OrderTraverse的地方,打印字母A,

7.再调用InOrderTraverse(T->rchild);访问结点A的右孩子C,再递归访问结点C的左孩子F,结点F的左孩子I。因为I无左孩子,打印I,之后分别打印F、C、G、J。步骤省略。
综上,中序遍历这棵二叉树的节点顺序是:HKDBEAIFCGJ。
后序遍历算法
那么同样的,后序遍历也就很容易想到应该如何写代码了。
cpp
/* 二叉树的后序遍历递归算法 */
void PostOrderTraverse(BiTree T)
{
if (T == NULL) return;
PostOrderTraverse(T->lchild); /* 先后序遍历左子树 */
PostOrderTraverse(T->rchild); /* 再后序遍历右子树 */
printf("%c", T->data); /* 显示结点数据,可以更改为其他对结点操作 */
}
后序遍历是先递归左子树,由根结点A→B→D→H,结点H无左孩子,再查看结点H的右孩子K,因为结点K无左右孩子,所以打印K,返回。

最终,后序遍历的结点的顺序就是:KHDEB-IFJGCA。
推导遍历算法
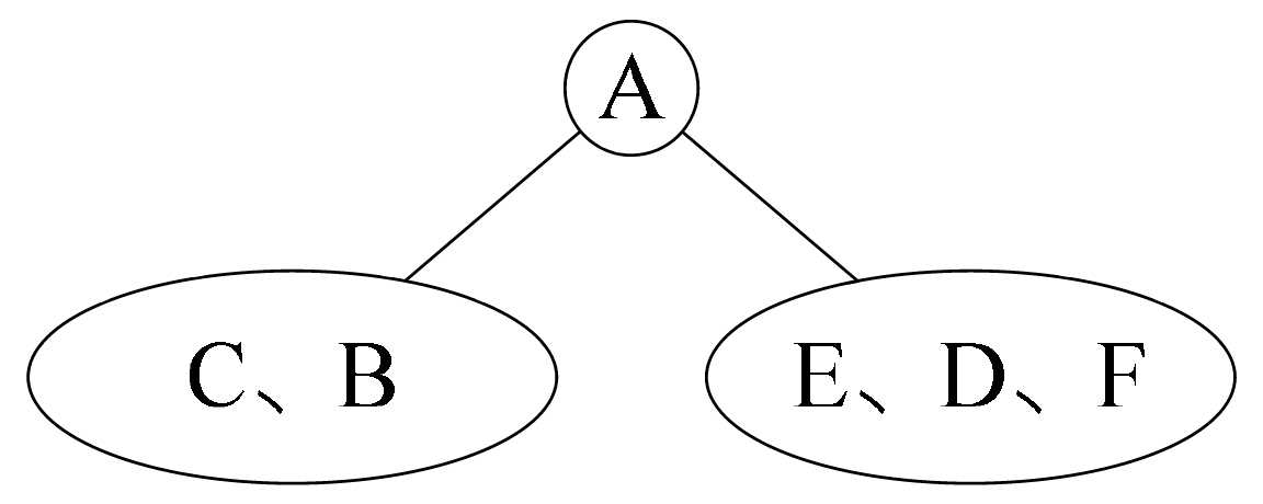
有一种题目为了考查你对二叉树遍历的掌握程度,是这样出题的。已知一棵二叉树的前序遍历序列为ABCDEF,中序遍历序列为CBAEDF,请问这棵二叉树的后序遍历结果是多少?
对于这样的题目,如果真的完全理解了前中后序的原理,是不难的。
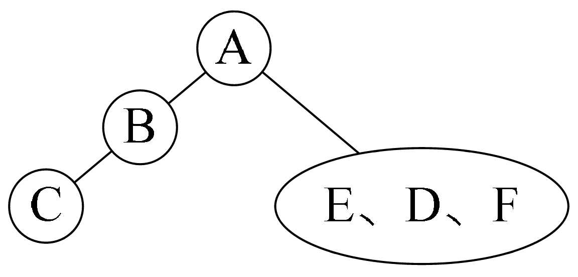
三种遍历都是从根结点开始,前序遍历是先打印再递归左和右。所以前序遍历序列为ABCDEF,第一个字母是A被打印出来,就说明A是根结点的数据。再由中序遍历序列是CBAEDF,可以知道C和B是A的左子树的结点,E、D、F是A的右子树的结点,如图所示。

然后我们看前序中的C和B,它的顺序是ABCDEF,是先打印B后打印C,所以B应该是A的左孩子,而C就只能是B的孩子,此时是左还是右孩子还不确定。再看中序序列是CBAEDF,C是在B的前面打印,这就说明C是B的左孩子,否则就是右孩子了,如图所示。

再看前序中的E、D、F,它的顺序是ABCDEF,那就意味着D是A结点的右孩子,E和F是D的子孙,注意,它们中有一个不一定是孩子,还有可能是孙子的。再来看中序序列是CBAEDF,由于E在D的左侧,而F在右侧,所以可以确定E是D的左孩子,F是D的右孩子。因此最终得到的二叉树是图所示。

为了避免推导中的失误,你最好在心中递归遍历,检查一下这棵树的前序和中序遍历序列是否与题目中的相同。
已经复原了二叉树,要获得它的后序遍历结果就是易如反掌,结果是CBEFDA。
但其实,如果同学们足够熟练,不用画这棵二叉树,也可以得到后序的结果,因为刚才判断了A结点是根结点,那么它在后序序列中,一定是最后一个。刚才推导出C是B的左孩子,而B是A的左孩子,那就意味着后序序列的前两位一定是CB。同样的办法也可以得到EFD这样的后序顺序,最终就自然的得到CBEFDA这样的序列,不用在草稿上画树状图了。
反过来,如果我们的题目是这样:二叉树的中序序列是ABCDEFG,后序序列是BDCAFGE,求前序序列。
这次简单点,由后序的BDCAFGE,得到E是根结点,因此前序首字母是E。
于是根据中序序列分为两棵树ABCD和FG,由后序序列的BDCAFGE,知道A是E的左孩子,前序序列目前分析为EA。
再由中序序列的ABCDEFG,知道BCD是A结点的右子孙,再由后序序列的BDCAFGE知道C结点是A结点的右孩子,前序序列目前分析得到EAC。
中序序列ABCDEFG,得到B是C的左孩子,D是C的右孩子,所以前序序列目前分析结果为EACBD。
由后序序列BDCAFGE,得到G是E的右孩子,于是F就是G的孩子。如果你是在考试时做这道题目,时间就是分数、名次、学历,那么你根本不需关心F是G的左还是右孩子,前序遍历序列的最终结果就是EACBDGF。
不过细细分析,根据中序序列ABCDEFG,是可以得出F是G的左孩子。
从这里我们也得到两个二叉树遍历的性质。
已知前序遍历序列和中序遍历序列,可以唯一确定一棵二叉树。
已知后序遍历序列和中序遍历序列,可以唯一确定一棵二叉树。
但要注意了,已知前序和后序遍历,是不能确定一棵二叉树的,原因也很简单,比如前序序列是ABC,后序序列是CBA。我们可以确定A一定是根结点,但接下来,我们无法知道,哪个结点是左子树,哪个是右子树。这棵树可能有如图所示的四种可能。
