TIPS:
仅作个人学习用途,文章逻辑很乱
Git分支:
Git仓库由分支组成,每个commit版本构成分支的一个结点(每次commit相当于在当前分支末端插入一个节点),主分支通常命名为main或master, 通常使用HEAD指向当前分支

创建分支:
$ git branch [new-branch-name]
在当前结点创建出一支新的分支,名字叫new-branch-name
转到其他分支:
$ git checkout [destination-branch]
将HAED指向destination-branch
创建并转到该分支:
$ git checkout -b [new-branch-name]
删除分支:
$ git branch -d [branch-to-delete]
查看当前所处分支:
$ git branch -v
合并分支:
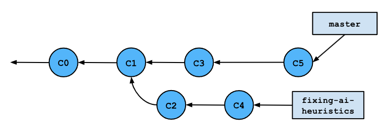
假设需要合并分支master与fixing-ai-heuristics,那么我们先checkout到分支master,然后将fixing-ai-heuristics合并到master
$ git checkout master
$ git merge fixing-ai-heuristics
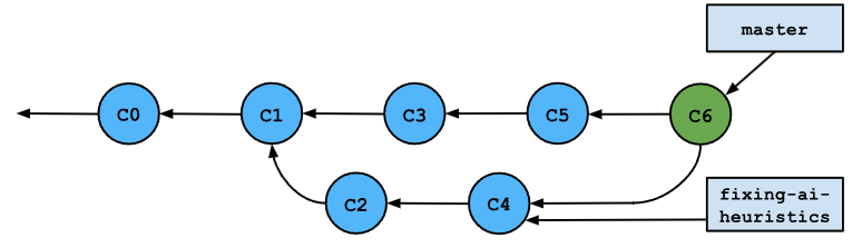
合并效果如图所示:
合并前:

合并后:

创建了新结点C6,C5是C6的第一父亲,C4是C6的第二父亲
此次合并会将两个分支中修改过的文件都在C6呈现,倘若有同一个文件的同一个代码块(函数,代码行)既在master修改过,又在fixing-ai-heuristics修改过,那么就会发生合并冲突
合并冲突示例:
合并冲突的代码会包含如下代码块:
<<<<<<< HEAD
for (int i = 0; i < results.length; i++) {
println(results[i]);
println("FIX ME!");
}
=======
int[] final = int[results.length];
for (int i = 0; i < results.length - 1; i++) {
final[i] = results[i] + 1;
println(final[i]);
}
>>>>>>> fixing-ai-heuristics
第一个代码块是当前HEAD指向的分支的代码
第二个代码块是fixing-ai-heruistice的代码
我们需要人为进行修改,只保留一份,从而解决合并冲突
初始化仓库:
先定位到需要创建仓库的目标目录,然后输入命令git init
cd D:\Documents\CS61B
git init
这里只是创建空仓库,仓库里什么都没有
添加文件为待提交状态:
git add .
.是缺省符号,意味着添加目录下所有文件,也可以输入具体的文件路径
这里仍然没有将文件添加到仓库,只是设置为待提交(tracked)
查看仓库状态:
git status
输出例子:
On branch master
Initial commit
Changes to be committed:
(use "git rm --cached <file>..." to unstage)
new file: tofu/kung_pao_tofu.txt
Untracked files:
(use "git add <file>..." to include in what will be committed)
seitan/
tofu/basil_ginger_tofu.txt
Changes to be committed:
列举所有被tracked的文件(将要被放入仓库的文件)
Untracked files:
未被使用git add跟踪的文件
将文件拷贝到仓库
git commit -m "first commit"
-m:允许添加commit的注释
后面紧跟着的字符串就是注释
查询git记录
git log
输出例子:
commit 9f955d85359fc8e4504d7220f13fad34f8f2c62b
Author: Sandra Upson <sandra@Sandras-MacBook-Air.local>
Date: Sun Jan 17 19:06:48 2016 -0800
added tofu recipes
commit后面紧跟的是本次commit的哈希值
展示commit细节
git show 9f955d85359fc8e4504d7220f13fad34f8f2c62b
输出例子:
commit 9f955d85359fc8e4504d7220f13fad34f8f2c62b
Author: Sandra Upson <sandra@Sandras-MacBook-Air.local>
Date: Sun Jan 17 19:06:48 2016 -0800
added tofu recipes
diff --git a/tofu/basil_ginger_tofu.txt b/tofu/basil_ginger_tofu.txt
new file mode 100644
index 0000000..9a56e7a
--- /dev/null
+++ b/tofu/basil_ginger_tofu.txt
@@ -0,0 +1,3 @@
+basil
+ginger
+tofu
diff --git a/tofu/kung_pao_tofu.txt b/tofu/kung_pao_tofu.txt
new file mode 100644 index
0000000..dad9bd9
--- /dev/null
+++ b/tofu/kung_pao_tofu.txt
@@ -0,0 +1,3 @@
+szechuan peppers
+tofu
+peanuts
+kung
+pao
修改文件并commit到仓库:
修改文件后,需要再将其add一遍再commit(即使之前该文件已经被add过),否则该文件将是Changes not staged for commit的类型
修改后未add的git status例子:
On branch master
Changes not staged for commit:
modified: tofu/kung_pao_tofu.txt
Untracked files:
seitan/
no changes added to commit
回档至某次commit刚实行之后:
命令:git checkout commit_hash_val directory
git checkout 9f955d85359fc8e4504d7220f13fad34f8f2c62b ./recipes/tofu
只有在这次commit及之前被trakced了的文件才会被回溯
命令不会撤销指定的commit记录,只是回溯到本次操作刚实行之后,同时撤销需要commit生效
checkout自动调用git add,所以不用手动git add,直接commit即可
commit本次撤销:
git commit -m "went back to the original recipe with no bok choy"
撤销git add:
想要撤销某个文件的待提交状态
git reset HEAD [file]
这里只撤销待提交状态,但会保留file_name在当前目录的修改
将本次修改合并到上次的commit中:
git commit --amend
会更新上次的commit记录,不会生成本次的commit记录
回溯到上次commit操作刚完成后:
git checkout -- [file]