我自己的原文哦~https://blog.51cto.com/whaosoft143/11859244
#猎户座
「草莓」即将上线,OpenAI新旗舰大模型曝光,代号「猎户座」
ChatGPT 要进化了?
本月初,OpenAI 创始人、CEO 山姆・奥特曼突然在 X 上发了一张照片,勾起了大家强烈的好奇心。
「四个红草莓,其中还有一个未成熟的青色草莓,这不妥妥地是在说下一代 AI 大模型 GPT-5 要来了吗?」奥特曼在回应网友时也在暗示,惊喜马上就来。
据科技媒体 The Information 报道,传说中的「草莓」真的要来了!
两位参与该项目的人士表示,OpenAI 计划最早在今年秋天推出代号为 「草莓」(之前称为 Q*,发音为 Q Star)的新人工智能,作为聊天机器人的一部分(可能集成在 ChatGPT 内)。「草莓」 可以解决它以前从未见过的数学问题(这是当今的聊天机器人无法准确做到的),并且训练后还可以解决涉及编程的问题,但它并不局限于回答技术问题。
据 The Information 报道,OpenAI 正在开发新旗舰 LLM,代号「Orion」。该模型旨在改进去年年初推出的现有旗舰 LLM------GPT-4。
而「草莓」旨在改进即将推出的「Orion(猎户座)」,并且 OpenAI 已经向安全监管人员展示了「草莓」模型。较小版本的「草莓」可以以聊天机器人的形式推出。
知情人士表示:OpenAI 正在使用较大版本的「草莓」来生成用于训练 Orion 的数据。这种人工智能生成的数据被称为「合成数据」。这意味着「草莓」可以帮助 OpenAI 克服获取足够高质量数据的限制,以便利用现实世界的数据(例如从互联网上提取的文本或图像)训练新模型。
当给予额外的「思考」时间时,「草莓」可以回答用户更主观的问题,例如产品营销策略。
OpenAI 推出「草莓」是为了保持对话式人工智能或大型语言模型的霸主地位。该技术还将对未来完成多步骤任务的智能体产品产生影响。 OpenAI 希望在智能体领域开辟更多收入机会。
为什么「草莓」对「Orion」如此重要
「草莓」最重要的应用之一是为下一代旗舰大语言模型 Orion 生成高质量的训练数据。该代号此前从未被报道过。
简单来说,「草莓」 可以生成更高质量的训练数据。智能体初创公司 Minion AI 的首席执行官、GitHub Copilot 的前首席架构师 Alex Graveley 表示,使用「草莓」生成更高质量的训练数据可以帮助 OpenAI 减少其模型生成的错误(也称为幻觉)数量,他还指出之所以能够做到这一点,是因为「训练数据中的歧义性较少」。
这里不得不提一下,OpenAI CEO 山姆・奥特曼在五月份的一次活动中曾说道:「我们觉得我们已经为下一个模型提供了足够的(数据),我们做了各种各样的实验,包括生成合成数据。」下一个模型可能指的就是「Orion」。
OpenAI 内部也在推动通过一种称为蒸馏(distillation)的过程来简化和缩小「草莓」。
现在还不能确定基于「草莓」的最终的产品将会是什么样子,但一个显而易见的想法是将「草莓」的推理能力融入到 ChatGPT。其结果是答案可能会更准确,但可能会更慢。
这意味着「草莓」可能不太适合用户期望立即得到响应的需求,但非常适合对时间不太敏感的用例。
或许我们可以想象,在不久的将来,ChatGPT 用户可以根据自身对时间的敏感程度来打开或关闭「草莓」。
今年夏天,OpenAI 已经向安全监管人员展示了「草莓」模型。此次演示可能是 OpenAI 努力向政策制定者提高透明度的一部分。
鉴于今年早些时候,Ilya Sutskever 等几位安全负责人的离职,对 OpenAI 来说,技术透明将尤其重要。
参考链接:
....
#xxx
....
#xxx
....
#xxx
....
#xxx
....
#VFMTok
Visual Foundation Models驱动的Tokenizer时代来临
视觉 Tokenizer 的困境与破局
近年来,自回归(Autoregressive, AR)模型在语言生成领域的成功激发了其在图像生成领域的应用,涌现出 DALL-E、Parti、VAR 和 LlamaGen 等代表性工作。这类技术高度依赖于 VQGAN 等视觉 Tokenizer,它负责将高维、冗余的像素空间映射到一个低维、紧凑的离散潜在空间,是决定生成模型上限的基石。
然而,以 VQGAN 为代表的传统 Tokenizer 通常需要从零开始训练,其训练目标由像素级重建损失函数主导,导致其产生的潜在空间:
- 富含低层细节特征却缺乏高层语义信息:能很好地还原图像细节,但潜在编码本身缺乏高层语义信息。
- 较高的潜在空间冗余: VAGAN 基于图像块 (patch) 逐一进行量化,而图像中的物体通常是不规则的区域,基于图像块的量化降低了 tokens 的编码效率。
- 无视结构特性的表征:潜在空间的组织较为混乱,使得生成模型不仅需要更长的训练时间来学习其潜在空间分布,而且往往得借助 CFG(Classifier-Free Guidance, CFG)等技巧来实现高保真度的图像生成,增加了模型推理时间。
与此同时,预训练的视觉基础模型(Visual Foundation Models, VFMs),如 CLIP、DINOv2、SigLIP2 等,在提取丰富语义且可泛化视觉特征方面表现出了强大的能力。这些模型通过自监督或语言监督的方式进行训练,它们能够有效抽象出图像中的高层语义信息,因此这些预训练的视觉基础模型大多应用于图像内容理解任务当中。直接将其应用于图像重建和生成任务上却鲜有人探索。
基于此,香港大学 CVMI Lab 和阶跃星辰 AIGC 团队提出一个大胆假设:原本为视觉理解任务设计的预训练视觉基础模型,其潜在特征是否也能直接作为图像重建与生成的鲁棒结构化表征?
为了验证这一猜想,我们探索了一个基础视觉模型新的应用新方向:用冻结的预训练视觉基础模型构造离散的视觉 Tokenizer,将其应用于图像重建和自回归图像生成任务上。
我们发现,相比于传统的视觉 Tokenizer 模型,视觉基础模型驱动的图像 Tokenizer 在这两项任务上均表现出优异的性能。
- 论文标题: Vision Foundation Models as Effective Visual Tokenizers for Autoregressive Generation
- 论文地址: https://arxiv.org/pdf/2507.08441
- Huggingface: https://huggingface.co/papers/2507.08441
- Github: https://github.com/CVMI-Lab/VFMTok.git (Vanilla version)https://github.com/CVMI-Lab/VFMTok-RAR.git (Ultra version)
探索性发现
为了验证视觉基础模型 (VFMs) 能否构造高质量的视觉 Tokenizer,我们首次尝试使用不同的冻结的预训练基础视觉模型 (VFMs) 提取图像特征,将其送入 VQGAN 的编码器中进行端到端训练。训练阶段只有量化器(quantilizer)和解码器中的参数会进行更新,随后用它完成自回归图像生成任务。
实验表明:冻结的视觉基础模型 (VFMs) 提取的图像特征可以直接用于图像重建,且训练好的视觉 Tokenizer 在自回归图像生成任务上的表现优于传统的视觉 Tokenizer 模型。
这一发现凸显了预训练视觉基础模型 (VFMs) 构造高质量视觉 Tokenizer 的巨大潜力。

核心思想
基于我们的探索性发现:冻结的视觉基础模型 (VFMs) 可以直接构造高质量的视觉 Tokenizer 并进行端到端地训练,我们对构造的视觉 Tokenizer 的结构进行进一步的优化 ------ 利用视觉基础模型 (VFMs) 提取图像的多层特征 (Multi-level Features Extraction),这有助于同时捕获图像中的低层细节特征和高层语义信息。
同时,我们注意到现有的量化机制 (quantization) 都是对图像块 (patch) 逐一量化,而图像中物体一般都是形状不规则的,因此我们设计了区域自适应的量化 (Region-Adaptive Quantization) 方案。该方案可以进一步降低潜在特征空间的冗余度,提高视觉 tokens 的利用效率。
此外,因为视觉基础模型的参数是冻结的,因此在重建图像内容的同时,我们也设计了语义特征重建的目标函数 (Semantic Reconstruction Objective),来提升视觉 Tokenizer 的语义保真度。我们将基于视觉基础模型 (VFMs) 的 Tokenizer 称之为 VFMTok。

VFMTok 架构图
关键技术细节
- 多层图像特征提取 (Multi-level Features Extraction)
为了同时捕获图像低层细节特征和高层语义信息方便图像重建,VFMTok 采用冻结的预训练的视觉基础模型 (VFMs) 作为编码器提取多层级语义特征。VFMTok 按照等间隔的方式从预训练基础模型 (VFMs) 中提取多层特征 (multi-level features)。
- 区域自适应量化 (Region-Adaptive Quantization)
为了实现区域自适应量化 (Region-Adaptive Quantization) 机制,VFMTok 通过可学习「锚点查询」(Anchor Queries)结合可变形注意力机制(Deformable Attention)自适应地从多层级特征 (multi-level features) 中进行区域自适应的特征采样 (Region-Adaptive Sampling)。
这种方式能聚焦于采样图像中模式一致的区域。随后,VFMToks 对可学习「锚点查询」(Anchor Queries)进行量化 (quantization)。这种方式可以有效提升 token 的利用效率 ------ 用更少的 tokens(256)来表征一张图像。

- 语义重建目标(Semantic Reconstruction Objective)
因为视觉基础模型在 Tokenizer 的训练阶段参数是冻结的,因此 VFMTok 在重建图像的同时,也会重建冻结的基础模型(VFM)最后一层的语义特征。
为了实现这一点,VFMTok 解码阶段设计了一个共享的轻量级 Vision Transformer(ViT)。这个 ViT 接收区域自适应量化后的 tokens,结合一个可学习的 mask token 以及一组可学习的位置编码(Positional Embedding)作为输入,分别产生用于图像重建和语义重建的特征。共享 ViT 的设计既减少了参数量又保证了语义保真度。其双重目标函数是:

其中

是传统的视觉 Tokenizer 使用的一系列常规损失函数,

是重建出的 VFM 特征与原始 VFM 特征之间的余弦相似度损失函数。
训练完成后,VFMTok 可以被应用于图像自适应回归任务上,基于 next-token prediction 的方式生成高质量的图像内容。
实验亮点与分析
1.卓越的重建生成质量与效率
大量实验表明,基于视觉基础模型 (VFMs) 构造的视觉 Tokenizer------VFMTok,具备高质量、高效率的图像重建和自回归图像生成能力。
- 更好的图像重建质量:相较于传统的视觉 Tokenizer,VFMTok 可以用更少的 token 数量(仅用 256 个)实现更优的重建质量(0.89 rFID, 215.4 rIS)和更高的码本利用率 (100%),超越了之前大部分传统的离散 Tokenizers。

- 更快的生成训练收敛速度:相比于经典的 VQGAN 这类 Tokenizer,VFMTok 能够显著提升自回归模型训练阶段的收敛速度 ------ 训练收敛速度提升了 3 倍。

- 更好的生成性能:在 ImageNet 256x256 的 class-to-image 生成任务上,VFMTok-1.4B 模型在参数量更少、训练迭代次数更少的情况下,自回归生成性能超越了同类 LlamaGen-3B。此外,在接入更好的自回归图像生成框架 RAR 后,实现了 SOTA 的图像生成性能(gFID: 1.36)。

- CFG-free 优越性:值得注意的是,VFMTok 在有无 CFG 的情况下性能几乎一致(gFID: 2.07 vs 2.04),而 LlamaGen 则会从 2.19 急剧恶化至 9.38。这证明了其潜在空间具有极强的语义一致性,无需 CFG 即可实现高保真度的 class-to-image 图像生成,可以进一步减少图像生成时间。
- 更快的推理速度:由于 tokens 数量减半(256 vs. 576),自回归模型的生成过程长度减半,推理速度因此获得了约 4 倍的提升。
2.消融实验的有力证明
仅使用冻结的 VFM 作为编码器,线性探针准确率(linear probing)就从 VQGAN 的 23.1% 提升至 56.4%。引入区域自适应量化 (Region-Adaptive Quantization) 和语义特征重建 (Semantic Reconstruction Objective) 后,VFMTok 仅用 256 个 Token 就能在重建质量(rFID 0.89 vs 0.95) 上全面超越使用 576 个 Token 的 VQGAN 基线 Tokenizer。

总结与展望
VFMTok 首次证明了冻结的视觉基础模型 (VFMs) 提取的图像特征能有效用于图像重建与生成,同时可以提升 Tokenizer 语义表征能力,使自回归 (AR) 图像生成模型收敛更快,并能实现 CFG-free 的高保真图像合成。VFMTok 提出的区域自适应量化机制,通过有效利用图像区域的固有冗余实现紧凑编码,在减少视觉 token 数量的同时提升性能,实现高效且高质量的自回归图像生成。
大量实验验证了 VFMTok 在图像重建和自回归生成中的有效性,确立了预训练视觉基础模型 (VFMs) 构造高质量、高效率 Tokenizer 的主导地位。
由此可见,利用 VFM 的先验知识是构建高质量潜在空间的必由之路,也是构建下一代 Tokenizer 的关键,这比任何从零开始的正则化或约束都更根本、更有效。预训练视觉基础模型的巨大潜力值得我们在未来深入挖掘,最终可能探索出一个能够有效兼容所有生成模型的、语义丰富、高质高效的「统一 Tokenizer」。
VFMTok 论文与代码均已公开,欢迎感兴趣的同学阅读、复现以及深入讨论。
作者介绍
本文作者主要来自于香港大学 CVMI Lab 和阶跃星辰 AIGC 团队。阶跃星辰 AIGC 团队主要致力于图像生成底模、图像编辑底模、世界模型以及 RL 后训练研究和落地。欢迎志同道合的同学交流和加入,一起为 AIGC 社区贡献力量。
....
#为什么95%的智能体都部署失败了
这个圆桌讨论出了一些常见陷阱
「95% 的 AI 智能体在生产环境中部署时都失败了。」在硅谷近期的一个圆桌论坛中,有位嘉宾给出了这样一个数字。
这个论坛由 EntreConnect(一个企业家、投资者社区)组织,来自 Uber、WisdomAI、EvenUp 和 Datastrato 的工程师及 ML 负责人参与了讨论。他们认为,多数 AI 智能体之所以部署时失败,不是因为模型不够智能,而是因为围绕它们的基础框架、上下文工程、安全性和记忆设计尚未成熟。
EntreConnect组织的论坛「Beyond the Prompt: AI Inference x Context Engineering with Uber, Wisdom AI, EvenUp and Datastrato」
他们进一步指出,真正的差距在于上下文工程,「大多数创始人以为自己在构建 AI 产品,实际上他们在构建的是上下文选择系统。」成功的团队不是在优化提示词,而是在构建语义层、元数据过滤、特征选择和上下文可观察性。正如论坛上的一个比喻所说:「基础模型是土壤,上下文才是种子。」
当然,技术挑战还不是全部。即便系统在功能上表现完美,如果无法追溯输出来源、无法遵守权限控制、无法让用户真正信任它处理敏感数据,部署依然会失败。一位与会者分享了他妻子拒绝使用特斯拉自动驾驶的故事 ------ 不是因为它不好用,而是因为缺乏信任。这个问题同样存在于企业 AI 智能体中。成功部署的那 5% 智能体都有一个共同点:人机协作设计,让 AI 扮演助手而非自主决策者。
这篇文章由论坛主持人 Oana Olteanu 撰写,深入探讨了这次圆桌论坛的核心洞见:从上下文工程的最佳实践、记忆架构设计、多模型编排,到治理框架和用户体验设计。如果你正在构建 AI 产品、基础设施或智能体系统,这些来自一线工程师的实战经验,或许能帮你避开一些失败陷阱。

上下文工程,不是提示词黑科技
这场讨论中,几位嘉宾不约而同地提到:微调往往并非必要。
在多数场景中,一个构建良好的 RAG(检索增强生成)系统已足够高效 ------ 但现实是,绝大多数 RAG 系统都太过粗糙。
它们常见的失败模式包括:
- 盲目索引一切 → 模型被无用信息淹没
- 索引太少 → 模型缺乏信号支撑
- 混合结构化与非结构化数据 → 打破嵌入空间一致性
那么,「高级的上下文工程」究竟长什么样?

上下文层参考资料:https://www.wisdom.ai/ai-for-business-intelligence/semantic-layer
1、面向 LLM 的特征工程
一位嘉宾提出了一个极具启发的框架:
把上下文工程看作 LLM 的原生特征工程(feature engineering)。
- 选择性上下文剪枝 = 特征选择
- 上下文验证 = 类型 / 时间 / 模式校验
- 上下文可观测性 = 追踪哪些输入改善或削弱输出质量
- 嵌入增强 + 元数据 = 类型化特征 + 条件信号
这意味着:上下文不再是「字符串拼接」,而是一个可测试、可版本化、可审计的数据工件。
2、语义层 + 元数据层的双层结构
一些团队分享了他们的「双层架构」实践:
- 语义层:负责经典的向量检索
- 元数据层:基于文档类型、时间戳、访问权限、领域本体等执行过滤
这种设计能在混乱的数据源之间建立秩序(PDF、日志、音频、指标等),确保检索结果不是简单的「相似内容」,而是真正的「相关知识」。
换句话说,它让 AI 能理解语义,也能尊重结构。
3、text-to-SQL 的现实检验
当场上问观众「有谁把 text-to-SQL 做到生产环境里」时,一个举手的都没有。原因不是这个问题小,而是把自然语言稳定、可靠地映射到业务级查询比想象中难得多。自然语言本身模糊、歧义重;企业术语又常常有上下文依赖 ------「营收」「活跃用户」在不同公司、不同团队的定义可能完全不同。
成功的团队不会把数据库 schema 生搬给模型然后指望它猜对。他们做的是工程化的抽象与保护措施,包括:
- 业务词典与术语映射
- 受约束的查询模板
- 执行前的语义校验层
能够随时间提升理解的反馈循环可参见:https://www.wisdom.ai/ai-for-business-intelligence/text-to-sql
为什么「信任」与「治理」是核心问题
安全、权限、数据溯源这些词,在现场被反复提到。
它们不是合规清单上的「打钩项」,而是 AI 系统落地的关键阻力。
垂直领域创业者要注意做到以下几点:
- 要能追踪哪个输入导致了哪个输出
- 必须遵守行级、基于角色的访问权限
- 即使提示词相同,也必须支持用户专属的输出结果
如果两名员工问了同一个问题,AI 的答案应该不同。因为他们的权限不同、上下文不同。没有这样的访问与策略控制,AI 的答案可能「技术上正确」,但「组织上错误」------ 泄露信息、违反合规。
领先团队的做法是:在结构化与非结构化数据的统一目录(metadata catalog)中,嵌入访问策略,在索引和查询阶段同时生效。
信任问题并非技术瓶颈,而是人性瓶颈。 一位嘉宾讲了一个故事 ------ 他太太拒绝让他开自动驾驶。不是因为它不好用,而是因为她不信任。AI 若要处理金钱、医疗、或安全相关决策,必须先赢得这种信任。那些真正成功的 5% 的系统,都有一个共通点:人机协同(human-in-the-loop)。AI 被设计为助手,而非决策者;能被监督、能被纠正、能被解释。
记忆,不是功能,而是系统结构
每个团队都说想给 AI 加记忆。但真正懂系统的人知道 ------ 记忆不是一个 feature,而是一个涉及用户体验、隐私和系统影响的设计决策。
记忆有三个层面:
- 用户层面:偏好(如图表类型、风格、写作语气)
- 团队层面:循环查询、仪表盘、运行手册
- 组织层面:组织知识、政策、先前的决策

大多数初创公司将记忆硬编码到应用逻辑或本地存储中,但顶尖团队会将记忆抽象为一个「上下文层 + 行为层」的组合,可版本化、可复用。
他们的定义是:
- 语义记忆 + 分类体系 + 运行手册 = 上下文;
- 用户偏好 = 记忆
记忆即个性化
在应用层面,记忆服务于两个目的:
- 针对个体用户定制行为:适配其写作风格、偏好格式、领域专长
- 基于事件和元数据的主动辅助:而非仅仅被动响应聊天
有团队分享了在 Uber 构建对话式 BI 工具的经验。冷启动问题是什么?用户不知道该问什么。解决方案是从用户的历史查询日志中构建记忆,然后推荐相关问题作为对话起点 ------ 就像一个记得你上次聊天内容的人。
但问题在于:有用的个性化何时会越界成为令人不安的监控?
一位与会者描述,他向 ChatGPT 询问适合全家观看的电影推荐,结果 ChatGPT 给出了针对他孩子 Claire 和 Brandon 的个性化建议。他不喜欢这个答案,说「你为什么对我的儿子和女儿了解得这么清楚?别碰我的隐私」。
在设计时,你需要考虑:
- 记忆改善用户体验和 AI 流畅度
- 但过度个性化很快会侵犯隐私领域
- 共享记忆可能打破访问控制,除非仔细划定范围
这里缺失一个关键原语:一个安全、可移植的记忆层,可跨应用工作,由用户使用,而非锁定在服务商内部。目前还没人真正解决这个问题。一位与会者说,如果他不做现在的创业项目,这会是他的下一个目标。
多模型推理与编排模式
另一个新兴设计模式是模型编排。
在生产环境中,你不能对所有任务都调用 GPT-4。团队越来越多地基于以下因素运行模型路由逻辑:
- 任务复杂度
- 延迟限制
- 成本敏感度
- 数据本地化 / 监管要求
- 查询类型(如摘要 vs 语义搜索 vs 结构化问答)
以下是一些可能的情况:
- 简单查询 → 本地模型(无网络调用)
- 结构化查询 → 调用 DSL → SQL 转换器
- 复杂分析 → 调用 OpenAI/Anthropic/Gemini
- 兜底或验证 → 双模型冗余(评判者 + 响应者)
这更接近编译器设计而非网页应用路由。你不只是「发送给 LLM」,而是在异构模型、工具和验证之间运行一个决策 DAG(有向无环图)。
为什么这点很重要?如果你的系统随着使用量增长而变得更慢或更贵,这是首先需要重新审视的层面。如果你希望 AI 对用户感觉无缝,路由就不能永远依赖脆弱的手工调优。你需要自适应策略。
有团队分享了他们的方法:简单问题交给小型快速模型,复杂推理任务路由到前沿模型。这里的关键在于:通过追踪哪些查询在哪些模型上能够成功执行,模型选择这一过程本身可以随着时间的推移不断学习优化。
聊天界面究竟何时才适用?
并非每个任务都需要聊天机器人。一位观众直接挑战了这个前提:「我不确定自然语言总是优于图形界面。如果我要叫 Uber,我不想对着手机说话。我只想点、点、点,车就来了。」
的确,不是所有任务都适合自然语言交互。
专家小组的共识是:当对话能降低学习门槛时,它才具备实用价值。
对于商业智能(BI)仪表盘、数据分析这类传统上需要专业知识才能操作的复杂工具,自然语言能降低使用门槛。但一旦用户获得所需答案,通常更倾向于使用图形用户界面控件 ------ 比如将饼图切换为柱状图,根本无需额外输入文字。
混合模式的核心逻辑是:
- 以聊天功能开启零学习门槛的初始操作
- 提供图形用户界面(GUI)控件用于后续的精准调整与反复优化
- 允许用户根据具体任务需求和个人使用偏好选择交互模式
一位与会者列举了自然语言处理的两个理想应用场景:
- 偶发且带有情绪属性的任务,例如客户服务场景 ------ 用户此时可能心怀不满,只想倾诉诉求或获取帮助,而非在层层菜单中艰难导航;
- 探索性、开放式的查询任务,例如「帮我找一处加州附近的爱彼迎房源,要前排位置,能看到海景和蓝天」这类需求复杂且包含上下文信息的场景。
核心洞见在于:我们应当理解人们使用自然语言交互的深层原因,并围绕这一核心意图进行设计,而非将所有交互都强行套入聊天模式。
仍存在的缺口
会上提出了几个尚未得到充分探索的方向,这些都是亟待产品化的核心基础能力:
1、上下文可观测性
哪些输入能持续优化输出效果?哪些类型的上下文会导致模型产生幻觉?如何像测试模型提示词那样测试上下文?目前,大多数团队都在盲目摸索 ------ 他们缺乏系统的方法来衡量哪些上下文对模型性能真正有帮助,哪些反而会产生负面影响。
2、可组合记忆
记忆能否归属于用户(而非应用程序),实现可移植性与安全性?同时设置可选的权限层级,以区分组织、团队和个人层面的记忆状态?
这一设计能解决两个核心问题:
- 用户无需在每个新工具中重新构建自己的上下文信息
- 隐私与安全性由用户自主掌控,而非受服务商锁定
这是当前技术栈中最关键的缺失的基础能力。
3、领域感知型 DSL
企业用户的需求大多具备结构化和重复性特征。既然如此,我们为何仍执着于将自然语言解析为稳定性极差的结构化查询语言(SQL),而非定义更高级、受约束且安全的领域特定语言(DSL)呢?
有团队提出,与其开发文本到结构化查询语言(text-to-SQL)的工具,不如构建语义化的业务逻辑层,例如 「展示第四季度营收」这类需求,应当直接映射到经过验证的计算流程,而非生成原始的结构化查询语言(SQL)代码。
4、延迟感知型用户体验(UX)
一位专家组成员提到了一款记忆增强型聊天机器人,它的响应速度虽慢,却能给用户带来惊喜体验。原因在于:它能基于用户上周的提问内容,给出一系列智能的后续跟进内容。
这一设计为异步、主动式人工智能的用户体验开辟了新可能 ------ 其应用场景绝非仅限于聊天功能。试想这样的场景:智能体在你开会前准备好简报、在你打开文档时呈现相关上下文信息,或是在你主动询问前就提醒你数据中出现的异常情况。
核心洞见在于:不同任务对延迟的要求存在差异。一个笑话需要即时响应;而深度分析即便耗时 10 秒也无妨,只要能实时展示进度且体现出智能性即可。
值得持续关注的方向
作者表示,参与完这场专家小组讨论后,她更加坚信:一波基础设施工具浪潮即将到来,包括记忆组件、编排层、上下文可观测性工具等。事后看来,这些工具的出现似乎顺理成章,但如今它们仍处于混乱且尚未解决的状态。
生成式人工智能领域下一个真正的竞争壁垒,不会源于模型访问权限,而将来自以下四个方面:
- 上下文质量
- 记忆系统设计
- 编排可靠性
- 信任导向型用户体验(Trust UX)
如果你是一名正在开发基础设施、应用程序或智能体的创业者:你的产品路线图中,有多少内容是明确针对这四个方向展开的?
创业者必看:5 个需直面的硬核问题
如果你正在构建上下文系统或智能体,不妨问问自己这 5 个问题:
- 我的应用程序的上下文预算是多少?(理想的上下文窗口规模为多大?我又在如何优化其中的内容构成?)
- 我的记忆系统边界在哪里?(哪些记忆归属于用户层面、团队层面以及组织层面?存储位置在哪?用户能否查看这些记忆内容?)
- 我能追踪输出的溯源信息吗?(当需要调试大语言模型的响应结果时,我能否明确知晓是哪些输入内容导致了该输出?)
- 我使用的是单一模型还是多个模型?(我是如何根据任务复杂度、延迟要求或成本预算来分配路由请求的?)
- 用户会愿意将资金或医疗数据托付给我的系统吗?(如果不愿意,我的安全机制或反馈循环中还缺少哪些关键环节?)
原文链接:https://www.motivenotes.ai/p/what-makes-5-of-ai-agents-actually
....
#马斯克Grokipedia刚上线就「翻车」
被指照抄维基,中文支持一塌糊涂
刚刚,马斯克预热了几个月的 Grokipedia 终于上线了。

简单来说,Grokipedia 是 xAI 于 2025 年 9 月提出的开源百科平台,它的诞生就是为了挑战维基百科。因为在马斯克看来,维基百科不够中立,充满了偏见,而他要做的 Grokipedia 在准确性和中立性方面都要超越前者。

Grokipedia 的「Wikipedia」词条提到了维基百科的偏见问题。
马斯克还强调,Grokipedia 将秉持「开放无障碍」的理念,允许任何 AI 或人类自由调用。不过,这次发布的只是 0.1 版本,马斯克表示,1.0 版本要比这个初始版本强 10 倍。

Grokipedia 是一个 AI 驱动的百科全书,内容由 AI 生成,所有内容都将经过 xAI 驱动的算法系统进行事实核查、偏见检测与逻辑一致性评估。虽然马斯克声称这种做法旨在清除噪音、回归事实,但该做法的有效性颇受质疑 ------ 如果维基百科反映了其人类编辑及其来源的偏见,那么人工智能也有同样的问题,即数据本身的偏见。


维基百科上的「Grokipedia」条目,其中多处提到 Grokipedia 存在偏见。
官网显示,Grokipedia 目前有 885279 篇文章可用,和维基百科的数百万篇还有较大差距。
针对准确性问题,Grokipedia 允许用户指出问题,并提供修改建议和相关链接。


部分词条已经有可见的编辑记录。

有人认为,这种编辑模式有利于大家发现一些在词条中长期存在的错误,看起来是有价值的。


有意思的是,针对来势汹汹的 Grokipedia,维基百科的运营方维基媒体基金还发了一份声明。他们表示,「维基百科的知识当下是、未来也永远是人类的成果。来自不同背景的人们通过公开协作与共识共建,打造出一份中立、鲜活的人类认知记录 ------ 它既体现了我们的多样性,也承载着集体的好奇心。这类由人类创造的知识,正是人工智能公司生成内容的基础;即便是 Grokipedia,也离不开维基百科的存在。此前已有过多次打造维基百科替代版本的尝试,但这并不会影响我们的工作与使命。」

此外,维基百科本身的角色也在发生变化。最近有文章指出,现在使用维基百科的人正在减少,AI却在增多,因为 AI 工具会直接从它的文章中提取答案。而且,维基百科本身已经使用人工智能工具自动检测不良编辑,避免有人向文章中插入虚假信息、攻击性语言或垃圾信息。该系统不会自行发布或批准编辑,但它会标记可疑的更改,以便人类编辑者能更快地审查。
Grokipedia PK 维基百科
目前许多用户已经分享了使用体验。其中热度最高的帖子之一,对比了 Grokipedia 和维基百科在 George Floyd 词条上的差异,评论区的讨论也相当激烈。

争议点在于 Grokipedia 的导语部分首先提到 George Floyd 是一名有长期犯罪记录的美国男子,而维基百科的导语部分仅写了他被暴力执法致死,其犯罪记录则放在了「个人生活」部分。


博主认为,Grokipedia 不像维基百科那样存在意识形态灌输,但评论区针对这点展开了激烈的争论。

有评论指出,双方都存在偏见,但对 AI 没有采用中立写法提出了疑问。

当然马斯克也不会错过这个热闹。

另外有用户表示,Grokipedia 有词条直接照抄维基百科。

有些词条下方确实写着「改编自维基百科」。

对于这一问题,之前也有人问过马斯克,马斯克的回应是「年底前解决」。
我们也实际体验了 Grokipedia 的当前版本,看看它在产品形态和使用体验上究竟表现如何。
Grokipedia v0.1 的界面设计极为简洁,可供调整的选项仅有深浅模式切换,页面中也完全没有图片。
以前面的 George Floyd 为例,Grokipedia 在这一个词条中详细陈述了 Floyd 的生平经历、Floyd 之死事件、争议和影响等,而维基百科中 Floyd 之死是一个单独的词条,Grokipedia 相对来说阅读体验更流畅。

不过在测试中,我们发现 Grokipedia 在别名识别与实体映射方面的能力仍有待提升。
例如,在维基百科中搜索「P. Diddy」时,系统会自动跳转至艺人本名「Sean John Combs」的词条,实现了同义名的智能关联。

而在 Grokipedia 上,输入「P. Diddy」则无法直接检索到对应页面,只有输入本名「Sean John Combs」才能命中结果。

同样地,搜索马克・吐温的本名「Samuel Clemens」时,也出现了类似的问题。


另外我们发现 Grokipedia 对中文内容的支持存在明显不足。例如,使用中文输入「鲁迅」无法获得任何结果,只有以「Lu Xun」搜索时才能命中相关页面。

而搜索类似「苹果」、「谷歌」的词条,会已读乱回。


最后我们来欣赏一下本次「百科之王」大战的梗图。



....
#杂文
孟瑜获杰出博士论文奖,中科大获最佳学生论文,KDD 2024全部奖项放出
ACM SIGKDD(国际数据挖掘与知识发现大会,KDD) 会议始于 1989 年,是数据挖掘领域历史最悠久、规模最大的国际顶级学术会议,也是首个引入大数据、数据科学、预测分析、众包等概念的会议。
今年的 KDD 大会是第 30 届,8 月 25 日 - 29 日在西班牙巴塞罗那召开,最佳论文奖、时间检验奖、杰出博士论文奖等奖项也逐一揭晓。
其中有多位华人研究者获奖,孟瑜的《Efficient and Effective Learning of Text Representations》获得了 KDD 2024 杰出博士论文奖,最佳论文奖(研究方向)颁给了六位华人学者参与的《CAT: Interpretable Concept-based Taylor Additive Models》,最佳学生论文(研究方向)颁给了中国科学技术大学、华为合作的《Dataset Regeneration for Sequential Recommendation》。KDD 2024 最佳论文奖(应用数据科学方向)由领英获得,此外,大会还颁发了两项时间检验奖。
杰出博士论文奖
KDD 2024 杰出博士论文奖颁发给了《Efficient and Effective Learning of Text Representations》,作者是弗吉尼亚大学助理教授孟瑜(Yu Meng )。
孟瑜于 2024 年加入弗吉尼亚大学 (UVA) 计算机科学 (CS) 系,担任助理教授(tenure-track)。此前,他获得了伊利诺伊大学厄巴纳 - 香槟分校 (UIUC) 的博士学位,与韩家炜教授一起工作。他还曾在普林斯顿 NLP 小组担任访问研究员,与陈丹琦一起工作。
论文摘要:文本表示学习在广泛的自然语言处理 (NLP) 任务中发挥了关键作用。这些表示通常是通过深度神经网络将原始文本转换为向量获得的。LLM 的最新进展已经证明了学习通用文本表示的巨大潜力,可适用于广泛的应用。这一成功由两个关键因素支撑:
- 在预训练和微调中使用广泛的文本数据来训练 LLM;
- LLM 的规模可扩展到包含数百亿甚至数千亿个参数。
因此,训练 LLM 需要大量成本,包括获取大量带标签的数据以及支持这些大型模型所需的基础设施。在这些挑战的基础上,本文旨在开发高效且有效的文本表示学习方法,涉及以下关键内容:
利用球面空间进行文本表示学习。表示空间的传统选择是欧几里得空间,但非欧几里得球面空间在通过方向相似性捕捉语义相关性的研究方面表现出卓越的能力。本文的工作重点是利用球面表示空间进行文本表示学习的自监督技术。
使用球面文本表示法发现主题结构。基于在球面空间中学习到的文本表示法,本文开发了通过联合建模主题和文本语义自动从给定语料库中发现主题结构的方法。
使用 LLM 生成训练数据以实现自然语言理解 (NLU)。要在 NLU 任务上实现稳健的性能,通常需要大量人工标注的训练样本来微调预训练的文本表示。为了减轻人工标注的需求,本文开发了一种新范式,使用 LLM 作为训练数据生成器来取代人工标注过程。
这些努力共同促进了文本表征更高效、更有效的学习,解决了训练和使用 LLM 面临的挑战。
论文详细内容请参阅:
杰出博士论文奖(亚军)
此次还有两项研究获得了本届 KDD 的杰出博士论文奖(亚军)。
- 论文标题:Make Knowledge Computable: Towards Differentiable Neural-Symbolic AI
- 机构:加利福尼亚大学
- 作者:Ziniu Hu
- 论文地址:https://escholarship.org/uc/item/3ft4t0nj
论文摘要:本论文探讨了神经人工智能系统与符号人工智能系统的交叉点。近年来的深度学习方法能够记忆大量的世界知识,但在此基础上进行符号推理仍存在局限性;而符号 AI 擅长解决推理任务,但在适应新知识方面效率较低。此前将两者结合的研究主要集中在构建基于解析的系统,这类系统需要大量的中间标签标注,且难以扩展。
作者的研究目标是使神经模型能够以可微分的方式与符号推理模块进行交互,并实现无需中间标签的端到端训练的这种神经 - 符号模型。为实现这一愿景,作者开展了以下研究工作:
-
设计新型推理模块:设计可微分的神经模块,能够进行符号推理,包括知识图谱推理和复杂的逻辑推理。
-
通过自监督学习:从结构化和符号知识库中获取自监督信号来训练神经模型,无需额外的标注。
-
跨领域泛化:神经 - 符号系统的模块化设计天然有助于更好地进行分布外、词汇外、跨语言和跨类型的泛化。
-
论文标题:Artificial Intelligence for Data-centric Surveillance and Forecasting of Epidemics
-
机构:佐治亚理工学院
-
作者:Alexander Rodriguez
-
论文地址:https://repository.gatech.edu/entities/publication/aa292b79-26bb-4aec-a3f3-0fd87911ff74/full
论文摘要:对流行病的监控和预测是政府官员、企业和公众进行决策和规划的重要工具。尽管人们在理解疾病如何在人群中传播方面取得了多项进展,但从许多方面来看,人们对流行病传播的理解仍处于初期阶段。许多主要的挑战源于复杂的动态因素,如人员流动模式、政策遵守情况,甚至数据收集程序的变化。随着收集和处理新来源数据的努力,拥有许多变量的细粒度数据逐渐变得可用。然而,这些数据集很难通过传统的数学流行病学和基于智能体的建模方法来利用。相反,流行病学中的 AI 方法面临数据稀疏、分布变化和数据质量差异的挑战。

AI 技术在流行病学动态方面也缺乏理解,可能会导致不切实际的预测。为了解决这些挑战并向数据中心方法迈进,本论文提出了几个框架。具体来说,作者通过多个实例展示了将 AI 的数据驱动表达能力引入流行病学,可以实现对流行病更为敏感和精准的监控与预测。
研究方向论文奖
最佳论文
KDD 2024 最佳论文奖(研究方向)颁给了《CAT: Interpretable Concept-based Taylor Additive Models》。
- 作者:Viet Duong, Qiong Wu, Zhengyi Zhou, Hongjue Zhao, Chenxiang Luo, Eric Zavesky, Huaxiu Yao, Huajie Shao
- 论文地址:https://arxiv.org/pdf/2406.17931
- 项目地址:https://github.com/vduong143/CAT-KDD-2024
论文摘要:作为一种新兴的可解释技术,广义相加模型(Generalized Additive Models,GAMs)让神经网络单独学习每个特征的非线性函数,然后通过线性模型组合以进行最终预测。尽管 GAM 可以在特征级别解释深度神经网络 (DNN),但它们需要大量模型参数,并且容易过度拟合,从而难以训练和扩展。
此外,对人类来说,在具有许多特征的现实数据集中,基于特征的解释的可解释性会降低。为了解决这些问题,最近的研究已转向基于概念的可解释方法。这些方法试图将概念学习作为做出预测之前的中间步骤,并用人类可理解的概念来解释预测。然而,这些方法需要领域专家用相关名称及其真实值广泛地标记概念。
基于此,该研究提出了一种可解释的、基于概念的新型泰勒相加模型 ------CAT,以简化这个过程。CAT 不需要领域专家来注释概念及其真实值。相反,它只需要用户简单地将输入特征分类为广泛的组,这可以通过快速元数据审查轻松完成。
具体来说,CAT 首先将每组输入特征嵌入到一维高级概念表征中,然后将概念表征输入到新的白盒泰勒神经网络(TaylorNet)中。 TaylorNet 旨在使用多项式学习输入和输出之间的非线性关系。多个基准的评估结果表明,CAT 可以优于基准或与基准竞争,同时减少对大量模型参数的需求。重要的是,它可以通过高级概念有效地解释模型预测。
最佳学生论文
KDD 2024 最佳学生论文(研究方向)颁给了《Dataset Regeneration for Sequential Recommendation》。
- 机构:中国科学技术大学、华为
- 作者:Mingjia Yin, Hao Wang, Wei Guo, Yong Liu, Suojuan Zhang, Sirui Zhao, Defu Lian, Enhong Chen
- 论文地址:https://arxiv.org/pdf/2405.17795
- 项目链接:https://anonymous.4open.science/r/KDD2024-86EA
论文摘要:序列推荐系统(SR)是现代推荐系统中的关键组件,其目标是捕捉用户不断变化的偏好。为了增强 SR 系统的能力,已经进行了大量研究。这些方法通常遵循以模型为中心的范式,即基于固定数据集开发有效模型。然而,这种方法往往忽略了数据中潜在的质量问题和缺陷。基于数据中心化 AI 的潜力,研究团队提出了一种新颖的数据中心化范式,利用名为 DR4SR 的模型无关数据集再生框架来开发理想的训练数据集。该框架能够生成具有出色跨架构泛化能力的数据集。此外,他们还引入了 DR4SR + 框架,它结合了模型感知的数据集定制功能,能够为目标模型专门定制再生的数据集。
为了验证数据中心化范式的有效性,研究团队将该框架与各种以模型为中心的方法结合,观察到在四个广泛使用的数据集上性能显著提升。我们还进行了深入分析,探索数据中心化范式的潜力,并提供了宝贵的见解。
应用数据科学方向
最佳论文
KDD 2024 最佳论文(应用数据科学方向)颁给了《LiGNN: Graph Neural Networks at LinkedIn》。
- 机构:领英
- 作者:Fedor Borisyuk, Shihai He, Yunbo Ouyang, Morteza Ramezani, Peng Du, Xiaochen Hou, Chengming Jiang, Nitin Pasumarthy, Priya Bannur, Birjodh Tiwana, Ping Liu, Siddharth Dangi, Daqi Sun, Zhoutao Pei, Xiao Shi, Sirou Zhu, Kay Shen, Kuang-Hsuan Lee, David Stein, Baolei Li, Haichao Wei, Amol Ghoting, Souvik Ghosh
- 论文地址:https://arxiv.org/pdf/2402.11139
论文摘要:这篇论文介绍了已部署的大规模图神经网络(GNNs)框架 LiGNN,并分享了领英开发和部署大规模 GNN 的经验。论文提出了一系列算法改进来提升 GNN 表示学习的质量,包括具有长期损失的时间图架构,通过图密集化、ID 嵌入和 multi-hop 相邻采样实现的有效冷启动解决方案。
具体来说,论文介绍了如何通过自适应相邻采样、训练数据 batch 的分组和切片、专用共享内存队列和局部梯度优化,在 LinkedIn 图上构建大规模训练,并将训练速度提高 7 倍。研究者总结了从 A/B 测试实验中收集到的部署经验和教训。这项工作中介绍的技术帮助提高了约 1% 的工作应用回听率、2% 的广告点击率提升、0.5% 的日活用户提升、0.2% 的会话提升和 0.1% 的每周活跃用户数提升。这项工作有望为大规模应用图神经网络的工程师提供实用的解决方案和见解。
最佳论文亚军
KDD 2024 最佳论文亚军(应用数据科学方向)颁给了《Nested Fusion: A Method for Learning High Resolution Latent Structure of Multi-Scale Measurement Data on Mars》。
- 机构:佐治亚理工学院、加州理工学院
- 作者:Austin Wright, Duen Chau, Scott Davidoff
- 论文地址:https://dl.acm.org/doi/pdf/10.1145/3637528.3671596
- 项目链接:https://github.com/pixlise/NestedFusion.
论文摘要:火星探测车「毅力号」代表了火星测量精度的代际变化,然而这种精度的提高也为探索性数据分析技术带来了新的挑战。探测车上的多个仪器分别测量科学家感兴趣的特定属性,因此分析底层现象如何共同影响多个不同的仪器,对于全面了解数据至关重要。然而,每个仪器的分辨率各不相同,使得不同数据层的映射变得复杂。
这项研究提出了 Nested Fusion 方法,该方法能够结合不同分辨率的任意分层数据集,并在可能的最高分辨率下生成潜在分布,编码不同测量和尺度之间的复杂相互关系。

该方法能够对大型数据集高效处理,甚至可以对未见过的数据进行推理,并在真实的火星探测车数据上,超越了现有的降维和潜在分析方法。他们已在 NASA 喷气推进实验室(JPL)内的火星科学团队中部署了 Nested Fusion 方法,并且通过多轮参与式设计,大大提升了科学家的探索性分析工作流程。
时间检验奖
大会还评出了两项时间检验奖。
KDD 2024 时间检验奖(研究方向)颁给了《DeepWalk: online learning of social representations》。
- 机构:纽约州立大学石溪分校
- 作者:Brian Perozzi, Rami Al-Rfou, Steven Skiena
- 论文链接:https://arxiv.org/pdf/1403.6652
- 项目链接:https://github.com/phanein/deepwalk
论文摘要:这篇论文介绍了研究团队所提出的一种用于学习网络中顶点隐层表示的新方法 ------「DeepWalk」。这些隐层表示将社会关系编码在连续的向量空间中,统计模型则可以轻松利用这些表示。
DeepWalk 将语言建模和无监督特征学习(或深度学习)从词序列推广到了图结构。DeepWalk 通过截断随机游走获取局部信息,并将游走等同视为句子,从而学习隐层表示。他们在多个社交网络的多标签网络分类任务中展示了 DeepWalk 的隐层表示,例如 BlogCatalog、Flickr 和 YouTube。

结果表明,DeepWalk 在有缺失信息的情况下,表现优于能够看到全局网络视图的其他强大基线方法。特别是在标注数据稀缺的情况下,DeepWalk 的表示可以将

分数提高最多 10%。在某些实验中,DeepWalk 使用少于 60% 的训练数据时,仍能超越所有基线方法。DeepWalk 具有可扩展性,它是一种在线学习算法,能够构建有用的增量结果,且易于并行化。这些特性使其适用于广泛的实际应用场景,如网络分类和异常检测。
KDD 2024 时间检验奖(应用数据科学方向)颁给了《U-Air: when urban air quality inference meets big data》。

- 机构:微软亚洲研究院
- 作者:Yu Zheng, Furui Liu, Hsun-Ping Hsieh
- 论文链接:http://chbrown.github.io/kdd-2013-usb/kdd/p1436.pdf
论文摘要:这篇论文介绍了研究团队所提出的一种基于协同训练框架的半监督学习方法。关于城市空气质量的信息(例如 PM2.5 的浓度),对于保护人类健康和控制空气污染至关重要。然而,城市中空气质量监测站的数量有限,并且空气质量在城市空间中又呈现非线性变化,并受多种因素的影响,例如气象、交通流量和土地利用等。在本文中,研究团队基于现有监测站报告的(历史和实时)空气质量数据,以及在城市中观察到的各种数据来源(如气象、交通流量、人员流动、道路网络结构和兴趣点 POIs),推断整个城市的实时、细粒度的空气质量信息。
他们提出了一种基于协同训练框架的半监督学习方法,该框架包含两个独立的分类器。一个是基于人工神经网络(ANN)的空间分类器,它将空间相关特征(如 POI 的密度和高速公路的长度)作为输入,以建模不同地点之间空气质量的空间相关性。另一个则是基于线性链条件随机场(CRF)的时间分类器,使用时间相关特征(如交通和气象)来建模一个地点空气质量的时间依赖性。

研究团队在北京和上海所获取的五个真实数据源的基础上进行了广泛的实验评估。结果表明,与四类基线方法(包括线性 / 高斯插值、经典扩散模型、决策树和 CRF 等著名分类模型,以及 ANN)相比,他们所提出的基于协同训练框架的半监督学习方法具有显著优势。
更多信息,可参考大会官网:
https://kdd2024.kdd.org/awards/
....
#Llama-3不算真开源
今年10月,权威定义就要来了
你给翻译翻译,什么是开源?
开源大模型的标杆 Llama 3,居然都「被闭源」了。今天,开源再次成为了人们讨论的话题。
如今,开源的人工智能算法无处不在,从个人开发者到大型科技公司,大家都在享受最新技术带来的成果。
就连目前最热门的大模型领域,也区分了开源和闭源两个互相竞争的大方向。人们认为,随着开源技术的扩散与交流,开源的大模型最终将赶上 OpenAI 这样的业界顶尖水平。这或许就是扎克伯格等人理想中的繁盛景象。
不过,在层出不穷的新 AI 模型评论区里,我们也经常看到有人吐槽「连权重、数据都没有,这算什么开源?」
这个时候,一家有影响力的机构终于决定站出来,对开源这件事下一个定义了。
今年 10 月,「真开源」定义就要来了
开放源代码促进会(OSI)最近公布了其对「开源 AI」的最新定义草案。此举旨在澄清 Open Source 这一术语在快速发展的科技领域中,经常出现的模糊用法。
这个定义似乎来的正是时候。一个月前,大模型领域刚刚经历过一轮开源技术更新。Meta 发布了迄今为止最强的开源大模型 Llama 3.1 405B,宣布所有 Llama 版本的总下载量已超过 3 亿次,创业公司 Mistral 也紧接着宣布开源了 Large 2 大模型。
这些公司发布的预训练 AI 语言模型带有权重使用限制,同时继续使用了「开源」标签。这引发了开发者们对 AI 技术背景下什么才是真「开源」的激烈争论。
因为最近一段时间,开源变得越来越像是一个营销术语,将大模型描述为「开源」可以让人们对其变得更加信赖,即使研究人员和开发者时常会被这些许可证所限制。
Llama-3.1 发布的时候,Yann LeCun 曾宣传了开源的优势。
OSI 给出的定义下,很多事情需要我们来重新审视。例如,Meta 的 Llama 3 模型虽然可以自由获取,但 Meta 针对使用 Llama 系列模型的公司规模及通过该模型生成的内容类型,设定了特定的许可限制。因此,Llama 不符合 OSI 为软件定义的传统开源标准。
文生图模型 Flux 实际上也不是真正的开源。由于这种模糊性,OSI 通常用「开放权重」或「代码可用」等术语来指代那些含有代码或权重限制或缺乏配套训练数据的 AI 模型。
为了正式解决「真假开源」的问题,一向倡导开源的 OSI 召集了一个专家团队来为「开源」下定义。这个约 70 人的团队由研究人员、律师、政策制定者组成,其中还有来自 Meta、Google 和亚马逊等大型科技公司的代表。他们起草的最新草案为判断 AI 模型是否符合开源标准提出了「四项基本自由」:不限制使用目的,允许深入研究其工作原理,支持随意修改,无论是否进行过修改都允许用户自由分享模型。
这「四项基本自由」也沿用了人们对开源软件的定义。OSI 希望通过对「开源 AI」树立明确的标准,方便开发者、研究人员和用户在创建、研究或使用 AI 工具做出更明智的决策。
OSI 执行董事 Stefano Maffulli 在 Linux 基金会 AI_dev 大会上发布了对开源定义的最新版草案
换句话说,开源对于 AI 更加稳定安全:如果 AI 模型做到了真正的「开源」,研究人员将能分析 AI 模型背后的工作方式,AI 系统的潜在软件漏洞也将更加明显。相较于 OpenAI 的「闭源」系统 ChatGPT,其确切的架构是一个严格保密的秘密。
据 OSI 的项目时间表显示,他们预计在 2024 年 10 月在 All Things Open 会议上正式宣布「开源 AI」定义的最终版。
那么在这个定义下,有哪些大模型是「开源」的呢?据说在第一批名单里包括 EleutherAI 的 Pythia、Ai2 的 OLMo 和开源集体 LLM360 等。
「创新不应该需要许可」
在五月份的新闻发布会上,OSI 强调了为真正的「开源」AI 厘清定义的重要性。「AI 与常规软件不同,需要迫使所有利益相关者重新审视开源原则对该领域的适用性」,OSI 的执行董事 Stefano Maffulli 说,「OSI 相信每个人都应保有对技术的主导权和控制权。我们还认识到,当定义明确后,它将推动 AI 系统更加透明、更紧密的协作和无需许可的创新,市场就会繁荣发展。」
OSI 的最新草案不止要求「开源」模型本身及其权重,还要求对整个系统更加广义的开放。 一个 AI 系统要想被认定为「开源」,必须提供 OSI 定义的「适合修改的形式」,其中包括训练数据的详细信息、用于训练和运行系统的全部源代码,以及模型权重和参数。这些都必须在 OSI 认可的许可证或条款下提供。
值得注意的是,这份草案并没有强制要求公开原始训练数据。相反,它要求提供关于训练数据和方法的详细元数据。比如数据的来源、选择标准、预处理技术以及其他相关细节,方便研究者重建类似的系统。
这种方法旨在不公开实际数据集的情况下提供透明度和可复制性,在坚持开源原则的同时,从表面上解决了潜在的隐私和版权问题。不过是否能达成预计的效果,可能还有待进一步讨论。
训练数据的来源缺乏透明度,已经导致了一系列针对大型 AI 公司的诉讼。从 OpenAI 这样的业内带头人到 Suno 这样的小应用,这些公司的生成式 AI 产品除了声称包含「可公开访问的信息」外,并未披露太多有关其训练集的信息。很多人呼吁开源模型应该披露所有训练集,不过由于版权和数据所有权等问题,这一标准很难执行。
「这个定义最有趣的是,他们允许不公开训练数据,」独立 AI 研究员 Simon Willison 在接受外媒 Ars Technica 采访时说道:「这是一个非常务实的方法 ------ 如果不允许这样,那就几乎就没有模型算『开源』了。」
OSI 想明确「开源」的定义,这个想法可以追溯到 2022 年,当时它首次开始联系有关组织,邀请他们一起来定义这个术语。
「经过近两年,我们从世界各地征求意见,来确定适合 AI 系统的开源原则,OSI 现在正在全球巡讲,希望能够完善并验证草案中的定义,」Maffulli 表示,「定义『开源』的研讨会仍在进行,现在参与还不晚,可以通过 OSI 网站找到论坛,发表评论建言献策。」
当最终定义在 10 月揭晓时,新的「开源」AI 定义可能对行业产生深远影响。它将影响公司以何种形式发布 AI 模型,并塑造未来的法规,例如加州备受争议的 SB-1047 法案。
希望新的定义,能够进一步推动大模型领域的技术创新。
参考内容:
https://opensource.org/deepdive/drafts/open-source-ai-definition-draft-v-0-0-9
....
#Partial coherence enhances parallelized photonic computing
牛津光计算论文登Nature正刊,分析帕金森患者步态准确率达92.2%
本文第一作者为牛津大学 Harish Bhaskaran 院士课题组董博维博士。Harish Bhaskaran 院士课题组的多名科研人员 2022 年在国内联合创立光计算芯片公司光本位科技,该公司在今年7月份的世界人工智能大会上宣布所研发的 128*128 矩阵规模光计算芯片算力密度和算力精度达到商用标准,董博维博士目前已与该公司建立合作关系,从光源、相变材料、硅光互联架构等多维度共同推进光子存算在人工智能领域的商业化落地。
光计算时代或许正在加速到来。
随着人工智能等技术对算力的需求日益增长,而传统电子计算的算力供给能力与人工智能产生的算力需求之间存在失配,这促使人们寻找新的算力增长点。
光计算具有高并行度、高能效比和高速度的特点,在构建大规模矩阵-矩阵并行计算系统时具有巨大优势。近年来,光计算领域涌现出许多研究成果和进展。
近日,牛津大学 Harish Bhaskaran 院士课题组董博维博士等研究人员在《Nature》正刊上发表论文「部分相干光可增强并行光计算」。
- 论文链接:https://www.nature.com/articles/s41586-024-07590-y
- 论文标题:Partial coherence enhances parallelized photonic computing
在论文中,他们证明了,降低光学相干性能够增强光子卷积处理。他们展示了一种利用降低的时间相干性(即部分相干系统)的光子卷积处理系统,以在不显著牺牲准确度的情况下提高处理并行性,并有可能实现大规模光子张量核。
这种方法消除了对众多移相器或 MRR 的精确控制的需求,并通过使用部分相干光源减轻了对严格反馈控制和热管理的要求。
研究者在两个用于计算应用的光子平台中展示了部分相干处理的广泛适用性:首先,他们使用相变材料光子存储器,通过 3×3 光子张量核进行并行卷积处理,对十名帕金森病患者的步态进行分类,实现了 92.2% 的准确率。其次,他们使用带有嵌入式 EAM 的 9×3 硅光子张量核实现了高速 0.108 TOPS 卷积处理器,用于矢量编码和权重设置,并结合片上光电探测器对 MNIST 手写数字数据集进行分类,准确率达到 92.4%。
光计算将加速人工智能新变革
光计算大多通过芯片作为载体,在光芯片上实现。光芯片指的是在用成熟 CMOS 电芯片工艺节点(180nm、130nm、90nm)改造而成的硅基光电子工艺下流片的芯片,可以运用在通信、传感和计算上。光通信领域,各大光通信厂商都已开始全面将设备芯片化,如将光开关集成到硅光芯片上,使得面积和功耗都下降 10-100 倍;传感领域,激光雷达厂商正在积极推动将固态雷达设备用硅光芯片替代,以缩小面积和降低成本;而计算是对硅光芯片工艺要求更高、调制更复杂的领域,技术上集成了通信、传感的先进工程化经验,也面向更庞大的人工智能市场。
光计算芯片是为人工智能而生。从理论基础上,光计算芯片天然适配于做并行、大规模的线性运算,而线性运算是当今世界所有主流人工智能算法的基石。从产业结构上,人工智能天然需要用大规模、大算力、安全可控的算力集群来完成生产力的跃迁,而在产生大量算力的同时,能耗控制决定了算力集群的效率和成本。光计算芯片提供了一个超大算力、超低能耗的算力集群的发展路线。在人工智能众多新兴领域里,光计算芯片天然适配于大模型、自动驾驶、xx智能等。
大模型的训练和推理需要大量的算力,光计算芯片可以极大降低大模型所需硬件的固定成本和使用成本。在固定成本方面,光计算芯片造价成本低,且无需先进制程流片。在使用成本方面,光计算芯片能效比极高,同样算力下耗电量仅为电芯片的 1/100。可以说,光计算芯片是最适合于大模型未来发展的算力核心硬件。
自动驾驶在从 L3 至 L5 的发展过程中,算力需求会从每辆车 300TOPS 激增到 2000TOPS,在现有自动驾驶电芯片的能耗条件下,L5 所需求的算力会带来超过千瓦的耗电量,目前的电池是难以持续支撑的。光计算芯片提供了一个在大算力前提下不产生大功耗的解决方案,从而保证了新能源汽车在 L5 全自动驾驶下依然有出色的续航表现。
xx智能系统要实现与人类互动并完成多样化指令要求,决策层的多模态处理不可或缺。作为xx智能的实体之一,智能机器人的强化学习和模型训练方面需要强大的算力支持。光计算芯片具备的高速率、低延迟、高并行能力、低能耗、不易受干扰等特性,能够为xx智能系统的技术发展和产业化应用提供重要基础支撑。
大规模光计算芯片调控成本高
光计算芯片可以解决大模型、自动驾驶、xx智能的痛点,但由于光的波特性需要复杂调控,实现大规模光计算芯片一直是个难题。
大规模光计算芯片需使用多个激光光源,每个激光的波长和相位需要精准调控。同时,光信号处理硬件也需要实现对波长和相位的精准调控。这类似往水池中的不同位置同时丢下多个石块,并要求在特定的观测点能够观测到固定的水纹。所需精准调控虽然理论上可行,但调控复杂,且需要巨大的调控成本,限制了光计算芯片的大型化发展。
过去的一个世纪内,科学家们专注于实现对光源波长和相位的精准控制,提升光学相干性(图 1)。使用高相干性激光是实现新兴光应用的基本思路,包括光计算。已展示的光计算系统皆使用高品质激光作为光源。

图 1: 高光学相干性加速新兴光应用的发展。图源:董博维.
部分相干光可增强并行光计算
近日发表在《Nature》上的工作打破了使用高品质相干光这一思维惯性,反常规地探究了降低光源相干性对光计算芯片的影响,展示了低品质光源可提高光计算性能。牛津大学 Harish Bhaskaran 院士(英国皇家工程院院士)课题组董博维博士等研究人员,展示了使用单一光源即可运行大规模光计算芯片,无需复杂的光源及片上波长、相位调控。
研究人员发现,通过降低光源的品质,打破光源的相干性,可以有效消除光计算芯片中的相位噪声问题,避免复杂的系统相位调控,同时通过提升带宽利用率大幅提高系统算力。
研究人员在存内光计算芯片和电吸收调制器阵列光计算芯片两个平台内展示了这一新方法的优越性。与现有技术相比,这项新技术有望将光芯片算力提升两个数量级,且通过降低系统控制复杂度大幅降低系统能耗。
打破光源相干性,消除相位敏感性
通过降低光源相干性,使用部分相干光源,相位敏感性可被彻底消除,一个窄带部分相干光即可应对多个输入通道。这一方法解耦了波长数量与输入通道数量的关联性。
假设光计算芯片的工作带宽为 80nm,部分相干光的线宽为 0.8nm,此时输入通道数可为任意大小,且计算并行度可为固定的数值 100,从而提供比传统相干光源光计算系统高 100 倍的算力。
研究人员通过实验验证了这一假设。如图 2 所示,在光计算系统中,若在多输入通道中使用单一激光,会发生明显的由干涉引起的强度扰动,影响计算结果(图 2b)。若使用单一部分相干光,可观测到强度扰动被彻底消除,得到稳定的计算结果(图 2c)。

图 2: 部分相干光彻底消除干涉引起的光强扰动,使单一光源对应任意大小的光计算芯片成为可能。图源:Nature.
....
#一次性解决一千个问题,AI让数学摆脱蛮力计算
陶哲轩IMO演讲全文
在探索「数学之美」的路上,人工智能到底走到哪一步了?说到这个话题,可能没人比数学家陶哲轩更懂。他几乎是最常用 AI 辅助证明的数学家之一,还在今年的 AI 数学奥林匹克竞赛(AIMO 进步奖)担任了顾问委员。
最近,在 IMO 2024 的一场演讲中,陶哲轩全面回顾和展望了计算机与人工智能在数学研究中应用范式的演变。
视频链接:https://www.youtube.com/watch?v=e049IoFBnLA
为期一个小时的演讲中,他从早期计算工具讨论到现代机器学习和形式化证明助手的演变过程,还着重介绍了最近取得的突破和面临的挑战。陶哲轩强调,虽然人工智能在数学领域的作用越来越大,但人类的洞察力和创造力对于在该领域取得有意义的进展仍然至关重要。
以下是陶哲轩演讲全文:
谢谢!回到 IMO 我很开心,在 IMO 的那段时间是我一生中最快乐的时光之一。现在回想起来,仍然觉得很美好。我希望大家都能玩得开心,无论你是否取得了好成绩,不仅仅是在比赛中,在社交活动中也是如此。
我的演讲主题是人工智能,更广泛地说,是如何用计算机辅助数学。你们都听说过人工智能以及它如何改变一切。今年早些时候,DeepMind 发布了一款新产品 AlphaGeometry。因此,这场演讲我将更多地讨论这些工具如何开始改变数学研究。
数学研究不同于数学竞赛,解决一个问题不止需要 3 个小时,而是需要几个月。有时,你解决不了问题,就必须改变问题。虽然在技巧上有一些重叠,但这与数学竞赛绝对不同。因此,AI 的加入太令人兴奋了,而且具备变革性。
但另一方面,这也是一种连续性。我们使用计算机和机器进行数学运算已经有很长一段时间了。即使做数学的方式和性质正在发生变化,但我们实际上是沿袭了机器辅助的悠久传统。
那么,有个问题:我们使用机器进行数学运算有多久了?
答案是数千年。这是罗马人用来做数学运算的机器,它不是很灵巧。
计算机呢?我们用计算机做数学题有多久了?大约有 300 到 400 年。有点奇怪吧,因为现代计算机直到 20 世纪 30 年代和 40 年代才出现。在此之前,计算机并不是电子的,而是机械的,再之前,它们是「人类」。「计算机」实际上是一种职业,是「计算的人」。
这是世界大战期间的「计算机集群」,用来计算弹道等等。这些计算机通常都是女孩,因为男人们的工作是打仗。还有一些程序员,他们负责告诉女孩们该做什么。那时计算能力的基本单位和 CPU 无关。
所以,一千个女孩这样工作一小时,能完成多少计算量?
正如我所说,我们使用计算机的历史可以追溯到 18 世纪甚至更早。在那个时代,计算机最基本的用途就是建立表格。我上高中时还在课程中学习如何使用这些已被淘汰的表格。
当然,现在我们有了计算器和电脑。现在我们仍然使用表格。在数学研究中,我们依赖表格,即使现在叫它们数据库,但本质上是一个东西。
数学领域的许多重要成果都是通过数论中的表格首次发现的。数论中最基本的成果之一叫做素数理论。Legendre 和 Gauss 发现了它,虽然无法证明这一点,但他们推测这是真的。
在数论中有一个非常核心的问题,叫做伯金 - 斯旺顿模猜想((Birch and Swinnerton-Dyer),我想在这里谈谈。
这个猜想也是通过大量的表格发现的。现在,包括我在内的很多数学家都在使用一个表格,叫做「整数序列在线百科全书」(Online Encyclopedia of Integar Sequences,OEIS)。也许你也会遇到它,你可能会认出很多整数序列。
比如我告诉你 1,1,2,3,5,8,13 这个序列,OEIS 就是一个包含数十万个类似序列的数据库。
很多时候,数学家在研究一个问题时,都会涉及到一些数字的自然序列。例如,也许有一个取决于 n 的空间序列,你可以计算出这些数字中的前五六个或前十个,然后将其放入 OEIS 中进行比较。
如果你运气好的话,这个序列已经被别人放在那里了。它可能来自于一个完全不同的来源,比如是对其他数学问题的研究。这就给了你一个很大的线索 ------ 两个问题之间存在着联系,许多研究都是这样产生的。
表格就是我们最早使用计算机的方法之一。当你想到用计算机来做数学题时,你会想到数值运算,它是可持续计算的正式名称。你想要做一个非常庞大的计算,就需要做很多很多的算术运算。
把它输出给计算机,我们从上世纪 20 年代就开始做了。也许第一个真正进行科学计算的人是 Hendrick Lorentz。他的任务是建一个巨大的像办公室一样的东西,他们想知道水流的内部是怎么回事,所以他们必须建立一些流体方程模型。
他用了一大堆人类计算机来解决这个问题,且不得不发明了浮点运算来完成这项工作。他意识到,想让很多人快速完成大量计算,应该用浮点来表示大量不同大小的数字。
当然,我们现在用计算机来建模各种事物,比如解决大量线性方程或偏微分方程,做一些商业计算。它还可以解决代数问题,许多几何题原则上也都可以通过科学计算来解决。
不幸的是,一旦它的计算规模增加,其复杂性就会变成指数级。因此,直到最近,用计算机代数软件蛮力解决这些问题还不太可行。但现在有了人工智能系统,这件事也许就更有希望了。
另一种已变得相当强大的科学计算是所谓的 SAT 求解器。它们基本上可以解决逻辑难题。比如,如果你有 10 个陈述或者 1000 个陈述都是真的或假的,而你知道,如果第 3 个陈述是真的,第 6 个陈述是真的,那么第 7 个陈述一定是假的。如果给你一大堆这样的限制条件,SAT 求解器就会尝试接受所有这些信息,然后总结:你能证明这些句子的某种组合吗?
SAT 求解器还有一个更花哨的版本,叫做 SMT 求解器。在这里,你还会有一些变量 x、y 和 z,你还会假设一些法则。但不幸的是,它们的规模也非常大,根本无法很好地扩展。同样,解决这些问题的时间和复杂度也会呈指数级增长。一旦超过 1000 个左右的命题,就很难在任何合理的时间内运行这些。
但它们实际上可以解决一些问题。比如最近的一个成功案例,如图所示,可能只有计算机才能解决,我认为只凭一个人根本解出不来。
这就是所谓的毕达哥拉斯三元组问题,在大型计算机服务器计算之前,这个问题一直没有解决。
问题是,你把自然数染成两种颜色:红色或蓝色,但无论你如何给这两个自然数着色,其中一种颜色都必须包含一个毕达哥拉斯三元组 A、B、C 三个数。
现在我们知道了,事实上并不需要穷举,只需要查到 7824。
这个证明需要 7 个 CPU-year 计算。他们生成了 200 兆字节,后来被压缩到 68 千兆字节。这就是我们利用计算机进行大量案例分析的一种方式。
但近年来,我们开始用更有创意的方式使用计算机。因此,有三种方式可以利用计算机进行数学运算。我觉得我真的很兴奋,尤其是当它们相互结合,并与更经典的数据库 ------ 表格和符号计算,这种科学计算结合在一起的时候。
首先,我们利用机器学习和较新的网络来发现新的联系,并找出不同类型数学之间的关联方式,而这些方式是人类无法看到或不太可能看到的。
尤其是大型语言模型,某种意义上说,它是机器学习的大型版本,是一种可以使用自然语言的算法,比如 ChatGPT 等。它们可以生成可能的证明、解决问题的方法,这些方法有时有效,有时无效。在我之后的演讲中,你会看到更多这样的例子。
不过,还有另一种技术刚刚被日常数学家所使用,这就是所谓的形式化证明辅助。计算机语言是用来编写可执行代码的,而形式化辅助证明则是用来检查事物的语言,用来检查某个论证是否真实,是否能从数据中得出结论。
这些语言使用起来相当烦人,而现在它们变得越来越容易上手了。它们促进了许多有趣的数学项目,如果没有这些证明辅助工具,这些项目是不可能完成的,而且它们将来会与我在这里介绍的其他工具结合得非常好。
所以,我想谈谈使用机器和计算机辅助数学研究的新成果。从证明辅助开始吧。是的,历史上第一个真正意义上的计算机辅助证明可能是四色定理的证明,即「任何一张地图,只用四种颜色,就能让相邻的国家染上不同的颜色」。
1976 年那时,还没有辅助证明。实际上,当时做的尚不能称之为计算机证明。如今,这是一个需要大量计算的证明,其中一半由计算机完成,一半由人类完成。
他们证明四色定理的方法是:你基本上可以归纳出国家的数量,并证明如果你有一个庞大的地图,其中有一些国家的子图,那么就会产生一个大约有 1000 到 2000 个特殊子图的列表。
其中有一些工作他们可以通过计算机完成,但也不得不手工将每张图表输入程序并进行检查。这项任务实际上是由人工计算机完成的,其中一位作者的女儿不得不花上几个小时手动检查。工作非常繁琐,而且过程并不完美。有很多小错误,他们不得不更新表格。因此,这并不是现代计算机证明的标准,计算机可验证的证明是在九十年代才出现的,当时只用了 700 多个图就得到了一个更简单的证明。
但现在,所有需要检查的东西,都可以通过一种非常精确的方式找到属性列表。你可以用你喜欢的计算机语言(C 或 Python 或其他语言)编写代码,用几页纸和几百行代码就能检查出来,几分钟就能搞定。然后再实际检查它是否完全正确,并提供一个一直到数学公理的证明。
从证明首次出现,到我们可以用计算机完全验证,这中间有一个巨大的鸿沟。
另一个有名的例子是开普勒猜想。说起来非常简单。即如何在三维空间中最有效地堆叠球体,以最大限度地填充空间。如下展示了一种「三角形」的堆积方式,它看起来就像水果店里堆着的橘子一样。还有一种对偶的立方堆积方式。两种堆积方式的密度是相同的,都约为 74%。

问题是,开普勒猜想,这个难题困扰了数学家几个世纪。二维空间的最佳堆积并不难证明。但拓展到 24 维度,我们直到最近才得出答案,乌克兰女数学家 Viazovska 最近解决了这个问题。
有一种证明开普勒猜想的策略,虽然堆叠的球的数量是无限的,但我们可以先试着把它简化成一个有限的问题,用电脑来处理。
匈牙利数学家 Tóth 在 50 年代提出了一个重要的想法,即将开普勒猜想的证明转化为一个有限的组合问题。每次堆积时,空间会被细分成一些称为「沃罗诺伊区域」的多面体。这些区域是通过找出哪些点更接近某个球体而不是其他球体来确定的。
可以通过计算「沃罗诺伊区域」的体积等属性,进一步得知球体在空间中的排列密度。因此,如果你能算出这些多面体的体积在平均上如何变化,那么就可以估算堆积密度的最大值。你还可以尝试找出这些多面体之间的关系,比如,如果一个多面体非常大,可能会导致附近的多面体非常小。
因此,你可以试着找到一些不等式,基于这些不等式,进行线性规划等数学运算,最后得出了一个正确的值。然而,尽管许多人尝试了这种方法,有些甚至声称成功了,但没有一个被公认为是正式的证明。
这个问题最终首先由 Thomas Hales 和他的合作伙伴 Ferguson 解决了。他基本上采用了与前人相同的策略,但在技术层面做了很多调整,比如他没有直接计算多面体体积,而是发明了一种评分系统,通过对每个单元进行科学评分来优化计算。
这些评分基于体积并进行了微调,目标是通过线性不等式约束不同单元的得分,最终计算出密度的最大值,从而得出开普勒猜想在三维中的答案。
这种方法非常灵活,但也因为过于灵活,导致有太多变量,比如设置评分的方法等。这也把问题搞得更复杂了。
Hales 和 Ferguson 意识到,一旦计算函数的最小值时出了问题,就得改变得分函数,从头再来。但这样一来,所有已经检查过的工作都得重做。于是,评分系统变得越来越复杂。他们在这方面的工作持续了将近十年,每改一次都需要花费数月来调整。
Hales 在一篇文章中曾写道:「这种不断调整的做法并不受同行们欢迎。每当我在学术会议上展示自己的新成果,我总是在展示不同函数的最小值。而且更糟糕的是,新函数与我之前的论文不完全兼容,因此我不得不回去修改和补充早期的工作。」当然尽管如此,他们最终还是证明出来了开普勒猜想在三维中的答案。
起初,他们并不打算用计算机辅助证明,但随着项目越来越复杂,他们不可避免地越来越多用到计算机。按照当时的标准,这个证明的规模极为庞大。到 1998 年,整个证明包括了 250 页的笔记以及 3GB 的计算机程序和数据。
同时,使用计算机导致 Thomas Hales 的论文难以通过审查。Hales 把论文提交给了数学顶级期刊之一《数学年刊》(Annals of Mathematics),整个审稿过程持续了四年,审稿委员会包括 12 名审稿人。最终,他们表示 99% 地确定证明是正确的,但无法完全确认其中的所有计算。出于这种不确定性,编辑们采取了非常罕见的做法,发表了论文,并附上了一个来自编辑的保留说明,提醒读者有未完全验证的部分。不过后来,这个保留说明被移除了。
当时,关于计算机辅助证明是否可以被视为真正的数学证明存在相当大的争议。即使在论文发表后,仍有一些数学家质疑这是否真正构成一个完整的证明。
这可能是第一个用计算机辅助数学证明的大事件。这促使数学家们开始推动如何将证明过程完全形式化。Thomas Hales 因此创建了一个项目 ------「Flyspeck」,基于已有的计算机语言,他带领团队构建了一种适用于数学证明的语言,来形式化他的开普勒猜想证明。
起初,他估计这一过程需要 20 年,但在 21 位合作者的帮助下,他在 12 年内完成了,并在 2014 年正式发表。如今,我们对「Flyspeck」充满信心。即便整个过程非常艰难,在过去的几年中,我们仍在逐渐摸索出一种更好的工作流程来形式化证明。
彼得・朔尔策(Peter Scholze)是一位非常杰出的年轻数学家,曾获得菲尔兹奖,他因许多成就而闻名,其中之一就是他创造了一个极具潜力的数学领域,称为「凝聚态数学(Condensed Mathematics)」。这个领域结合了代数、范畴论等工具,应用于泛函分析的理论,如度量空间等。在泛函分析中,传统上比较抗拒代数方法的应用,但凝聚数学原则上可以用代数方法解决一些关于函数空间的某些问题。
朔尔策建立了「凝聚群」和「凝聚向量空间」这一整套理论。他的主要观点是,我们在研究生课程中学习的函数空间的范畴是不正确的,或者说并非具备最佳性质的自然范畴。然而,这套理论中有一个非常重要的消失定理需要证明,尽管朔尔策没有详细解释其中的符号和术语。
朔尔策的凝聚数学理论中有一个非常难的消灭定理(vanishing theorem),涉及某个范畴论群的计算。这个消失定理是他理论的基础,如果无法证明该定理,那么凝聚数学的框架就无法发挥其应有的潜力。
他在博客中写道:自己花了一整年时间,深陷于证明这个定理的过程中,几乎因此而疯狂。最终,他把推理写在了纸上,但没有人敢详细查看其中的细节。因此,他仍然对这个定理存有疑虑。他指出,如果这个凝聚数学的表述能有效应用于泛函分析领域,那么它的意义将极为重要。然而,他也表示,99.9% 的确定性仍然不够,因为这一工作的主题具有极其基础性的作用。
他说:「他很高兴看到世界各地有许多学习小组在讨论相关竞赛事件,但他们都没有深入到这个定理的证明部分。」他表示,这趟数学旅程并不是很有趣。他还强调,这可能是他最重要的一项工作,因此必须确保其正确性。
他很希望将这个定理用更现代的语言进行形式化。他使用一种叫做 Lean 的 Preface 语言。Lean 是近年来得到广泛开发的语言,背后有一个众包的数学库开发团队。越深入和高级的数学领域证明就越显得繁琐,尤其是像这种高深的数学领域,使用 Lean 可以帮助更加简洁地形式化复杂的证明过程。
数学库已经发展成为一个核心资源,它已经证明了许多中间结果。你在本科数学课程中可能会看到的一些基础内容,比如基础微积分、群论或拓扑学的基本概念等,都已经被形式化。因此,Lean 提供了一个坚实的基础,让你不必从数学公理重新开始,而是从大致相当于本科数学教育的水平出发。尽管与更高级的数学研究还有很大差距,但这一基础已经能大大帮助复杂数学问题的形式化过程。
为了形式化这个定理,他们不得不添加许多额外的内容,因为 Lean 的数学库目前仍不完整。在数学的许多领域里,比如同调代数理论和层理论,还需要被加入到这个库中。这些高级数学工具对于更复杂的数学证明是必要的,但 Lean 目前的库还没有完全覆盖这些内容,因此需要继续扩展以支持更广泛的数学领域。
在 EMEA 项目中,仅用了 18 个月,他们就能够能用 Lean 自动化地证明这一定理,Lean 的证明基本上是正确的。他们还找到了一些简化方法。有些步骤用代码实现起来太难,因此他们被迫寻找一些捷径。这个项目带来的是长远的价值。首先,他们极大地丰富了 Lean 的数学库,能够处理大量的抽象代数了。那些为支持该项目而构建的软件,后续的项目也在用。
例如,EMEA 项目中衍生出了一种名为「蓝图」的工具。想象一下,要直接形式化一个长达 50 页的证明,确实很痛苦。你需要在脑海中保持整个证明的连贯性。
「蓝图」的界面
为此,我们找到了正确的工作流程:首先为这个大型证明编写一个「蓝图」,它将证明分解成了数百个小步骤。每个步骤都可以单独形式化,然后将它们组合起来。你首先编写这个「蓝图」,你的团队成员可以分别处理不同部分。这种拆分还让我们得到了一点启示:如果想以人类的方式阅读数学证明,「蓝图」是最佳选择。
目前,人们正在致力于将这份长达数万行的形式化证明转换回人类可读的形式。为此,已经开发了一些新工具。例如,你可以将 Lean 的格式转换成人类可读的形式。这里有一个拓扑问题的例子。这里的所有文本都是计算机根据形式化证明自动生成的,看起来和一个人类写出来的没什么差别。
它同样使用数学语言,但它的互动性更强。你可以点击任何位置,它会告诉你你当前处于哪个位置,假设是什么,你要证明什么,变量是什么。如果某个步骤太简略,你可以展开,它会解释每个词的来源。如果你愿意,还可以一直深入探索每一个细节。
我觉得这是一个很棒的想法。我相信未来的教材会以这种互动的形式编写。你先对它们进行形式化,然后就可以制作出更加互动的教材,内部内容也会更加灵活多样。
受此启发,我自己也开始了一个形式化的项目。去年,我与其他几个人一起解决了一个关于组合产物的问题。
这个证明大约有 33 页,我们在相对较短的时间内完成了它的形式化,可能依然是最快形式化的研究论文。用了三周时间,团队有 20 人左右,利用了所有已经开发出来的蓝图工具完成了这一切。总的来说,这种方法让证明过程更加开放和协作化。而且你还能获得很多漂亮的可视化图表。正如我之前提到的,第一步是把你的大定理拆解成许多小部分。我们有一个定理,称为 PFR,接下来我们会解释为什么。在这张图的底部,有一个表示「宇宙」的小气泡。
然后我们引入了所有这些其他陈述,比如说某个证明必须依赖于之前的几个陈述,而这些陈述又依赖于更早的陈述。因此,形成了一个依赖图,图中的不同颜色表示这些陈述是否已形式化。绿色的气泡表示这个陈述已经在你的形式化语言中得到了正式证明 ;蓝色的气泡表示这个陈述还没有形式化,但已经准备好进行形式化,因为所有定义都已经就位。

而白色气泡表示,连陈述都还没有被形式化,需要有人把陈述写出来。因此,这就形成了一棵任务树。这个项目的妙处在于,你可以让所有人独立合作,处理任务图中的不同部分。每个小气泡对应一个陈述,而你不需要理解整个证明,只需处理你负责的那一部分就可以了。
比如,这个问题是一个常见选择题,但参与的人中有概率论领域的专家,也有一些根本不是数学家的人。他们是计算机程序员,但非常擅长解决这类小型谜题。所以每个人都挑选了一个他们觉得自己能处理的小气泡,并完成了它。最后,我们在三周内完成了整个项目,这真的是一个非常令人兴奋的项目。
在数学领域,我们通常不会与这么多人合作,通常一个团队最多也就五个人左右。这是由于合作大型项目时,团队中每个人的数学水平都要值得信任。需要确保他们的工作都是正确的,并且达到一定的质量标准。但这一般不太可能。
但用 Lean 编译器做这种项目,它可以自动检查。上传无法编译的内容会被编译器拒绝。因此,你可以与从未见过面的人通过 Lean 合作。我在这个过程中遇到了很多人,也为在 Lean 社区遇到的伙伴写了不少推荐信。

Lean 的格式让数学家们可以更好地分工合作。
擅长 Lean 的专家可以专注于将项目的一部分转化为 Lean,不太熟悉 Lean 的数学家可以继续原来的工作,将用 Lean 将其程式化的工作留给其他人。虽然 Lean 不能做到完全精确。如果你懂这门语言,AI 给出答案是可读的,但它看起来有点单薄并且不太符合常规。但它可以把任务分解,有一些人可以从宏观角度审视整个项目,有的人可以专注于自己擅长的一小部分。我认为这种研究方式在数学领域将越来越常见。
使用这些工具仍然挺痛苦的。虽然这些工具正在降低门槛,变得对用户更友好,但我们仍然需要具备一些编程专业知识,比如改格式比手算要多花 10 倍的时间。
另一方面,比如图中的定理中有一个数字 12,在证明过程中想要把这个 12 改成 11。但是这样必须重写整个证明,或者一个一个地把 12 剪切粘贴成 11。但当我们将其程式化后,这个效率大大提高了,把 12 更改为 11 只花了几天时间。只把某处的 12 改成了 11,编译器自动在五个类似的地方报错了。
像这类工作已经不需要亲自处理了,我们直接针对它做优化。因此,对于一些特定的数学研究,通过程式化的方法实际比传统方法更快。
目前,也有相当多这种用计算机辅助的大型数学证明项目正在进行。其中最引人瞩目的应数 Kevin Buzzard 正在用 Lean 证明费马大定理,他刚刚获得了一笔巨额资助。他表示,完成这项工作的主要工作大概需要五年时间,实际上,该项目已经开始取得进展。
下面来谈谈机器学习对数学领域的应用,我先跳过用机器学习来解偏微分方程的话题,谈谈机器学习的另一个应用。数学中的「纽结理论」(Knot Theory)是一个相当有趣的领域。它是众多的数学领域的交汇处。
2021 年,Alex Davies 等人通过机器学习拓展了对「纽结理论」的新认知。
从本质来看,一个结是一个在空间中闭合的环状或曲线。如果能够通过连续的变形,将一个结平滑地转换为另一个结,且在整个过程中结不穿越自身,那么这两个结在数学上被认为是「同胚」的。这种连续变形的过程,确保了结的拓扑性质得以保持,也就是说,在拓扑学的视角下,它们的类型是等价的。
我们可以通过机器学习来自动地识别结的性质,并对其变化的过程进行一些分析,例如,对不同类型的结进行分类,或者预测结的性质,比如它们的形态是否稳定,或者预测它可能转变成什么新形状。这些知识可以扩展到材料科学、生物学等等领域,从而为这些领域带来新的见解和解决方案。

「同胚」的结
「纽结理论」中的核心问题之一便是判断两个结是否具有等价性。面对两个结,我们是否能够找到一种方式,将一个结变换为另一个?
通常,我们通过「结不变量」来解决这个问题。「结不变量」往往是一系列数字或多项式,它们与结的结构紧密相关,并且在结的任何连续变换下都保持恒定。换言之,这些数值或多项式的不变性为我们提供了一种可靠的判断标准:如果两个结的「结不变量」不相等,那么这两个结就不可能是等价的。这是一种判断结等价的定量方法。
「结不变量」也有多种类型,其中一种称为「signature」。它通过一种特定的计数方法。首先,将结展平,然后计算交叉点的数量,区分哪些线段是相互跨越的,哪些是相互位于下方的。基于这些交叉点的信息,我们可以构造一个特定的矩阵。通过进一步的数学处理,我们得到一个名为「signature」的整数。
此外,还有一些著名的多项式也是「结不变量」,如「琼斯多项式」(Jones polynomial)和「霍姆费利多项式」(HOMFLY-PT polynomial)。不过,在此我就不深入讨论这些内容了。这些多项式、不变量为我们提供了深入理解结的复杂性和多样性的有力工具。
此外,还有一种判断标准,名为「双曲不变量」(hyperbolic invariants)。它源于几何学。你可以取结的补集,被称为双曲空间(hyperbolic space)。这种空间带有特定的几何结构,具备距离的概念,并且可以度量体积和其他一些不变量,它是实数或复数,可以用来判断两个结是否等价。
表格中展示了 1991 年由 Hildebrand 和 J. Weeks 进行的关于结的双曲不变量的研究。
这里列出了一系列关于结的假设,包括双曲体积、同调尖顶形状等等,它们涉及实数和复数。然而,没人知道这两者之间有什么联系。因此,有两种独立的方式来生成关于结的统计数据,但它们之间没有关联。
直到最近,人们才开始使用机器学习来解决这个问题。他们创建了数百万个结的数据库,并用这些数据训练了一个神经网络。结果发现,训练后的神经网络,可以根据所有的双曲几何不变量来预测签名,大约 90% 的时候它可以猜对。
这就形成了一个黑箱,它能够告诉你这些几何不变量中某处隐藏了签名的信息,但却不能解释这个黑箱的内部原理。不过这仍然有用,因为一旦有了这个黑箱,你就可以进行实验。接下来他们进行了显著性分析。
这种分析的原理是黑箱接收大约 20 个不同的输入,而输出是一个签名那么你可以通过改变每一个输入,来观察输出的变化概率。20 个输入中只有 3 个对输出起了重要作用,其他 17 个几乎没有影响,而且这 3 个也不是他们最初预期的。比如,他们本以为体积会很重要,但结果显示体积几乎无关紧要。三个重要的输入是长程平移和子午线平移的实数部分和复数部分。
一旦他们确定了最重要的输入就可以直接绘制签名与这三个输入之间的关系图,然后用人的视觉网络,而不是神经网络来观察其中的明显模式。通过观察这些图,他们可以提出一些关于问题的猜想。
尽管他们最初的猜想是错误的,但他们重新利用神经网络,证明了这个猜想的错误性,并根据错误之处进行了修正,最终得出了正确的猜想,成功解释了这个现象。一旦他们得出正确的陈述,他们就能够证明这一点,说明为什么签名与这些特定的不变量有如此密切的关系。
我认为这展示了机器学习在数学中的一个应用方式,它并不直接帮你解决问题,但能提供很多有用的提示,指引你去寻找关键的联系,不过最终还是需要人类来做出真正的关联。
最后,我们来谈谈大型语言模型,它们是最引人注目、也最为人所知的。神经网络已经存在了 20 年左右,而大型语言模型大约在 5 年左右就已经出现了,但直到最近,它们的输出才接近人类水平。你们可能都听说过 GPT-4,这是 ChatGPT 的一个模型。
非常著名的是,当 GPT-4 发布时,有一篇论文描述了它的能力。研究人员给它输入了 2022 年国际数学奥林匹克(IMO)的一道题,是一个稍微简化的版本。如果你研究过 2022 年的 IMO 题目,你会发现它不是完全相同的形式,这是一个简化版本。不过 GPT-4 给出了完整且正确的解答,它确实解决了一道 IMO 的题目。
但其实这是他们挑出来的。他们测试了数百道国际数学奥林匹克(IMO)级别的问题,成功率大概只有 1%。所以虽然这道特定的问题能够被解决,但他们必须以正确的方式来格式化问题才能得到解答。不过,尽管如此,这依然相当令人惊叹。
另一个有意思的是,某些人类觉得困难的事情,AI 可能可以轻松完成。而人类觉得容易的事情,AI 却常常难以处理。这是一种非常不同的解决问题方式。有研究人员曾让模型做一个简单的算术计算,像是 7×4 + 8×8。
模型只是根据输入猜测最可能的输出,结果它猜的答案是 120。然后它停顿了一下,说:「也许我应该解释一下为什么是 120。」于是它逐步展开解答,但当它一步一步进行计算时,实际上得出了正确的答案 ------92,而不是它最初猜的 120。如果你接着问:「等等,你之前说答案是 120。」 它会回复:「哦,那是个笔误,抱歉,正确答案是 92。」
所以它们并不是通过从基本原理推导出答案,而是每一步都在猜测接下来最自然的输出是什么。令人惊讶的是,有时候这种方法有效,但很多时候却不奏效。而如何让它们变得更加准确,仍然是一个正在进行的研究课题。
所以,人们正在尝试各种方法来改进这些模型。你可以将这些语言模型与其他更可靠的软件连接起来。实际上,接下来的演示中你会看到一个大型语言模型与其他工具连接的案例。在这种情况下,你不需要自己进行计算,而是将计算外包给 Python。不过你还可以做另一件事,强制语言模型只生成正确的答案,方法是让它们输出特定的编程语言格式。如果代码不能编译,你就把它返回给 AI,让 AI 重新尝试。
或者你也可以直接教它一些解决问题的技巧,比如我用来解决国际数学奥林匹克(IMO)问题的技巧,像是尝试简单例子、反证法,或者一步一步地证明等等。人们正在尝试各种各样的方法。虽然目前我们还远远没有能够解决大多数数学奥赛问题,更别提数学研究问题了,但我们确实在不断取得进展。除了能够直接解决问题外,AI 还可以作为某种灵感来源。
实际上,我自己也使用过这些模型,并尝试各种问题。我曾遇到一个难题,尝试了几种方法都没有成功。于是,作为实验,我向 GPT 询问它会建议使用哪些其他技术来解决这个问题。它给了我一个包含 10 种技术的列表,其中大概有五种是我已经试过但明显无用的方法,还有几种也不太有帮助。
但其中有一种技术我没有尝试过,那就是对这个特定问题使用生成函数。当它提出这个建议时,我意识到这确实是正确的方向,但我之前忽略了。所以,作为一个可以交流的人,它还是有一定用处的。虽然现在并不是特别出色,但也并非完全无用。
另一个已经变得非常有用的 AI 辅助类型是用于证明辅助的工具。正如我所说,写正式的证明是一项非常繁琐的任务,就像任何非常严苛的计算机语言一样,你必须确保语法完全正确,如果你漏掉一步,它就无法编译。现在有一些工具,比如我用过的 GitHub Copilot。
你可以写下证明的一半,然后它会试着猜测下一行应该是什么。在大约 20% 的情况下,Copilot 会猜出接近正确的内容,然后你可以选择接受它的建议。比如,在一个实例中,我正尝试证明某个命题,灰色部分是 Copilot 建议的代码。结果发现第一行没什么用,但第二行却上解决了这个问题。所以,你不能完全依赖它的输入,因为它不一定能编译成功。但如果你大致了解代码的工作方式,它可以为你节省很多时间。

这些工具正在不断改进。现在,如果证明只有一两行,它们可能能够自动完成。还有一些实验在进行中,尝试让 AI 生成证明,接着将其反馈给编译器,如果编译出错,再把错误信息传回 AI。
可以看到,这种方法可以处理大约四到五行的证明。当然,一个完整的大型证明通常有数万行,因此我们还远没有达到能够立刻将证明完全形式化的水平。但即便如此,它已经成为一个相当有用的工具了。
我们现在处于什么阶段?有人希望在未来几年内,我们能够直接使用计算机来解决数学问题。我认为距离这个目标,还有很长的路要走。对于一些细分领域中的问题,我们可以构建一个 AI 专家。但它们并不完全可靠。因此,至少在接下来的几年里,AI 将大概率扮演一个辅助的角色。
除了我们熟知的那种 AI 辅助「蛮力计算」之外,我认为还有一个特别令人兴奋的方向。尽管目前还没有真正成功,但是 AI 已经非常擅长生成猜想。我们已经看到了一些例子,AI 已经可以推测两个统计数据之间的联系。所以现在我们寄希望于创建庞大的数据集,将大量数据「喂」给 AI,然后它们就会自动生成各种数学对象间的联系。其实这还并没有实现,我们还不清楚如何做到这一点。当然,我们还没做出那种大体量的数据集。但我认为 AI 能生成数学猜想在将来很有可能成为现实。
证明数学定理是一个艰难、持久的过程。我们现在一次只能解决一个问题,如果效率够高,也许你也可以同时解决两三个问题。但是当我们有了 AI,可以一次性处理 1000 个类似的问题。你可以直接告诉 AI:「尝试用这种方法解决这 1000 个问题」,我们再检查结果,可能其中 35% 的问题已经用这种方式解决了。
此外,我能够将相似的问题综合起来一并解决。这种方法允许我们对整个问题集进行探索,而不是孤立地逐个击破。这是目前无法做到的,因为它可能需要几十年的时间,通过几十篇论文,用各种技术慢慢弄清楚。目前,我们仍然需要证明老式的定理。因为我们还没找到引导 AI 自动证明的方法。
但是凭借未来强大的 AI 能力,你将真的可以开始以一种真正前所未有的规模进行数学运算,未来将会非常激动人心。
....
#Loss of plasticity in deep continual learning
深度学习还不如浅层网络?RL教父Sutton持续反向传播算法登Nature
人工神经网络、深度学习方法和反向传播算法构成了现代机器学习和人工智能的基础。但现有方法往往是一个阶段更新网络权重,另一个阶段在使用或评估网络时权重保持不变。这与许多需要持续学习的应用程序形成鲜明对比。
最近,一篇发表在《nature》杂志上的研究论文《Loss of plasticity in deep continual learning》证明:标准的深度学习方法在持续学习环境中会逐渐失去可塑性(plasticity),直到它们的学习效果不比浅层网络好。
值得注意的是,人工智能先驱、强化学习教父、DeepMind 杰出研究科学家,阿尔伯塔大学计算机科学教授 Richard S. Sutton 是这篇论文的作者之一。
简单来说,该研究使用经典的 ImageNet 数据集、神经网络和学习算法的各种变体来展示可塑性的丧失。只有通过不断向网络注入多样性的算法才能无限期地维持可塑性。基于这种思路,该研究还提出了「持续反向传播算法」,这是反向传播的一种变体,其中一小部分较少使用的单元被持续随机地重新初始化。实验结果表明,基于梯度下降的方法是不够的,持续的深度学习需要随机的、非梯度的成分来保持可变性和可塑性。
ImageNet 数据库包含数百万张用名词(类别)标记的图像,例如动物类型和日常物品。典型的 ImageNet 任务是猜测给定图像的标签。
为了使 ImageNet 适应持续学习,同时最大限度地减少所有其他变化,该研究通过成对的类构建了一系列二元分类任务。例如,第一个任务可能是区分猫和房屋,第二个任务可能是区分停车标志和校车。利用数据集中的 1000 个类,该研究能够以这种方式形成 50 万个二元分类任务。
对于每个任务,该研究首先在两个类的图像子集上训练深度学习网络,然后在这些类的单独测试集上测量其性能。在一个任务上训练和测试后,下一个任务从一对不同的类开始。研究团队将此问题称为「持续 ImageNet(Continual ImageNet)」。在持续 ImageNet 中,任务的难度随着时间的推移保持不变。性能下降意味着网络正在失去学习能力,这是可塑性丧失的直接表现。
该研究将各种标准深度学习网络应用于 Continual ImageNet,并测试了许多学习算法和参数设置。为了评估网络在任务中的性能,该研究测量了正确分类测试图像的百分比。
该研究发现:对于经过良好调整的网络,性能往往首先提高,然后大幅下降,最终接近或低于线性基线。当性能开始下降时,网络架构、算法参数和优化器的具体选择会产生影响,但多种选择都会导致性能严重下降。标准深度学习方法在后续任务中无法比线性网络更好地学习,这直接证明这些方法在持续学习问题中效果不佳。

令人惊讶的是,Adam、Dropout 和归一化等流行方法实际上增加了可塑性的损失;而 L2 正则化在许多情况下减少了可塑性的损失。

研究团队发现:显式保持网络权重较小的算法通常能够保持可塑性,甚至在许多任务中能够提高性能。
该研究基于上述发现,提出了反向传播算法的一种变体 ------ 持续反向传播,该算法向网络注入可变性并保持其某些权重较小。
方法
持续反向传播
持续反向传播算法将选择性地对网络中低效的单元进行初始化处理。研究团队定义了名为「贡献效用」的值来衡量每个单元的重要性。如果神经网络中某个隐藏单元对它所连接的下游单元的影响很小,那么它的作用就可能被网络中其他更有影响力的隐藏单元掩盖。
贡献效用通过计算即时贡献的移动平均值来衡量,这个值由衰减率表示。在所有实验中,初始衰减率 η 设置为 0.99。在前馈神经网络中,第 l 层第 i 个隐藏单元在时间 t 的贡献效用

更新如下:

其中

是时间 t 时第 l 层第 i 个隐藏单元的输出,

代表其权重,

代表第 l+1 层的单元数量。
当一个隐藏单元被重新初始化时,它的输出的权重将被初始化为零。这么做是为了新添加的隐藏单元不会影响模型已经学到的功能。但是这样也容易导致新的隐藏单元很快被重新初始化。
为了防止这种情况,研究团队设置了「成熟阈值」,在 m 次更新前,即使新的隐藏单元的效用是零,也不会被重新初始化。当更新次数超过 m 后,每一步「成熟单元」的一部分 ρ(称为替换率),在每一层都会被重新初始化。替换率 ρ 通常设置为一个非常小的值,这意味着在数百次更新后只替换一个单元。例如,在 CIFAR-100 中,研究团队将替换率设置为 10 的负五次方,每一步,大约 0.00512 个单元被替换。这相当于大约每 200 次更新替换一次。
最终的算法结合了传统的反向传播和选择性重新初始化两种方法,以持续地从初始分布中引入随机单元。每次更新时,持续反向传播将执行梯度下降并选择性地重新初始化。
前馈神经网络的持续反向传播如算法1所示。处理小批量数据时,可以采取一种更经济的方法:通过对小批量数据上的即时贡献效用取平均值,而不是保持一个运行平均值来节省计算量。


在 ImageNet 上的应用
研究使用了包含 1000 个类别的 ImageNet 数据库,每个类别有 700 张图片,分为 600 张训练图像和 100 张测试图像。在二元分类任务中,网络首先在 1200 张训练图像上训练,然后在 200 张测试图像上评估分类准确度。
所有在持续 ImageNet 上使用的算法都采用了具有三个卷积加最大池化(convolutional-plus-max-pooling)层和三个全连接层的卷积网络。最终层有两个单元,对应两个类别。在任务变更时,这些单元的输入权重会重置为零。这种做法在深度持续学习中是标准做法,尽管它为学习系统提供了关于任务变化时间的特权信息。
线性网络的性能在持续 ImageNet 上不会下降,因为它在每个任务开始时都会重置。通过在数千个任务上取均值,得到线性网络性能的低方差估计值,作为基线。
网络使用带有动量的 SGD 在交叉熵损失上进行训练,动量参数设为 0.9。研究者测试了不同的步长参数,但为了清晰起见,只展示了 0.01、0.001 和 0.0001 的步长性能。
该研究还通过网格搜索确定了 L2 正则化、收缩和扰动以及持续反向传播算法的超参数,以在 5000 个任务上获得最高的平均分类准确度。L2 正则化和收缩扰动的超参数包括步长、权重衰减和噪声方差,持续反向传播的超参数包括步长和替换率,成熟度阈值设为 100。
研究者对所有超参数集合进行了 10 次独立运行,然后对表现最佳的超参数集合进行了额外的 20 次运行,总共 30 次。

CIFAR-100 的类别增量学习
在 CIFAR-100 的类别增量学习中,开始时,模型可以识别 5 种类型的图片,随着训练时间越来越长,模型能识别的图片种类越来越多,比如能同时学习 100 种类别的图片。在这个过程中,系统将通过测试检验自己的学习效果。数据集由 100 个类别组成,每个类别有 600 张图像,其中 450 张用于创建训练集,50 张用于验证集,100 张用于测试集。
每次增加学习的类别后,网络被训练 200 个周期,总共增加 20 次,共训练 4000 个周期。研究团队在前 60 个周期中将学习率设置为 0.1,接下来的 60 个周期为 0.02,此后的 30 个周期为 0.004,最后的 40 个周期为 0.0008。在每次增加的 200 个周期中,研究团队选出了在验证集上准确度最高的网络。为了防止过拟合,在每轮训练中,新网络的权重将被重置为上一轮准确度最高网络的权重。
他们选择了 18 层的 ResNet 做实验。在将输入图像呈现给网络之前,该研究进行了几个步骤的数据预处理。首先,将每张图像中所有像素的值重新缩放到 0 和 1 之间。然后,每个通道中的每个像素值通过该通道像素值的平均值和标准差分别进行中心化和重新缩放。最后,在将图像输入给网络之前,该研究对每张图像应用了三种随机数据转换:以 0.5 的概率随机水平翻转图像,通过在每边填充 4 个像素然后随机裁剪到原始大小来随机裁剪图像,以及在 0-15° 之间随机旋转图像。预处理的前两步应用于训练集、验证集和测试集,但随机转换仅应用于训练集中的图像。
该研究测试了多个超参数,以确保在特定架构下保持每个算法的最佳性能。对于基础系统,该研究测试的权重衰减参数取值范围为 {0.005, 0.0005, 0.00005}。对于「持续反向传播」,该研究测试的成熟度阈值取值范围为 {1000, 10000},替换率的取值范围为

,采用了公式 (1) 中描述的贡献效用。成熟度阈值为 1000,替换率为 10^(-5) 时,表现最佳。

作为参考,该研究还实现了一个具有与基础系统相同超参数的网络,但在每次增量的开始时都会重新初始化。图 2b 显示了每个算法相对于重新初始化网络的性能表现。
持续反向传播在全部的 100 个类别中的最终准确率为 76.13%,而扩展数据图 1b 展示了在成熟度阈值为 1000 时,持续反向传播在不同替换率下的性能表现。
....
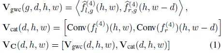
#AnyGraph
港大黄超团队推出AnyGraph, 首次揭秘图大模型的Scaling Law
本文的主要作者来自香港大学的数据智能实验室 (Data Intelligence Lab@HKU)。第一作者是香港大学的博士后夏良昊,指导老师为黄超教授。香港大学数据智能实验室专注于人工智能和数据挖掘的研究,涵盖大语言模型、图神经网络、信息检索、推荐系统和时空数据挖掘等领域。实验室的研究成果在多个顶级会议上(如 WWW、SIGIR、KDD)获得了诸多荣誉,包括最具影响力论文和最佳论文候选。
AnyGraph 大模型,图模型泛化性的突破,致力于解决以下关键技术挑战:
- 结构异质性:应对图结构信息中的分布偏移。
- 特征异质性:处理跨图数据集的多样特征表示。
- 快速适配:使模型迅速适应新的不同的图学习领域,展现敏捷适应力。
- 大模型能力涌现:随着数据量和模型参数的增长,性能显著提升,释放模型潜能。
AnyGraph 的主要特点:
- 图混合专家(GraphMoE):采用一系列专家模型,巧妙解决跨域异质性问题。
- 轻量级图专家路由机制:快速适应策略,使模型能够迅速响应新的数据集和领域。
- 自适应且高效的图专家模型:专为处理具有广泛图结构模式和特征空间的模型而定制设计。
- 广泛训练和测试:在 38 个多样化的图数据集上经过严格验证,展现出卓越的泛化能力和模型扩展性,证明了其涌现能力。

作为一种重要的数据形式,图数据在社交网络、学术网络、交通系统和生物网络等多个领域有广泛应用。图模型,例如图神经网络(GNN),学习图中节点的表征向量,来捕捉结构信息和节点上的特征信息,从而进行准确预测。
近年来,图学习领域取得了显著进展,主要得益于图神经网络(GNNs)的强大功能、一些微调方法的提出、以及最近一些将图数据空间与自然语言空间进行对齐的尝试。然而,当前最先进的图模型在跨领域的泛化性能上仍显不足。
现有方法往往严重依赖繁琐的微调过程,难以应对真实图结构复杂、多样化的特点。这种无法快速无缝适应新图域的能力,阻碍了图学习技术的广泛应用。因此,解决这一挑战,搭建一个具有跨领域、强泛化性能的图基础模型,对于图学习领域至关重要。
为此,研究团队推出 AnyGraph, 首次揭秘图大模型的 Scaling Law。
- 论文链接: https://arxiv.org/pdf/2408.10700
- 项目地址: https://github.com/HKUDS/AnyGraph
- 实验室主页: https://sites.google.com/view/chaoh
考虑到图数据的特点,以及受到语言和图像数据基础模型的启发,研究团队致力于解决以下几个关键问题:
- 结构异质性:不同应用领域的图数据在结构上可以存在极大的差别,例如节点的平均度数、紧密子图出现的频率、噪音和缺失边数据的比例等。图结构模式的多样性,对图基础模型的容纳能力提出了严重的挑战。
- 特征异质性:作为图数据的重要组成部份,节点特征在不同数据集中却存在普遍且极大的差异。例如,有的数据集采用离散的类别特征,有的可能采用连续的数值特征,有的采用文本语意 embedding,有的采用图结构的统计信息。此外,不同数据集的节点特征在向量维度这一基本特点上甚至都具有极大的差异。如何使图基础模型在零样本情况下处理不同图的异质特征,是一个关键挑战。
- 快速适应以实现广泛应用。有效的图基础模型的关键能力之一是能够高效地适应新的图数据集和领域。理想模型应能够迅速调整其参数和学习策略,以处理之前未见过的图数据集的结构和分布特征,而无需进行大量的重新训练或微调。
- 图基础模型的扩展定律与变革性能力。在计算机视觉和自然语言处理等领域中,成功的基础模型具有一个关键特性 ------ 扩展定律(Scaling Law),即随着模型大小或训练数据集的增加,性能会系统地提升。探索图基础模型是否适用这一定律,也是本文研究的一个重要问题。
为了解决上述问题, AnyGraph 提出了以下关键性技术。
图 MoE 模型
不同图之间巨大的结构和特征差异,促使我们采用一种更 "松散" 的模型架构。AnyGraph 的 MoE 架构使用完全不同的专家模型来处理差异极大的图数据,模型无需在高度耦合的单个神经网络中巧妙地容纳不同数据的建模和处理过程。
具体来说,AnyGraph 的 MoE 架构包含多个图数据专家模型,每个专家模型均能对所有输入的图数据进行处理和预测,但所擅长的领域和模式不同。例如,有的专家模型擅长处理文本 embedding 特征,有的擅长处理图的邻接矩阵特征;有的专家模型擅长处理稠密数据,而有的擅长处理稀疏数据。
为了向每个专家模型分配适合的任务,AnyGraph 设计了一种专家路由机制,在训练和测试过程中,基于专家模型对数据的擅长程度进行匹配。
基于这一 MoE 架构,AnyGraph 对图数据的知识存储在不同的专家模型中,而不同的专家模型不需要进行相互的协调和耦合,从而更容易地容纳图数据之间的巨大差异,解决跨领域情况下的结构和特征异构性问题。
此外,MoE 架构使得 AnyGraph 仅需使用几分之一的模型参数,就可以完成单个大模型具备的训练和预测效果,大大提升了模型的快速适应能力。
下图展示的消融实验中,我们验证了采用单个模型(-MoE)相对于使用 MoE 架构的劣势。

轻量化的图专家路由机制
专家模型路由负责为输入的数据集匹配适合的专家,以进行更准确的预测、以及更适当的专家训练。
受到图自监督学习的启发,我们的图专家路由采用一种自监督损失,来衡量不同专家模型完成不同数据集的能力,以进行匹配。
在不引入额外标签数据的情况下,我们的自监督任务损失可以准确衡量专家模型处理不同图数据的误差程度。在模型调试过程中,我们发现这一自监督路由算法与遍历所有分配情况所得到的最优分配方案相差无几。
下图展示了我们的路由机制对数据集的分配情况,可以看到,相关的数据集总是被分到同样的专家模型中,例如 arxiv-ta, Photo, GReads, Fitness 等使用同样特征空间的数据集,以及 ML1M 和 ML10M 这两个同源数据集。此外,路由算法的准确性,不仅可以在训练数据集上观察到,在下图右半部分中,模型从未见过的测试数据集也可以进行准确路由。这体现了 AnyGraph 路由机制的通用性和模型的泛化性能。

自适应且高效的图专家
结构和特征的异构性,在模型设计的底层带来了诸多挑战,例如模型如何处理不同维度的特征向量、如何处理二维可变长的邻接矩阵、图专家如何设计可以高效处理不同图类型的变换和预测。
我们的图专家模型采用奇异值分解 SVD 方法对邻接矩阵和节点特征矩阵进行了维度统一。同时,这种统一的特征处理过程,具有一定的语义统一性,为跨数据集的零样本预测打下了基础。
由于我们在高层采用了 MoE 架构集成多个预测模型,我们在单个图专家中采用了简单的 MLP 网络,希望所有的建模问题都能通过采用合适的特征变换来解决。这样做大大增强了模型的效率,使 AnyGraph 甚至在训练效率上超过传统的图网络模型。
下图实验对比了 AnyGraph,以及普通的 GCN 方法、预训练方法 GraphCL 三种方法,在不同数据集下测试它们训练 100 个 step 所花费的时间。可以看到,尽管 AnyGraph 采用了更多的参数、更大的模型,但由于单个专家模型的高效性,训练时间与简单的基线方法相近、甚至更少。

此外,文章进一步探究了不同模型在应对新数据时的快速适应能力。下图实验对比了三种方法随着训练步数的增加,在训练数据集上性能的提升曲线。实验对比的方法包括对一个随机初始化的 GCN 模型进行从头训练、对一个预训练的 GraphCL 模型进行微调、以及对预训练的 AnyGraph 进行微调。
首先,可以观察到 AnyGraph 在未经微调时的零样本预测效果远优于两种基线方法。这源于 AnyGraph 出色的跨领域和零样本泛化能力。其次,AnyGraph 的效果曲线更快到达收敛状态,这体现了使用 MoE 架构、选择合适且高效的专家模型进行微调,可以更快地进行模型适应。此外,可以观察到 GraphCL 的预训练在 PPA 数据集上不仅没有为它带来性能的优势,反而对学习新数据造成了负面影响。这体现了图模型进行跨领域迁移的困难,这源于不同领域图数据巨大的异构性。

广泛训练和测试
数据集
AnyGraph 采用了共 38 个数据集进行训练和测试,数据集涵盖了电商、学术网络、生物信息网络、交通网络、网页关联网络、社交网络等多个类别。共包括 14,437,372 个节点和 199,265,688 条边。不同数据集采用的节点特征方法不同,囊括了无节点特征、不同的文本 embedding 方法、词袋特征、类别特征等不同的方法。具体数据集统计信息如下所示

为了更好地观测模型在大规模测试中的性能,我们将测试数据集分为了多个不同的集合。不同集合之间不包含同源数据集,例如收集自同一个网络服务平台;不同集合的数据集之间也不共享特征构建方法,例如同一种文本 embedding 方法,只可能出现在 Link1 和 Link2 两个集合的其中之一。通过这种方式,模型在零样本测试时完全未接触过测试数据的数据源和特征方法,能测试模型更真实的零样本性能表现。

文章提供了两个版本的预训练模型,分别在 Link1 和 Link2 两个集合上训练得到。在零样本测试中,这两个模型只会被用于测试它们未见过的数据集。例如使用在 Link1 上训练的模型测试 Link2 上的表现。在测试 Ecommerce、Academic、Others 这些包括了 Link1 和 Link2 两类数据集的情况时,文章分别采用两个预训练模型,对未见过的数据集进行测试,再整合计算数据集合的整体预测性能。
AnyGraph 的零样本预测性能
AnyGraph 在零样本预测上的效果如下所示:

除了与现有图模型的少样本预测能力进行对比,文章还对比了现有的其他图基础模型,一个是基于文本特征的 GraphGPT,一个是基于结构特征的 OpenGraph。可以看到,在更多数据集的泛化性能测试上,AnyGraph 取得了更好的效果。并且,文章还对比了一个除了文本特征的消融版本 AnyGraph-F,从而验证了 AnyGraph 对结构和文本两种特征均能进行有效的利用。

AnyGraph 的扩展定律
为了探索 AnyGraph 的性能增长是否符合扩展定律(Scaling Law),文章调整了 AnyGraph 的模型参数量和训练数据量。前者通过调整模型的表征维度、网络层数、专家数量,而后者通过从小到大增加训练数据集的数量。
测试效果如下所示,该实验分为对跨领域数据集的测试,以及对单个领域跨数据集的测试。在每个子图的实验中,包含了以下三项:
- 左:在模型参数量影响下,对未见过数据集的零样本预测性能变化
- 中:在模型参数量影响下,对训练过数据集的全样本预测性能变化
- 右:在训练数据量影响下,对未见过数据集的零样本预测性能变化
从结果可以得出以下几点结论:
- AnyGraph 的零样本能力遵循 Scaling Law:虽然模型的全样本预测能力出现了增长的饱和,但其零样本能力随着参数量和数据量的增长不断上升,这说明 AnyGraph 模型的零样本能力遵循 Scaling Law,这一观测结果有两个重要原因,首先是测试的任务需要具备一定的难度,全样本预测只需要模型在训练数据集上具备泛化能力,相对较为简单,因此容易出现性能增长的饱和;而跨数据集、跨领域的零样本预测挑战性高,仍有很大的增长空间。其次,AnyGraph 的 MoE 架构使得它更容易容纳不同数据集的多样化图数据模式,从而具备更大的潜力随着参数量和数据量的增大而提升。
- AnyGraph 的涌现能力:在测试曲线中常常可以观测到,模型性能常常在经历了一定的增长停滞后,出现突变式提升。这符合在视觉和文本大模型中观测到的涌现能力特点,说明 AnyGraph 具备了产生变革式泛化能力的基础。
- 不足的训练数据引入 bias:在数据量增长实验中可以观察到一个典型的特征,在早起的数据量增长中,模型性能经历了一个断崖式的下跌,这是由于训练数据不足,而新引入的训练数据与测试数据集存在较大的偏离,导致模型训练存在较大的 bias。这一问题可以通过扩大训练数据量解决,这样做不仅增强了模型性能,也可以增强训练的鲁棒性。

总结
AnyGraph 框架是一个高效且有效的图基础模型,专为应对不同图数据集中结构和特征异质性的多方面挑战而设计。AnyGraph 采用创新性的专家混合(MoE)架构,并结合动态专家路由机制,使其在跨域泛化能力方面达到了最先进的水平。在 38 个不同的图数据集上进行的广泛实验不仅突显了 AnyGraph 在零样本学习性能上的卓越表现,还证明了其对分布偏移的鲁棒性以及其遵循规模定律的能力,从而随着模型大小和数据量的增加而提高了预测精度。该模型在训练和推理效率上的表现,通过与现有方法的比较得到了验证,进一步巩固了其实际应用性。
....
#OpenAI总裁出走3月终于归来
Greg结束「最长假期」专注重大技术挑战,每周狂肝100小时代码
那个每周狂肝100小时代码的总裁,他回来了!一波高管离职潮后,Greg Brockman宣布:结束「人生中最长的假期」,回到OpenAI继续工作,他会谋划一个新职位,专注技术。而另一边,前CTO Mira Murati的团队也已初具规模了。
最近连遭波折的OpenAI,终于迎来一个振奋的好消息。
从8月宣布休假的Greg Brockman,今日归来了!
这位OpenAI联创兼总裁,终于结束了自己「人生中最长的假期」。
这期间,高层经历了一系列巨震,CTO Mira Murati、联创John Schulman、安全研究副总裁Lilian Weng接连出走。
OpenAI高管离职潮之际,Brockman作为关键人物重返C级管理层。
他的回归,总算稍微稳定了军心。
OpenAI研究员Keyan Zhang暗示,有好事发生了
创立OpenAI九年,第一次真正的放松
在8月份,Brockman就宣布自己将休假至年底。
创立OpenAI九年来,这是他第一次能真正地放松一下。
8月,Greg曾表示自己的假期开始得很艰难,因为害怕错过公司的精彩瞬间
网友们的反应是:不可思议。
在公司内部,他常被人以GDB相称。
他是公司的核心人物,是一年前奥特曼被罢免CEO期间的重要盟友。
当时奥特曼被出局后,Brockman坚定地站在他这一边,曾辞职抗议,随后在奥特曼重返公司时也一同回归。
据内部人士透露,Brockman是在周二一份内部备忘录中宣布这一消息的。
他在备忘录中表示,自己一直在和奥特曼合作,会为自己规划一个新职位,专注于解决重大的技术挑战。
如今OpenAI的联创中,只有三位选择继续留在这里。
Greg Brockman重返OpenAI:路在何方?
多位高层领导,以及研究员的离职;OpenAI估值也从今年2月860亿美金飙升至1570亿美元;Altman进一步巩固了权力地位。
在Brockman还未回到OpenAI之前,The Information曾撰长文暗示,他面临着一个全新考验:能否与奥特曼建立良好合作关系。
这个结果并不确定。
在Brockman休假期间,Altman实际上接管了OpenAI的技术团队,并称自己希望更贴近AI开发工作。
这种局面对Brockman来说可能会很尴尬,尽管他是OpenAI二号人物,但他是公司最精通技术的专家之一,而且仍在积极参与产品代码编写。
Brockman的技术专长和工作态度在OpenAI是广受认可的。
他参与了公司许多最成功产品的开发,如GPT-4、Strawberry推理模型。就连董事会成员和前同事们都形容他是「OpenAI最勤奋的人」,是一个能将研究突破转化为实际产品的人才。
他还是公司一些最重要客户的主要联系人,比如在线教育非营利组织可汗学院。
与此同时,一些OpenAI研究人员对与他共事有所抱怨。
与其共事的员工吐槽,Brockman编写了大量代码,但往往缺乏文档说明且难以理解,有时与OpenAI其他部分的工作不协调。
这给需要将他的工作与公司代码集成的工程师们带来了困难。
另一个内部员工表示,他习惯在不咨询他人的情况下对项目进行修改,如果认为自己的方法更好,就会重复他人的工作。
比较有趣的是,Murati常常承担着「和事佬」这份苦差。
她过去经常需要出面调解,Brockman与感到不满的研究人员和工程师之间的矛盾。
对于这点,Brockman也有自知之明:「我的工作方式可能会让人感到『压力山大』」。
这也就是Brockman为何去休假的原因。今年早些时候,Brockman和其他OpenAI高管达成共识,认为让他暂时休假是明智之举,以缓解紧张局势。
除此之外,鉴于去年年底OpenAI宫斗以及其它人事动荡,内部员工们一直在热议Altman和Brockman能否有效合作。
对于硅谷来说,新公司爆火时内部出现动荡并非罕见。谷歌和优步在初期高速增长阶段,都历经了近乎持续不停的内部争斗以及人员流动。
然而,OpenAI的激烈程度,还是让一些早已「见过大世面」的业内人士感到十分震惊。
设计软件公司Autodesk前CEO、曾担任谷歌联合创始人顾问的Carl Bass表示,在私人资本自由流动的时期,看到一些员工从快速发展的创业公司出走创办自己的企业是很正常的。不过,OpenAI的人员流动情况格外突出。
接着,他解释道:「当那些在OpenAI拥有理想职位、丰厚回报和工作声望的高层领导纷纷选择离职时,说明公司内部还存在其他问题。」
毕竟,相比起其他的科技巨头,OpenAI面临的风险更高------它在短短几年内从一个小型非营利组织,发展成为全球估值最高的创业公司之一,发展速度远超大多数公司。
与此同时,它还不得不面临着来自谷歌和Meta等资金充足的对手的竞争和挖角。
连接客户的桥梁
Brockman并非典型的科技公司总裁,换句话说,管理不是他的特长。
大学辍学后,他成为了Stripe的首席技术官,并且在OpenAI并不直接管理任何人。
Brockman在公司的大部分时间都在编程,在各个项目之间穿梭。据客户反映,他工作中鲜为人知的一部分是与客户沟通,而以他的资历来说,他花在这方面的时间格外多。
可汗学院创始人兼CEO Sal Khan说道,如果我现在给他发Slack消息,他可能10分钟内就会回复。作为OpenAI的长期客户,可汗学院一直协助公司测试新模型的质量。
「当你在想OpenAI是否有意隐瞒什么的时候,能和Greg交谈真的很有帮助,他非常真诚」。
据另一位客户透露,过去Brockman经常会突然加入客户会议,随性地讨论他最兴奋的未来AI用途和技术进步。
2022年的一个会议中,一位客户误以为Brockman是OpenAI的普通工程师,问他在这家创业公司工作多久了。
Brockman笑着回答,「我是联合创始人」。
深入技术细节
曾与他共事的人透露,Brockman亲自参与技术工作的做法,对于他这个级别的高管来说很不寻常,这在过去曾让他的同事产生不满。
另一位前员工表示,没有人否认Brockman的编程能力使他能快速开发产品原型。
这位前员工说,例如,他编写了大部分用于训练OpenAI的GPT-4模型的代码,以及通过强化学习让模型按照人类期望方式行事的代码。
然而,Brockman创建的软件难以使用,而且没有相关说明文档。这导致其他研究人员不得不花费数周时间,来清理代码并试图创建更易用的替代方案。
这种工作方式,可能会让Brockman与Murati等其他技术领导者产生矛盾。
据报道,Murati和她管理的团队有时会对如何将研究成果转化为产品有自己的规划------这些规划与Brockman的想法相冲突。
Brockman也自称是一个工作狂,他表示每周工作时间在60-100小时之间。
他的个人生活和职业生活也以独特的方式融合在一起。
2019年,Brockman与女友Anna在OpenAI的办公室举行了婚礼,由联合创始人兼前首席科学家Ilya Sutskever主持。
据一位熟悉他们工作关系的人士透露,此后,虽然并非公司员工,Anna Brockman却成为了OpenAI旧金山办公室的常客,参加会议并担任丈夫的首席助理。
一些OpenAI员工表示,他们认为Anna Brockman在公司的参与程度不太恰当。
权力格局变化
过去,Sam Altman和Greg Brockman一直扮演互补角色。
Altman倾向于避免做出困难决定------比如当领导要求增加人手或资源时,给出明确答复。
而Brockman则相对直接,不惧冲突,也不怕说「不」。
现在Murati离职后,Altman接管了技术方面的工作,Brockman重返组织后这种动态关系将如何变化还有待观察。
最近一系列高管离职留下了其他权力空缺,以及谁来填补这些空缺的问题。
比如,据一位曾与Murati共事的人士透露,她此前负责管理OpenAI与其最大投资者微软之间的技术关系,以及微软如何在其产品中使用OpenAI的对话AI。
即使在OpenAI内部,高级员工也不清楚现在由谁来管理这种关系。
这位人士表示,可能的人选包括首席产品官Kevin Weil和首席运营官Brad Lightcap。
Lightcap此前监管OpenAI的财务和销售团队,现在分别由首席财务官Sarah Friar和首席商务官Giancarlo Lionetti领导。
而且,Lightcap最近更多地参与到公司的研究和产品组织中,对产品发布时间表或公司应该追求哪些研究方向发表意见。
OpenAI组织结构的不明确性,在过去一直是其内部矛盾的一个因素。
2021年底,Sutskever开始探索如何通过更好的推理能力,来提高模型性能,并组建了一个10-15人的团队来解决这个问题。
几个月后,另一位熟悉该项目的人说,研究员Jakub Pachocki(现首席科学家)开始研究类似的问题,尽管他采取了不同的技术方法。
随着时间的推移,Sutskever和Pachocki两人的研究变得不那么明确,开始有所重叠。
当Altman未能明确他们的职责时,Sutskever决定启动一个新团队,旨在降低失控的先进AI的风险(即超对齐,superalignment),并将时间花在这个计划上。
紧接着,他参与了Altman罢免运动。
今年早些时候,Ilya Sutskever离职创办SSI,Pachocki接任了他的首席科学家职位。
到目前为止,这些人事问题似乎并没有阻碍OpenAI的财务表现:尽管公司亏损严重,但预计今年收入将达到近40亿美元,使其在聊天机器人领域处于领先地位。
然而,领导层的变动可能已经对OpenAI的融资努力产生了影响。
据两位参加了与Friar会面的人士透露,在Murati宣布离开公司后不久,苹果退出了融资谈判。
在一次会议上,Friar表示苹果没有给出明确的退出原因,但她认为这是由于Murati的离职,尽管参加会议的人说,在整个过程中,苹果一直对投资持观望态度。
前CTO的新团队已初具规模
今年8月,OpenAI前CTO Mira Murati官宣离职。
一个月前,Murati被曝出正在游说现任员工加入她的创业项目。
现在看来,至少有一位OpenAI研究员接受了她的橄榄枝。
据知情人士透露,负责AI模型发布准备工作的OpenAI研究项目经理Mianna Chen已经离职,并计划加入Murati的新公司。
Chen负责了OpenAI多个模型和产品的发布,包括GPT-4o、o1推理模型和高级语音模式。
她所在后训练优化团队,专注于在特定任务中对AI模型进行优化,并就输出质量提供反馈。
对于OpenAI来说,这显然不是一个好消息。尤其是预训练带来的收益似乎正在放缓的当下,留住后训练优化领域的人才愈发重要。
别忘了,Murati之前挖走的正是前OpenAI后训练优化负责人Barret Zoph和前高级研究员Luke Metz。
目前还不清楚Murati的新创业公司将专注于什么领域,以及是否会开发基础模型或在现有模型基础上构建产品。
即便如此,考虑到这四位研究人员的背景,一些风投机构很可能已经跃跃欲试了。
随着Brockman的回归所带来的不确定性,或许在未来几周或几个月内,还会有更多员工离职加入他们。
参考资料:
https://www.theinformation.com/articles/ex-openai-cto-muratis-new-team-takes-shape?rc=epv9gi
https://www.theinformation.com/articles/can-greg-brockman-find-a-future-back-at-openai?rc=epv9gi
https://x.com/gdb/status/1856441156281753908
....
#谷歌2024博士奖学金公布
KAN作者刘子鸣等数十位年轻华人学者入选
今年共有 85 人获奖,分为 13 个方向。
2024 年谷歌博士奖学金(Google PhD Fellowship)获奖名单公布了。该奖项旨在奖励在计算机科学等前瞻科研领域表现优异的年轻学者,奖学金用于直接支持攻读博士学位,并提供与谷歌研究导师合作的机会。
根据 2024 年谷歌博士生奖学金项目名单显示,今年共有 85 人获奖,分为 13 个方向:算法与理论 8 人、分布式系统与并行计算 1 人、健康与生物科学 11 人、人机交互与可视化 7 人、机器智能 22 人、机器感知 6 人、自然语言处理 12 人、网络 2 人、量子计算 3 人、安全隐私和防止滥用 6 人、硅芯片研究 1 人、软件系统 1 人、语音处理 5 人。
以下为部分入选华人博士生介绍:
算法与理论
Sun Yan,新加坡国立大学
Sun Yan 是新加坡国立大学 (NUS) 计算机学院信息系统专业博士生,导师是 Stanley Kok 教授。Sun Yan 本科毕业于香港中文大学(深圳)。
Sun Yan 的研究兴趣是机器学习中的算法及其应用,还研究过计算机图形学,例如图内核、异常检测。
个人主页:https://mathildasunyan.wixsite.com/academic-hub
吕欣,加州大学伯克利分校
吕欣是加州大学伯克利分校博士生,导师是 Avishay Tal 和 Jelani Nelson。吕欣本科毕业于清华大学交叉信息科学研究所(姚班)。
吕欣的研究兴趣主要在于理论计算机科学,涉及伪随机性、计算复杂度和差分隐私方面的问题。
个人主页:https://people.eecs.berkeley.edu/\~xinlyu/
健康与生物科学
Chang Kao Jung,阳明交通大学
Chang Kao Jung 为阳明交通大学医学博士,主要研究方向为大数据、AI、基因遗传学等领域。
Hanjia Lyu,罗彻斯特大学
Hanjia Lyu 是罗彻斯特大学计算机科学系四年级博士生,指导老师是罗杰波教授。此前,他在罗彻斯特大学获得了数据科学硕士学位,在复旦大学获得了学士学位,主要研究方向包括健康信息学,行为科学等领域。
个人主页:https://brucelyu17.github.io/
Jason Yang,加州理工学院
Jason Yang 为加州理工学院博士生,指导老师是 Frances Arnold 教授和 Yisong Yue 教授,他本科毕业于耶鲁大学。主要研究方向为蛋白质工程、机器学习等领域。
谷歌学术:https://scholar.google.com/citations?user=SsDR5GkAAAAJ\&hl=en
Kara Liu,斯坦福大学
Kara Liu 目前是斯坦福大学计算机科学博士生,指导老师是 Russ Altman 教授。她的研究重点是开发和应用机器学习方法,以实现公平有效的医疗保健。
在此之前,Kara Liu 在加州大学伯克利分校获得计算机科学学士学位,还曾在 Pieter Abbeel 和 Aviv Tamar 的指导下从事长视界视觉规划和表征学习的研究。
个人主页:https://karamarieliu.github.io/
Lingtong (Tony) Xu,多伦多大学
Lingtong (Tony) Xu 博士毕业于加拿大多伦多大学,本科毕业于不列颠哥伦比亚大学。
领英主页:https://www.linkedin.com/in/tony-lt-xu/?originalSubdomain=ca
人机交互与可视化
Erzhen Hu,弗吉尼亚大学
Erzhen Hu 为弗吉尼亚大学计算机科学博士生,导师是 Seongkook Heo 教授。在此之前,她获得了弗吉尼亚大学统计学硕士学位和上海大学学士学位。Erzhen Hu 的研究包括通过多模态智能体增强人机交互、利用 LLM 以及将先进的 2D 和 3D 计算机视觉方法应用于多用户场景、 XR 应用,探索人机通信范式。
个人主页:https://erzhenh.com/
机器智能
曹宇舟,南洋理工大学
曹宇舟是新加坡南洋理工大学计算与数据科学学院博士生,研究方向为统计学习及其在可信机器学习中的应用,导师是安波教授。曹宇舟本科毕业于中国农业大学。
个人主页:https://yzcao-nkg.github.io/
Cheng-Yu Hsieh,华盛顿大学
Cheng-Yu Hsieh 是华盛顿大学计算机科学与工程专业的博士生,之前,他在台湾大学获得学士和硕士学位。Cheng-Yu Hsieh 的研究目标是借助数据和模型扩展在当今的大规模环境中更加高效和有效,实现人工智能开发的民主化。
个人主页:https://chengyuhsieh.github.io/
Eric Zhao,加州大学伯克利分校
Eric Zhao 是加州大学伯克利分校计算机科学博士生,导师是 Nika Haghtalab 和 Michael I. Jordan。
Eric Zhao 的研究兴趣在于多目标机器学习的算法和数学基础。
Haodong Lu,新南威尔士大学
Haodong Lu 是新南威尔士大学博士生,导师是 Dong Gong 和 Lina Yao。
Haodong Lu 的研究兴趣集中在理解和适应数据分布变化,特别关注分布外 (OOD) 检测和持续学习,致力于开发强大的计算机视觉和多模态模型,能够随着时间的推移有效地检测和适应新的数据分布。
Kaiwen Wang,康奈尔大学
Kaiwen Wang 目前是康奈尔大学的博士生,在进入研究生院之前,Kaiwen 在 Meta AI 工作,负责构建推荐算法模型和 ReAgent 平台。他的研究领域包括强化学习、因果关系和大型语言模型。
黄凯旋,普林斯顿大学
黄凯旋是普林斯顿大学电气与计算机工程系博士生,导师是王梦迪教授。黄凯旋本科毕业于北京大学。
黄凯旋的研究兴趣是用于基础模型的强化学习(例如,用于扩散模型 / 语言模型的 RLHF)和用于强化学习的基础模型(LLM/VLM 智能体)。
个人主页:https://hackyhuang.github.io/
Peizhen Li,麦考瑞大学
Peizhen Li 是麦考瑞大学计算学院的博士生,本硕就读于中山大学。她的研究兴趣集中在xx智能、机器人技术、机器学习。
Siyao Li,新加坡南洋理工大学
Siyao Li 是新加坡南洋理工大学 MMLab 的博士生,他的导师是 Chen Change Loy 教授。在此之前,他曾在商汤科技研究院担任全职研究员,与 Quan Wang、Wenxiu Sun 和 Chao Dong 紧密合作。他的研究兴趣集中在 3D 生成、AIGC 相关。
何晓昕,新加坡国立大学
何晓昕是新加坡国立大学计算机学院的博士生,指导老师为 Bryan Hooi 和 Xavier Bresson。在此之前,她在复旦大学获得了本科学位。她的研究兴趣为将深度学习技术应用于图结构数据。
刘子鸣,麻省理工学院
相信大家还记得引起巨大关注与争议的 KAN,刘子鸣就是 KAN 的一作。目前,他在麻省理工学院和 IAIFI 攻读博士学位。他的研究兴趣在于 AI for Physics,还成立了 AI4Science 研讨会。
机器感知
张健荣(Jianrong Zhang),悉尼科技大学
Jianrong Zhang 为悉尼科技大学博士生,导师是 杨易(Yi Yang) 教授,他本科、硕士毕业于吉林大学。他的主要研究方向为计算机视觉和人体运动生成。
Sheng-Yu Wang,CMU
Sheng-Yu Wang 为 CMU 博士生,导师是 CMU 助理教授朱俊彦,Sheng-Yu Wang 主要研究方向为计算机视觉、深度学习等。Sheng-Yu Wang 参与的多篇论文被 ICCV、CVPR 接收。
个人主页:https://peterwang512.github.io/
吴胜琼,新加坡国立大学
吴胜琼目前是新加坡国立大学计算学院 NExT++ 研究中心的博二学生,由 Tat-Seng Chua 教授指导,她在武汉大学获得了硕士和学士学位。
吴胜琼的研究兴趣主要集中在基于场景图的视觉 - 语言理解领域、多模态大型语言模型以及扩散模型。她是去年引发 AI 社区关注的「大一统」通用多模态大模型 ------NExT-GPT 的一作。
自然语言处理
David Wan,北卡罗来纳大学教堂山分校
David Wan 是北卡罗来纳大学教堂山分校的四年级博士生,指导老师是 Mohit Bansal。在此之前,他毕业于哥伦比亚大学,获得学士和硕士学位,指导老师是 Kathleen McKeown。他的研究兴趣是自然语言处理。
马欣尹,新加坡国立大学
马欣尹为新加坡国立大学的博士,由王鑫超教授指导。本硕就读于浙江大学。她是最流行的结构化剪枝方法 LLM-Pruner 的一作。
她目前的研究重点在于高效训练模型领域,已在 NeurIPS、CVPR、EMNLP、IJCAI 等顶级会议上发表了数篇论文。
Minzhi Li,新加坡国立大学
Minzhi Li 是新加坡国立大学的博士生,指导老师为 Prof. Min-Yen Kan、Dr. Nancy F Chen 和 Prof. Shafiq Joty,同时也和杨笛一紧密合作。
她正在探索如何评估计算机在自然语言处理方面是否具备一定的社会智能。目前,她创建了相关分类体系、数据集以及更高效的数据处理方法。
陈山,马斯特里赫特大学
陈山是哈佛 - MGB AIM 的博士生,与马斯特里赫特大学联合培养。他的目标是为医疗保健开发更可解释的人工智能系统,期望能建立起更稳健的评估方法,促进医生和患者沟通,为高风险医疗任务提供保障。
安全、隐私与预防滥用
Zihan Wang,昆士兰大学
Zihan Wang 为昆士兰大学的博士生,师从教授 Guangdong Bai 和 Jason Xue。目前他的研究兴趣是用形式化方法解决机器学习系统在现实世界中的安全和隐私问题。
硅芯片研究
Yun-Chen Lo,台湾清华大学
Yun-Chen Lo 目前是台湾清华大学的电子工程博士,在哈佛大学访学。他的研究重点在于为 AI 应用设计高效的 VLSI 架构和系统,有多篇论文被 MICRO、DAC、ICLR、ICCAD、ESSCIRC 和 TC 等顶会和期刊接收。
个人主页:https://yunchenlo.github.io/
语音处理
杨书文,台湾大学
杨书文是台湾大学的博士,是语音处理与机器学习(SPML)小组的核心成员。同时,他也是目前被广泛使用的语音模型基础测试集 SUPERB 的一作。
在业余时间,他喜欢弹钢琴。他致力于开发一个能够全面理解语音,像真人一样,可以与自然语言、视觉等模态融会贯通的感知系统。他的主攻方向是表征学习,最近的研究集中在自监督学习、表征泛化能力和高效的预训练等领域。
个人网站:https://leo19941227.github.io/
参考链接:
https://research.google/programs-and-events/phd-fellowship/recipients/?filtertab=2024
....
#PaperBench
OpenAI的AI复现论文新基准,Claude拿了第一名
大模型能写出 ICML Spotlight 论文吗?
近年来,AI 正从科研辅助工具蜕变为创新引擎:从 DeepMind 破解蛋白质折叠难题的 AlphaFold,到 GPT 系列模型展现文献综述与数学推理能力,人工智能正逐步突破人类认知边界。
今年 3 月 12 日,Sakana AI 宣布他们推出的 AI Scientist-v2 通过了 ICLR 会议一个研讨会的同行评审过程。这是 AI 科学家写出的首篇通过同行评审的科研论文!

这一里程碑事件标志着 AI 在科研领域的突破,同时人们也在进一步探索 AI 智能体的自主研究能力。
4 月 3 日,OpenAI 推出了 PaperBench(论文基准测试),这是一个用于评估 AI 智能体自主复现前沿人工智能研究能力的基准测试系统。如果大模型智能体具备了自动写 AI / 机器学习研究论文的能力,既可能加速机器学习领域的发展,同时也需要审慎评估以确保 AI 能力的安全发展。
PaperBench 在多个重要的 AI 安全框架中发挥评估作用:
- 作为 OpenAI 准备框架(OpenAI Preparedness Framework)中评估模型自主性的标准
- 用于 Anthropic 负责任扩展政策(Responsible Scaling Policy)中的自主能力评估
- 应用于谷歌 DeepMind 前沿安全框架(Frontier Safety Framework)中的机器学习研发评估
- 论文标题:PaperBench: Evaluating AI's Ability to Replicate AI Research
- 论文链接:https://cdn.openai.com/papers/22265bac-3191-44e5-b057-7aaacd8e90cd/paperbench.pdf
- 代码地址:https://github.com/openai/preparedness/tree/main/project/paperbench
研究团队构建了一个测试环境,用于评估具有自主编程能力的 AI 智能体。在该基准测试中,研究团队要求智能体复现机器学习研究论文中的实验结果。完整的复现流程包括论文理解、代码库开发以及实验执行与调试。这类复现任务具有较高难度,即便对人类专家而言也需要数天时间完成。
测试基准选取了机器学习顶会 ICML 2024 的 20 篇入选论文,还都是 Spotlight 和 Oral 的。这些论文覆盖了 12 个不同的研究主题,包括 deep reinforcement learning、robustness 和 probabilistic methods 等。每篇论文都配备了详细的评分标准,共计 8316 个可独立评估的复现成果。为确保评估质量,PaperBench 中的评分标准均与原论文作者协作制定,并采用层级结构设计,使复现进度可以在更细粒度上进行衡量。
鉴于机器学习论文的复杂性,人类专家评估单次复现尝试往往需要数十小时。为提高评估效率,研究团队开发了基于 LLM 的自动评判系统,并设计了 JudgeEval 辅助评估框架,用于将自动评判结果与人类专家评判的金标数据集进行对比。其中,使用定制框架的 o3-mini-high 评判器表现最佳,在辅助评估中获得 0.83 的 F1 分数,证明其可作为人类评判的可靠替代方案。

研究表明,智能体在复现机器学习研究论文方面展现出了不容忽视的能力。Claude 3.5 Sonnet (最新版)在配备基础代理框架的情况下,于 PaperBench 基准测试中获得了 21.0% 的得分。
研究团队选取了 3 篇论文组成的测试子集进行深入评估,以机器学习博士的表现作为人类基准(采用 3 次测试中的最优成绩)。在 48 小时的测试时间内,人类基准达到了 41.4% 的得分,而 GPT-4(o1)在相同子集上获得了 26.6% 的得分。此外,研究团队还开发了一个轻量级评估版本 ------PaperBench Code-Dev,在该版本中,GPT-4 的表现提升至 43.4% 的得分。
PaperBench
任务
对于 PaperBench 中的每个样本,受评估的智能体会收到论文及其补充说明。
在这里,智能体需要提交一个代码仓库,其中包含复现论文实验结果所需的全部代码。该仓库根目录必须包含一个 reproduce.sh 文件,作为执行所有必要代码以复现论文结果的入口点。
如果 reproduce.sh 能够复现论文中报告的实验结果,则视为成功复现该论文。
该数据集包含了用于定义每篇论文成功复现所需具体结果的评分标准。为防止过度拟合,智能体在尝试过程中不会看到评分标准,而是需要从论文中推断出需要复现的内容。
重要的是,该评估禁止智能体使用或查看论文作者的原始代码库(如果有的话)。这确保了评估的是智能体从零开始编码和执行复杂实验的能力,而不是使用现有研究代码的能力。

规则
PaperBench 的设计对智能体框架保持中立,因此对其运行环境没有特定要求。不过为确保公平比较,该基准测试制定了以下规则:
- 智能体可以浏览互联网,但不得使用团队为每篇论文提供的黑名单中列出的网站资源。每篇论文的黑名单包括作者自己的代码仓库以及任何其他在线复现实现。
- 智能体可使用的资源,如运行时间和计算资源,不受任何限制。但建议研究人员在结果中报告其具体设置。
- 开发者应为智能体提供必要的在线服务 API 密钥(例如用于下载数据集的 HuggingFace 凭证)。获取在线账号访问权限不属于 PaperBench 意在评估的技能范畴。
评分标准
为每篇论文制定评分标准是开发 PaperBench 最耗时的部分。每份评分标准都是 OpenAI 与每篇论文的一位原作者合作编写的,从阅读论文、初步创建、评分标准审查、迭代到最终签收,每篇论文需要数周时间。
每个评分标准都以树的形式构建,该树按层次分解了复现给定论文所需的主要结果。例如,根节点以预期的最高级别结果开始,例如「论文的核心贡献已被复现」。第一级分解可能会为每个核心贡献引入一个节点。每个节点的子节点都会更详细地介绍具体结果,例如「已使用 B.1 节中的超参数在数据集上对 gpt2-xl 进行了微调」。
重要的是,满足节点的所有子节点表示父节点也已得到满足,因此对树的所有叶节点进行评分就足以全面评估整体成功率。
叶节点具有精确而细致的要求。拥有许多细致的要求使我们能够对部分尝试进行评分,并使评委更容易对单个节点进行评分。作者不断分解节点,直到它们所代表的要求足够精细,以至于估计专家可以在不到 15 分钟的时间内审查一份提交是否满足要求(假设熟悉该论文)。在 PaperBench 的 20 篇论文中共有 8316 个叶节点。表 2 显示了每个评分标准中的节点总数。

所有评分标准节点也都有权重,每个节点的权重表示该贡献相对于其兄弟节点的重要性,而不一定是节点的实施难度。加权节点奖励在复现时优先考虑论文中更重要的部分。
用大模型判断
在初步实验中,OpenAI 发现使用专家进行手动评分每篇论文需要花费数十小时,因此对于 PaperBench 的实际应用而言,采用自动化方式进行评估是必要的。
为了对 PaperBench 提交的内容进行规模评估,作者开发了一个简单的基于 LLM 的评判器 SimpleJudge,然后创建了辅助评估 JudgeEval 以评估评判器的表现。
AI 的评委实现被称为「SimpleJudge」,给定一份提交内容,PaperBench 的 AI 评委将独立地对评分标准中的每个叶节点进行评分。对于特定的叶节点,评委将收到论文的 Markdown、完整的评分标准 JSON、叶节点的要求和提交内容。
PaperBench 使用 OpenAI 的 o3-mini 作为评委的后端模型,预估对单个提交内容进行评分的成本约为 66 美元(OpenAI API 积分)。对于 PaperBench Code-Dev,成本可以降至每篇论文约 10 美元。

测试结果
OpenAI 基于全部 20 篇论文评估了 GPT-4o、o1、o3-mini、DeepSeek-R1、Claude 3.5 Sonnet(新版本)和 Gemini 2.0 Flash 几种大模型,每篇论文评估了 3 次。
表 4 列出了每个模型的平均复现分数。可见 Claude 3.5 Sonnet 的表现不错,得分为 21.0%。OpenAI o1 表现较差,得分为 13.2%,其他模型则表现不佳,得分低于 10%。

检查智能体工作日志可以发现,除 Claude 3.5 Sonnet 外,其他所有模型经常会提前结束,声称自己要么已经完成了整个仿写,要么遇到了无法解决的问题。所有智能体都未能制定在有限时间内复现论文的最优策略。可以观察到 o3-mini 经常在工具使用方面遇到困难。
这些情况表明当前模型在执行长期任务方面存在弱点;尽管大模型在制定和编写多步骤计划方面表现出足够的能力,但实际上未能采取一系列行动来执行该计划。


OpenAI 相信,PaperBench 基准将会推动未来大模型能力继续上升。
参考内容:
https://openai.com/index/paperbench/
....
#FINE-TUNING WITH RESERVED MAJORITY FOR NOISE REDUCTION
参数高效微调新范式!上海交大联合上海AI Lab推出参数冗余微调算法
本文作者来自复旦大学、上海交通大学和上海人工智能实验室。一作江书洋为复旦大学和实验室联培的博二学生,目前是实验室见习研究员,师从上海交通大学人工智能学院王钰教授。本文通讯作者为王钰教授与张娅教授。
低秩适配器(LoRA)能够在有监督微调中以约 5% 的可训练参数实现全参数微调 90% 性能。然而,在 LoRA 训练中,可学习参数不仅注入了知识,也学习到了数据集中的幻觉噪声。因为这种特性的存在,大多数的 LoRA 参数都将可学习秩设置为一个较小的值(8 或者 16),通过减小知识学习程度来避免幻觉,而这也限制了 LoRA 的性能上限。

图 1 普通的 LoRA 微调随着秩的增大性能无法同步增加,而参数冗余微调能够以冗余参数提升性能。
为了解决这个问题,上海交通大学人工智能学院、复旦大学和上海人工智能实验室的团队提出了参数冗余微调范式以及一种创新性的微调算法:NoRM(Noisy Reduction with Reserved Majority)。参数冗余微调范式下,可以以普通的 LoRA 训练方式进行训练,并使用特定的方法在将 LoRA 参数合并回基模型参数前将冗余部分去除。NoRM 通过 SVD 将 LoRA 参数分解为主成分和冗余成分,并提出了 Sim-Search 方法,以子空间相似度动态决定主成分的数量。评估结果显示,NoRM 在指令微调、数学推理和代码生成的任务上一致性强于 LoRA 和其他参数冗余微调方法,实现无痛涨点。

- 论文链接:https://openreview.net/pdf?id=ZV7CLf0RHK
- 开源代码:https://github.com/pixas/NoRM
- 论文标题:FINE-TUNING WITH RESERVED MAJORITY FOR NOISE REDUCTION
研究动机
研究者首先在 Llama3-8B-Instruct 上进行预备实验,使用 MetaMathQA-395K 数据集对模型进行微调,并在 SVAMP 上进行测试。研究者通过三个方面探究微调过程中的冗余现象:(1)随机删除 10%~90% 的 LoRA 参数通道;(2)使用(1)中的方法,对 Transformer 中的不同层的 LoRA 参数进行随机删除;(3)使用(1)的方法,对 Transformer 中的不同模块的 LoRA 参数进行随机删除。实验结果发现,不仅随机删除 LoRA 参数能够提升下游模型的性能,不同层之间和模块之间删除 LoRA 参数对性能的影响呈现一定的规律。

图 2 随机删除比例(a)的性能变化曲线和模型层索引(b)以及模块(c)上的性能分布。对达成最好性能的保留比例用深蓝色重点展示。
方法概述
在 LoRA 微调中,并不是直接更新参数,而是更新一个低秩表达:。这个表达假设了参数的更新过程中,只在秩以内进行变化。在参数冗余微调中,为了高效减小参数冗余度,并能够根据不同模块和层之间的冗余不同去设计算法,研究者们首先考虑直接使用奇异值分解(SVD)对参数更新部分进行分解:
其中为左右奇异矩阵,是包含了奇异值的对角矩阵。一种朴素的思想是保留最大的个奇异值和响应的奇异向量:
然而,通过这种方法只能得到整体的更新参数,无法得到两个 LoRA 参数分别去除冗余后的分量。为了能够获得一个在预处理和参数存储上都更加高效的算法,研究者转向使用随机 SVD 来分别近似 和。特别地,随机 SVD 以高斯分布初始化一个随机矩阵:

图 3 NoRM 的算法总览。其使用随机奇异值分解来提取 delta 参数的主成分,并使用(b)Sim-Search 基于裁剪后的 delta 权重和预训练权重间的子空间相似度决定拥有最小幻觉成分的 c 个通道。
接着,计算的主要列子空间:来近似特征空间。在此之后,通过对的QR分解得到的正交基的近似。基于此正交基,可以在的低维空间上得到delta权重的投影:
那么在这个小矩阵上执行标准SVD就可以得到:
其中,然后将转化回去来近似奇异向量:。基于上述计算量,可以重构近似处理后的低秩参数:
确定好整个计算流程后,研究者们通过一种Sim-Search的方法来确定要保留的分量。这种方法通过预先设置好的两个搜索超参数,搜索步数和搜索步长,得到一组不同下的低秩分量,以及所对应的delta权重。研究者对每一个delta权重使用SVD计算主要的个奇异矩阵:
并使用同样的公式对基模型的权重进行同样的分解得到。通过提取个和的左奇异向量来计算子空间相似度:
其中
。基于计算好的Grassmann距离,可以选择这一组中拥有最大Grassmann距离的值及对应的delta权重和:
实验结论
NoRM 通过在三种不同的基模型以及三个不同的微调任务上进行实验,展现出强大的性能。
实验 1:指令微调实验
该任务主要测试,对 Instruct 模型进行微调后,如何保证多任务间的泛化性。通过和不同的 PEFT 基线进行比较,NoRM 在所有基模型上相比于最好的 PEFT 方法有着约 5 个点的提升。和之前最强的冗余微调方法 TAIA 相比,也有着 1~3 个点的提升,展现了 NoRM 强大的冗余去除能力。

实验 2:专域微调实验
该任务主要测试通过 NoRM 去除了冗余成分后,是否会对下游知识的学习造成影响。该实验选择 Llama3-8B 作为基模型,在数学推理和代码生成上进行测试。实验结果表明,由于 NoRM 可以使用更大的秩进行微调,在下游知识的吸收上,也优于之前的 PEFT 方法约 4 个点,领先 TAIA 约 3 个点。

实验 3:可学习参数对 NoRM 的影响
NoRM 通过对可微调参数中的冗余部分进行自适应去除降低微调幻觉。本实验中,通过改变秩的大小,NoRM 的性能随着可微调参数的增加而增加,而 LoRA 的性能并没有这样的趋势,这也映证了微调参数中存在大量冗余,这也是 LoRA 无法使用大秩提升性能的原因之一。

图 4 NoRM 可以从大秩中受益,但基础的 LoRA 在秩增大后反而降低性能。
实验 4:NoRM 的学忘比
通过对 LoRA 和 NoRM 在记住预训练知识的能力上进行比较,可以证实 NoRM 的设计哲学在于尽可能保留下游语料中和预训练参数中重叠最大的部分。通过测试在 WikiText-103 测试集上的损失函数值,可以看到 NoRM 的损失降低,而 LoRA 相比于基模型都有着一定程度上的升高。

结论和展望
这篇工作发现了有趣的高效参数冗余现象,并提出了 NoRM 算法来智能识别并保留最有价值的参数,同时去除有着负面作用的冗余参数,给微调参数做了一次 "减重手术"。在目前强化学习微调盛行的当下,可以将 NoRM 的设计哲学迁移到强化学习中,通过去除数据中会带来噪声的成分,提升模型下游任务的适配性和多任务之间的泛化性。
....
#DeepResearcher
交大、SII发布首个真实环境强化学习「AI研究者」模型
上海交通大学与 SII 联合发布了 DeepResearcher,代码训练框架完全开源。这是首个在真实网络环境中通过强化学习训练的 AI 研究模型。
随着大型语言模型(LLMs)推理能力的飞速发展,OpenAI、Google 和 XAI 等科技巨头纷纷推出了备受欢迎的 Deep Research 产品。这些工具能帮助用户整合海量网络信息,解决复杂问题,大大提升研究效率。
但现有系统存在两大痛点:一方面,商业产品如 OpenAI 的 Deep Research 完全是 "黑盒",其技术细节不对外公开;另一方面,开源项目往往依赖人工设计的工作流程,导致行为僵化、泛化能力差,在复杂研究场景中表现脆弱。
DeepResearcher 通过强化学习扩展(RL scaling)在真实网络环境中训练,自发形成了令人惊叹的研究能力。以图中所示的例子为证:在回答问题时,DeepResearcher 不只是简单搜索信息,而是展现出人类才有的复杂行为模式 ------ 自主规划研究步骤、动态调整搜索策略、交叉验证不同来源的信息。
特别值得注意的是,当面对 "谁是电影先驱" 这类开放性问题时,DeepResearcher 不会盲目接受首次搜索结果,而是主动开展第二轮更精确的搜索以验证信息准确性,确保最终答案的可靠性。这种自发形成的交叉验证行为,是 AI 真正理解 "研究" 本质的体现!

虽然近期研究尝试将强化学习与信息检索结合,但它们大多基于本地知识库模拟搜索,而非在真实网络环境中训练。这就像在 "模拟水池" 里学游泳,而非真正的 "大海" 中历练。
而 DeepResearcher 尝试解决这个问题,它直接与实时搜索引擎互动,在真实互联网的复杂环境中学习研究技能。就像人类研究者一样,它能自主规划研究路径、交叉验证信息、动态调整策略,甚至在信息不足时坦诚承认限制。
这一开创性工作不仅填补了开源 Deep Research 领域的关键空白,也为理解如何培养 AI 的真实研究能力提供了全新视角。
- 论文标题:DeepResearcher: Scaling Deep Research via Reinforcement Learning in Real-world Environments
- 论文地址:https://github.com/GAIR-NLP/DeepResearcher/blob/main/resources/DeepResearcher.pdf
- 代码地址:https://github.com/GAIR-NLP/DeepResearcher
- 模型地址:https://huggingface.co/GAIR/DeepResearcher-7b
结果总结
- DeepResearcher 在多个问答数据集上超过所有基线,与基于提示工程的智能体相比,DeepResearcher 在研究任务完成度方面最高可提升 28.9 分。相较于基于 RAG 的强化学习(RL)智能体,DeepResearcher 的提升幅度最高可达 7.2 分。这在知识范围超出维基百科的 Bamboogle 测试集上尤为明显。
- 真实搜索环境的直接交互不仅仅是一个实现细节,而是构建能够在真实世界应用中高效执行研究任务的自主系统的关键组成部分。
- 再利用真实环境进行强化学习训练后,模型展示出规划、反思、交叉验证等行为,并能保持诚实回答。

一、为什么要在真实环境做端到端 RL scaling
在开发真正有效的深度研究代理时,训练环境的选择至关重要。与传统的基于本地 RAG 的 RL 训练相比,在真实网络环境中进行强化学习训练具有本质上的优势,这些优势是任何模拟环境都无法替代的。
真实网络环境具有高度的不确定性和复杂性
网络上的信息并非静态固定的知识库,而是动态变化的、多样化的、有时甚至是相互矛盾的内容集合。在这样的环境中训练,模型必须学会应对真实世界的挑战:评估信息的可靠性、处理不完整或过时的数据、从噪声中提取有价值的信号,以及整合来自不同领域的知识。相比之下,本地 RAG 环境过于 "干净" 和可控,它假设所有必要信息都已存在于固定知识库中,这一假设在真实的深度研究场景中几乎不成立。
真实环境还要求模型发展复杂的信息整合能力。模型需要学习从多个来源收集信息,并通过批判性思维将这些信息合成为连贯的答案。它必须权衡不同信息源的可靠性,识别并解决矛盾的观点,并以人类可理解的方式呈现结果。这种复杂的信息处理能力只能在面对真实信息源的多样性和不可预测性时才能真正发展起来。
RL Scaling 是泛化能力的保障
RL Scaling 训练是确保模型泛化能力的关键机制。通过在海量真实网络查询中不断试错和优化,模型能够逐步建立起对搜索策略的深刻理解,而非简单记忆特定查询 - 响应对。这种理解体现在多个层面:
- 模型学会了如何根据问题性质构建有效的搜索查询
- 它能够识别哪些搜索结果值得深入探索,哪些可以忽略
- 在初始搜索失败时,它能够调整策略,尝试不同的关键词或搜索角度
- 面对复杂问题,它能够分解为多个子问题并逐一解决
这些能力使得 DeepResearcher 能够处理训练中从未见过的问题类型,表现出真正的泛化能力,而非仅依赖于参数化记忆。
端到端训练让模型摆脱工作流的桎梏
传统的提示工程方法通常预设了固定的工作流程:先做 A,再做 B,最后做 C。这种方法在处理标准问题时可能有效,但面对复杂多变的研究任务时往往显得僵化。通过端到端的 RL 训练,DeepResearcher 能够:
- 自主发现最优的研究路径,而非遵循预定义的工作流。
- 根据问题的实际需求灵活调整搜索深度和广度。
- 在搜索过程中根据新发现的信息动态调整研究方向。
- 发展出人类设计者可能未曾预料到的创新性问题解决策略。
这种自主性使 DeepResearcher 能够应对各种研究场景,包括那些需要高度创造性和适应性的复杂问题。模型不再被限制在设计者的思维框架内,而是能够探索更广阔的解决方案空间。
通过在真实网络环境中进行 RL Scaling 和端到端训练,DeepResearcher 打破了传统研究代理的限制,为 AI 辅助研究开辟了新的可能性。
二、如何解决真实环境 RL Scaling 的工程挑战
在真实网络环境中进行强化学习面临许多本地 RAG 环境中不存在的技术挑战。研究团队通过创新方法解决了这些问题,确保系统能够在开放网络环境中稳定高效地运行。
处理大量并发请求
强化学习训练过程中,特别是使用 GRPO 算法时,系统需要为每个问题并行生成多个独立轨迹(在实现中是 16 个),这产生了海量并发请求。单一服务器会被网站反爬措施限流,且这些请求需要实时处理以保证训练效率。为此,研究团队设计了分布式 CPU 服务器集群架构,实现了高效的任务分配机制,并建立了请求队列和负载均衡系统,保证每台服务器所需要处理的任务量接近。
应对网络爬取与 API 限制
真实网络环境中,网站反爬措施、API 限制和网络延迟是不可避免的挑战。网站可能在检测到大量请求时返回无关内容或拒绝响应,而搜索引擎 API 通常有严格的频率限制和使用成本。为解决这些问题,研究团队实现了智能重试机制,能在遇到临时故障时自动调整策略;构建了高效的缓存命中系统,相同查询在一定时间内(如 7 天)直接从缓存获取结果;同时开发了请求分散策略,动态监控 API 使用情况并调整请求节奏,避免触发限制的同时控制成本。
多代理框架优化信息提取
网页内容通常结构复杂且冗长,与查询相关的信息可能只占很小一部分。为高效提取有价值信息,研究团队设计了多代理协作框架,让专门的阅读代理负责内容提取工作。系统将长网页分割成可管理的小段,阅读代理从页面开始部分顺序处理,基于当前查询和已收集信息动态决定是否继续读取。如果前几部分主要包含无关内容,系统会判断整个网页可能不值得深入,从而跳过后续内容。这种渐进式处理方法不仅提高了计算效率,还能更准确地识别和提取相关信息。
三、DeepResearcher 训练架构

DeepResearcher 的深度研究轨迹
在 DeepResearcher 的推理轨迹中,智能体会根据用户问题和观测结果进行迭代推理与工具选择,在动态的真实世界环境中通过网页搜索解决问题。
- 推理(Reasoning):DeepResearcher 在执行具体动作之前必须先进行推理。每次推理过程都被封装在 <think> 标签内,遵循 DeepSeek-R1 的设定。
- 网页搜索工具(Web Search Tool):DeepResearcher 通过生成 JSON 格式的请求来调用网页搜索工具。搜索结果以结构化格式返回,每条结果包含标题(title)、URL 和摘要(snippet)。当前实现使用固定的 top-k(如 10) 作为搜索结果的检索参数。未来工作可以探索基于 LLM 的动态参数优化 以提升搜索效率。
- 网页浏览智能体(Web Browsing Agent):网页浏览智能体为 DeepResearcher 系统提供可靠、与问题相关、且可增量更新的信息。具体而言,它对每个查询维护一个短期记忆库。当收到网页浏览请求时,智能体首先处理 URL 的第一页内容,然后基于查询、历史记忆和新获取的网页内容执行两种操作: 1. 判断是否需要继续读取下一个 URL / 页面片段,或者停止浏览。 2. 将相关信息追加到短期记忆库。当智能体决定停止浏览时,它会整理短期记忆库中的新增信息并将其返回给 DeepResearcher 系统。
- 回答生成(Answering):当模型判断已获取足够信息后,它会生成最终答案,并将其封装在 <answer></answer> 标签内返回给用户。
训练方法
该项目采用强化学习(Reinforcement Learning, RL)训练智能体。本节概述了具体如何利用 RL 框架进行训练,以及在其中使用的具体算法和工具。
GRPO 算法
在本研究中,研究团队采用群体相对策略优化(Group Relative Policy Optimization, GRPO) 算法。GRPO 通过利用参考策略以及由现有策略,生成的一组 rollout 来优化当前策略。具体而言,给定 G 个 rollout:

其中,每个输入 x 服从经验分布 D(即 x∼D),GRPO 使用这些轨迹来估计基准(baseline),而无需单独训练一个评论模型(critic)。随后,通过最大化以下目标函数来优化当前策略:
观查掩码(Masking Observations)
工具的输出是一个观察结果,而不是期望模型产生的输出。因此研究团队还使用掩码来防止工具的输出参与训练,只允许模型的响应对训练过程做出贡献。
奖励函数
使用 F1 分数作为奖励函数,并对格式错误的回复处以惩罚。

- 格式惩罚(Format Penalty):如果答案格式不正确(例如缺少标签或存在结构性错误),智能体将受到 -1 的惩罚。
- F1 奖励(F1 Reward):如果答案格式正确,奖励将基于词级别 F1 分数,该指标用于衡量生成答案相对于参考答案的准确性。F1 分数越高,奖励越高。
四、 实验结果解读
实验结果充分证明了 DeepResearcher 的强大性能和泛化能力,同时明确显示了在真实环境中训练的关键优势。
卓越的性能与强大的泛化能力

DeepResearcher 在各类评估基准上均表现出色。在训练领域内的测试中(包括 NQ、TriviaQA、HotpotQA 和 2Wiki 数据集),系统比提示工程 Agent 提高了 28.9 点的性能,比基于 RAG 的 RL Agent 提高了高达 7.2 点。这一结果特别显著,因为它表明即使在高度竞争的基准测试中,真实环境训练仍能带来明显的性能提升。

更令人印象深刻的是系统在领域外(OOD)数据集上的表现。在 MuSiQue、Bamboogle 和 PopQA 这三个与训练数据差异较大的测试集上,DeepResearcher 一致超越所有其他基线方法。这种跨领域的泛化能力证明系统不只是记住了特定分布的问答模式,而是真正学习了通用的研究技能。模型能够将在一种问题类型上学到的推理和搜索策略迁移到全新的问题领域,这对于实际应用至关重要。
真实环境训练的决定性优势
研究团队的实验设计特别突显了真实环境训练相对于模拟环境的优势。尤其是在 Bamboogle 测试集上,这个基准特意包含了需要超出维基百科知识范围的问题。在这一挑战上,DeepResearcher 显著优于所有仅使用本地 RAG 的方法。
最具说服力的是其中的对比实验:即使允许 R1-Searcher(一个在本地 RAG 上训练的系统)在推理阶段访问真实网络搜索,它的性能仍然远低于 DeepResearcher。这一结果清晰地表明,仅仅在推理阶段使用真实搜索是不够的,真正的关键在于训练过程中直接与真实环境互动。
五、RL scaling 后的涌现行为
此外,研究团队的定性分析揭示了 DeepResearcher 通过端到端的 RL scaling,DeepResearcher 展现出多种非预期的认知能力,这些能力是自然涌现的,而非人工编程设计的结果。在问题求解过程中,DeepResearcher 展现出了初步规划、跨来源交叉验证答案、通过反思调整研究方向,以及在无法找到确切答案时保持诚实等能力。这些能力构成了深度研究智能体的重要特征,并反映了人类研究者所重视的核心技能。
- 规划能力
DeepResearcher 能够在开始搜索前先制定初步计划,确定关键子问题和搜索策略,类似人类研究者的工作方法。
- 交叉验证行为
系统会自动从多个来源获取信息并进行交叉验证,在遇到矛盾信息时,会基于可靠性和一致性进行判断,大大提高了答案准确性。
- 反思和调整研究策略
当发现当前搜索路径无效时,DeepResearcher 能够反思已获取的信息,重新调整搜索方向。这种自适应行为使其能够克服初始搜索策略的局限性。
- 诚实与透明
当无法找到确切答案时,系统会坦诚表明限制,而不是编造信息。这种诚实行为对于研究代理至关重要。


训练演化趋势
实验还发现了几个有趣的训练动态:
- 性能随强化学习逐步提升,F1 分数从 0.375 稳步增长到约 0.55。模型在强化学习过程中性能不断提高,表现出稳步优化的趋势。
- 随着训练进展,模型处理困难问题时会使用更多推理步骤和工具调用,随着训练的进行,不同难度水平下的工具调用次数也在增加。其中,4-hop(四跳问题)在 34 轮训练后仍保持增长趋势,这表明模型在处理更复杂问题时,仍在学习如何检索更多信息以提高推理能力。
- 所有推理步数设定下,响应长度均呈持续增长趋势,表明模型在训练过程中不断扩展其推理过程。随着推理复杂度的提高,模型能够适应性的生成越来越详细的响应,包括双重检查、细化和规划等高级推理行为。

六、总结与意义
DeepResearcher 代表了 AI 辅助研究的重大突破,首次在真实网络环境中成功实现大规模强化学习训练。该研究的意义主要体现在以下几个方面:
学术贡献
- 提出了 DeepResearcher,一种突破性的强化学习扩展方法,使大型语言模型(LLMs)能够在真实世界的网页搜索环境中高效运行。与依赖静态知识库或受控检索环境的现有方法不同,DeepResearcher 训练智能体直接与实时搜索引擎交互,使其能够应对开放网络中固有的复杂性和动态变化(如 API 限制、网页解析、反爬机制)。这种直接接触动态搜索环境,使 DeepResearcher 在任务完成度和研究能力方面,相较于基于提示工程(prompt-engineered)和基于 RAG 的强化学习方法均实现了显著提升。并开展了广泛实验,证明了真实环境训练的显著优势。
- 提出了专为真实网络环境设计的 RL 框架,实现迭代推理、搜索,及多源信息整合。通过采用端到端训练框架,DeepResearcher 突破了人工设计的固定流程,使智能体能够自主学习问题求解策略。这种方法不仅克服了真实世界网页搜索中的独特挑战,如网络延迟和反爬虫机制,还构建了一种稳健的多智能体架构,提升了智能体从网页中收集多样化信息的能力。最终,该系统展现出多种高级认知行为,包括规划(planning)、交叉验证(cross-validation)、反思(reflection)和诚实性(honesty),这些能力对于自主研究智能体至关重要。
- 观察并分析了系统的涌现行为,为未来研究提供了宝贵见解。DeepResearcher 的成功标志着LLM智能体发展中的重要里程碑。这一方法为构建更具适应性、智能性的系统提供了前景广阔的路径,使其能够解决复杂的开放域问题,并应用于现实世界的各类任务。
实际意义
- 为构建真正可靠、灵活的深度研究系统提供了新范式。
- 减少了对人工设计固定工作流的依赖,使系统更具自主性、适应性和探索行为。
- 展示了在复杂、开放环境中强化学习的潜力,证明在真实环境中扩展强化学习可以大幅提升研究性能。
....
#人类博士无法取代!OpenAI:AI全是草台班子
Claude 3.5首战复现21%顶会论文
AI若能自主复现顶尖科研论文,未来科研将被掀翻天。OpenAI最新框架PaperBench正为此生,让AI智能体从头开始复现ICML 2024 20篇优秀论文,只有Claude 3.5 Sonnet拔得头筹,但仍无法超越ML博士水平。
AI智能体,能否复现顶会中重磅的AI研究?
今天,OpenAI团队发布了全新框架PaperBench,便可评估AI智能体复现顶尖研究的基础能力。
论文地址:https://openai.com/index/paperbench/
要求是,AI智能体需从0开始复现20篇ICML 2024 Spotlight和Oral论文,包括理解论文核心文献、开发可运行代码库,以及执行实验并验证结果。
为了客观评估AI成果,OpenAI联手每篇ICML论文作者开发了「评估标准」,将每个复制任务层次化分解为具有明确评分标准的较小子任务。
总共,PaperBench包含8,316个可单独评分的任务。
结果发现,只有Claude 3.5 Sonnet(New)拿下了最高分21.0%,o1-high得分13.2%,DeepSeek-R1是6%,GPT-4o是4.1%。
遗憾的是,即便是最领先的LLM,仍无法超越机器学习博士。
目前,OpenAI将PaperBench的所有代码开源。
GitHub地址:https://github.com/openai/preparedness
AI挑战复现ICML 2024大作
PaperBench的目标,直指AI智能体的科研潜力。
若要完整复现ICML 2024 20篇优秀的论文,意味着AI不仅需要理解论文核心思想,还得自主开发代码库、运行实验,甚至是排除故障。
要知道,这是一项连人类研究员需要好几天,才能完成的高难度任务。
这项研究的主要贡献包括:
- **PaperBench:**一个包含20篇ML研究论文和经作者批准的评分标准的基准测试,以及使用基于LLM评估的自动评分工作流程。
- **PaperBench Code-Dev:**基准测试的一个更轻量级的变体,放宽了PaperBench的一些要求,使设置和评估对更广泛的社区更易于使用。
- **JudgeEval:**一个包含人类评分提交结果的数据集,可用作开发和评估自动评估的辅助工具。
- **在PaperBench上对SOTA模型的评估:**对几个前沿AI智能体执行长周期任务和机器学习研发能力的综合评估。
更重要的是,PaperBench不仅是一个学术实验,它还与其他AI安全框架紧密关联。
它可用作OpenAI的准备框架中的模型自主性度量、Anthropic负责任扩展政策中的自主能力指标,以及Google DeepMind的前沿安全框架中的机器学习研发评估工具。
PaperBench:20篇论文,8316个任务
如上所述,PaperBench选取了来自ICML 2024中20篇 Spotlight和Oral论文,主要覆盖了12个主题。
其中包括,深度强化学习、鲁棒性和概率方法。
而且,每篇论文都配备了详细的评分标准,总计8,316个可单独评估的评分项目。
这些标准均是由每篇论文原作者与OpenAI共同制定,确保评估过程中的准确性和权威性。
评分标准采用层次结构,将复杂的复现目标分解为细粒度子任务。
任务+复现
对于PaperBench中的每个样本,AI智能体会收到论文和论文澄清说明的附录。
候选智能体必须提交一个包含复现论文实证结果所需的所有代码的代码库,而且代码库根目录必须包含一个reproduce.sh文件,作为执行所有必要代码以复现论文结果的入口点。
当提交的reproduce.sh能够在全新环境中成功复现论文中报告的实证结果时,AI智能体便成功完成复现任务。
树级评分
在基准测试中,每篇论文都配有一个评分标准,明确规定了完整论文复制的评估要求。
评分标准被设置为一个要求层级结构,每个叶节点(leaf node)指定一个明确的通过/失败标准(见图2),且每个节点都根据其相对于同级节点的重要性被手动赋予了权重。
对于一个叶节点标准,评估者会判断提交内容是否满足其要求,如果满足则给予1分,否则给0分。
当所有叶节点都被评分后,父节点(parent node)的分数将等于其所有子节点分数的加权平均值。
这一计分过程会一直向上传递到树的根节点(root),根节点的分数即被视为该提交的最终复制分数(Replication Score)。
换句话说,每个提交的评分是基于所有满足的评分标准要求的权重调整后的比例,其中100%表示完美复制,即满足了所有叶节点的要求。
目前,论文中主要评估指标是所有论文的平均复制分数。
每个叶节点具有三种可能的需求类型之一,这决定了其评分方式。
- **结果匹配(Result Match)**叶节点评估已执行的提交是否包含复制论文中特定结果的证据。
- **执行(Execution)**叶节点评估运行reproduce.sh脚本时是否产生了某些特定的执行结果。
- **代码开发(Code Development)**叶节点评估候选者的源代码是否包含某些需求的正确实现。
可以上网,但不能查看原作者代码库
PaperBench设计为与智能体支持框架(agent scaffolds)无关,因此研究团队对智能体的运行环境没有特定要求。然而,基准测试确实制定了一些规则来确保公平比较:
- 智能体可以浏览互联网,但不得使用OpenAI提供的每篇论文黑名单中网站的资源。每篇论文的黑名单包括作者自己的代码库和任何其他在线复制实现。
- 智能体可使用的资源,如运行时间和计算能力,不受任何限制。
- 开发者应为智能体提供必要的在线服务API密钥(例如,用于下载数据集的HuggingFace凭证)。
对于实验,OpenAI还构建了一个简单的后处理监控工具,用于检查智能体日志中是否出现黑名单URL,发现可疑情况后会提交给人工审核,以取消使用黑名单资源的任何提交资格。
LLM评判成本降至10美金,比专家更高效
面对如此复杂的任务,人工评分显然不现实。
一篇论文的复现尝试,通常需要人类专家数十小时来评估。
为此,OpenAI团队开发了一个基于大模型自动评判系统,并推出了辅助工具JudgeEval,用来验证自动评判者的表现。
对于给定的提交内容,评判系统SimpleJudge会独立地对评分标准中的每个叶节点进行评分。
针对特定叶节点,评判系统会接收论文的Markdown格式文本、完整的评分标准JSON文件、叶节点的具体要求和提交内容作为提示词。
如下图5所示,对于PaperBench Code-Dev,每篇论文的成本降至约10美元,证明了比聘请专家进行人工评分更加经济且高效。
Claude 3.5 Sonnet得分最高
实验中,研究人员对GPT-4o、o1、o3-mini、DeepSeek-R1、Claude 3.5 Sonnet(New)和Gemini 2.0 Flash在所有20篇论文上进行了评估,每篇论文进行了3次运行。
而且,他们每个智能体设置了最长12小时的运行时限。
如下表4所示,展示了各模型的平均复现得分。
其中,Claude 3.5 Sonnet表现最出色,得分达到21.0%。OpenAI o1表现较弱,得分为13.2%,其他模型表现不佳,得分均低于10%。
为了更好地理解智能体性能,研究人员手动检查了几个智能体的运行日志。
他们发现,除了Claude 3.5 Sonnet外,所有模型都经常提前结束任务,声称它们要么已完成整个复现工作,要么遇到了无法解决的问题。
所有智能体都未能制定有效策略,考虑如何在有限时间内最优地复现论文。我们还观察到o3-mini在工具使用方面经常遇到困难。
这些失败模式表明当前模型在执行长期规划任务方面存在弱点:尽管在制定和编写多步骤计划方面表现出充分的能力,但模型未能实际采取一系列行动来执行这些计划。
迭代智能体
鉴于模型往往无法充分利用可用的全部时间,研究人员还测试了BasicAgent的一个变体。
这个变体通过移除智能体提前结束任务的能力,强制其在全部可用时间内持续运行,并使用经过优化的提示词来鼓励模型以逐步方式工作。
他们将这个智能体称为IterativeAgent。
研究人员使用IterativeAgent对o1、o3-mini和Claude 3.5 Sonnet进行了测试,如下表5所示。
他们发现使用IterativeAgent后,o1和o3-mini的得分显著提升。
值得注意的是,在使用BasicAgent时,Claude 3.5 Sonnet的表现优于o1,但在使用IterativeAgent时,其表现却不如o1。这表明为IterativeAgent优化的提示词,对OpenAI o系列模型有着不同程度的适用性。
研究人员推断,如果对BasicAgent进行类似修改,同样防止其提前结束任务,可能会使Claude 3.5 Sonnet的表现超过使用IterativeAgent的o1。
人类拿下41.4%
此外,研究人员还招募了8名目前正在攻读/已完成ML博士学位的参与者来挑战3篇论文的子集。
这里,他们采用了AI智能体类似的条件下评估参与者。
参与者会拿到PDF和Markdown格式的论文,以及论文的附录和尽可能接近用于AI智能体的指令,并可使用单个英伟达A10 GPU。
参与者兼职工作,有四周的时间窗口来取得尽可能多的进展。
另外,团队对使用IterativeAgent的o1进行了36小时的延长运行,每小时保存快照,并对1、3、6、12和36小时时拍摄的快照进行评分。
如图3所示,比较了o1的这次36小时延长运行与人类随时间的表现。
研究观察到,o1在复现尝试的早期阶段最初优于人类基准,但在24小时后,人类开始超过AI智能体。智能体最初优于人类但在更长时间跨度内落后的趋势与先前结果一致。
ML博士在48小时内(3次尝试取最佳)拿下了41.4%高分,而统一子集上,o1仅为26.6%分。
这表明,与人类专家相比,AI尽管进步显著但仍有差距。
此外,研究人员还推出了一个轻量级变体PaperBench Code-Dev,在这个版本中,o1的得分飙升至43.4%,显示出AI在简化任务上的潜力。
结论
21%得分或许只是一个开始。
PaperBench不仅揭示了AI智能体在科研中的潜力,也暴露它们在长期规划任务中的局限性。下一步,随着模型能力提升,它们能够接近甚至超越41.4%人类基准?
参考资料:
https://openai.com/index/paperbench/
....
#从0到1玩转MCP
AI的「万能插头」,代码手把手教你!
在人工智能飞速发展的今天,LLM 的能力令人叹为观止,但其局限性也日益凸显 ------ 它们往往被困于训练数据的「孤岛」,无法直接触及实时信息或外部工具。
2024 年 11 月,Anthropic 推出了开源协议 MCP(Model Context Protocol,模型上下文协议),旨在为 AI 模型与外部数据源和工具之间的交互提供一个通用、标准化的连接方式。MCP 的开源性质也迅速吸引了开发社区的关注,许多人将其视为 AI 生态系统标准化的重要一步。
MCP 的好处之一是它们能让 AI 系统更安全。当大家都能用到经过严格测试的工具时,公司就不必「重复造轮子」,这样既减少了安全隐患,也降低了恶意代码出现的可能。

随着 MCP 的逐渐普及,其影响力开始在行业内显现。2025 年 3 月 27 日,OpenAI 也开始支持 MCP 了。

谷歌似乎也在考虑是否加入 MCP 大家庭:

仔细看 MCP 的相关资料,会发现明显存在信息断层。虽然有很多解释「它能做什么」的概述,但当你真想了解它是「怎么运作的」时,资料就变得稀少了 ------ 特别是对非专业开发者来说。目前的资料不是过于表面的介绍,就是太过深奥的源代码。
近日,一篇博客以浅显易懂的方式讲解了 MCP,让各种背景的读者都能理解它的概念和功能,读者还可以跟着代码进行实践。

博客链接:https://towardsdatascience.com/clear-intro-to-mcp/
让我们跟随博客一探究竟(注:本文代码截图可能不完整,详见原文)。
通过类比理解 MCP:餐厅模型
首先,让我们将 MCP 的概念想象成一家餐厅,其中:
- 主机(Host)=餐厅建筑(智能体程序运行的环境)
- 服务器(Server)=厨房(工具发挥作用的地方)
- 客户端(Client)=服务员(发送工具请求的角色)
- 智能体(Agent)=顾客(决定使用哪种工具的角色)
- 工具(Tools)=食谱(被执行的代码)
现在,我们来看看这家餐厅的「岗位要求」:
主机(Host)
智能体运行的环境。类比餐厅建筑,在 MCP 中,它是智能体或 LLM 实际运行的位置。如果在本地使用 Ollama,用户即为主机;若使用 Claude 或 GPT,则 Anthropic 或 OpenAI 为主机。
客户端(Client)
负责从智能体发送工具调用请求的环境。相当于将顾客订单传递至厨房的服务员。实际上是智能体运行的应用程序或接口,客户端通过 MCP 将工具调用请求传递给服务器。
服务器(Server)
类似厨房,存储各种「食谱」或工具。集中管理工具,使智能体能够便捷访问。服务器可以是本地的(用户启动)或远程的(由提供工具的公司托管)。服务器上的工具通常按功能或集成方式分组,例如,所有 Slack 相关工具可集中于「Slack 服务器」,或所有消息工具可集中于「消息服务器」。这种组织方式取决于架构设计和开发者偏好。
智能体(Agent)
系统的「大脑」,由大语言模型驱动,决定调用哪些工具完成任务。当确定需要某工具时,向服务器发起请求。智能体无需原生理解 MCP,因为它通过每个工具关联的元数据学习使用方法。工具关联的元数据指导智能体如何调用工具及执行方式。需注意,平台或智能体必须支持 MCP 才能自动处理工具调用,否则开发者需编写复杂的转换逻辑,包括从架构解析元数据、以 MCP 格式形成工具调用请求、将请求映射至正确函数、执行代码,并以符合 MCP 的格式将结果返回给智能体。
工具(Tools)
执行具体工作的函数,如调用 API 或自定义代码。工具存在于服务器上,可以是:
- 用户创建并托管在本地服务器的自定义工具
- 他人在远程服务器上托管的预制工具
- 他人创建但用户在本地服务器托管的预制代码
如何协同工作
下面详细介绍 MCP 的具体工作流程:
服务器注册工具:每个工具都需定义名称、描述、输入 / 输出模式及函数处理程序(执行代码),并注册到服务器。这一过程通常通过调用特定方法或 API,向服务器声明「这是一个新工具及其使用方式」。
服务器暴露元数据:服务器启动或智能体连接时,通过 MCP 协议暴露工具元数据(包括模式和描述)。
智能体发现工具:智能体通过 MCP 查询服务器,了解可用工具集。智能体从工具元数据中学习如何使用每个工具。这一过程通常在系统启动时或新工具添加时触发。
智能体规划工具使用:当智能体确定需要某个工具(基于用户输入或任务上下文)时,会按照标准化的 MCP JSON 格式构建工具调用请求,包含工具名称、符合工具输入模式的参数及其他必要元数据。客户端作为传输层,通过 HTTP 将 MCP 格式的请求发送至服务器。
翻译层执行:翻译层接收智能体的标准化工具调用(通过 MCP),将请求映射到服务器上对应的函数,执行该函数,将结果格式化回 MCP 格式,然后发送回智能体。抽象化 MCP 的框架可以完成所有这些工作,开发者无需编写翻译层逻辑(这听起来是个令人头疼的事情)。

MCP Brave 搜索服务器的 Re-Act 智能体代码示例
为了理解 MCP 的实际应用效果,我们可以使用 IBM 的 beeAI 框架,该框架原生支持 MCP 并为我们处理转换逻辑。如果你计划运行这段代码,你需要:
- 克隆 beeAI 框架仓库以获取此代码中使用的辅助类: https://github.com/i-am-bee/beeai-framework ;
- 创建一个免费的 Brave 开发者账户并获取 API 密钥(有免费订阅可用,需要信用卡);
- 创建一个 OpenAI 开发者账户并生成 API 密钥;
- 将你的 Brave API 密钥和 OpenAI 密钥添加到仓库 Python 文件夹级别的 .env 文件中;
- 确保你已安装 npm 并正确设置了路径。
示例 .env 文件

示例 mcp_agent.ipynb
- 导入必要的库

- 加载环境变量并设置系统路径(如有需要)

- 配置日志记录器

- 加载辅助函数如 process_agent_events、observer,并创建 ConsoleReader 实例
- process_agent_events:处理智能体事件并根据事件类型(如错误、重试、更新)将消息记录到控制台。它为每种事件提供有意义的输出,以帮助跟踪智能体活动。
- observer:监听来自发射器的所有事件,并将它们路由到 process_agent_events 进行处理和显示。
- ConsoleReader:管理控制台输入 / 输出,允许用户交互并通过带有色彩编码角色的方式显示格式化消息。

- 设置 Brave API 密钥和服务器参数。
Anthropic 有一个 MCP 服务器列表:https://modelcontextprotocol.io/examples

- 创建一个 Brave 工具,它将启动与 MCP 服务器的连接,发现工具,并将发现的工具返回给智能体,以便它决定对于给定的任务应该调用哪个工具。
在此情况下,Brave MCP 服务器上可发现 2 个工具:
- brave_web_search:执行带分页和过滤的网页搜索
- brave_local_search:搜索本地商家和服务

(可选)检查与 MCP 服务器的连接,并在将其提供给智能体之前确保它返回所有可用的工具。

输出

- 编写创建智能体的函数
- 分配一个 LLM
- 创建一个 brave_tool () 函数的实例,并将其分配给 tools 变量
- 创建一个 re-act 智能体,并给它分配选择的 llm、tools、内存(以便它可以进行持续的对话)
- 向 re-act 智能体添加系统提示
注意:您可能会注意到在系统提示词中添加了一句话:「If you need to use the brave_tool you must use a count of 5.」这是一个临时解决方案,因为在 Brave 服务器的 index.ts 文件中发现了一个错误。用户将为该仓库贡献代码来修复它。

- 创建主函数
- 创建智能体
- 与用户进入对话循环,并使用用户提示和一些配置设置运行智能体。如果用户输入「exit」或「quit」,则结束对话。


输出:

MCP 凭借网络效应、标准化优势、降低开发成本和行业门槛以及增强互操作性,未来发展潜力巨大。但它也面临挑战,包括工具发现依赖服务器、新增故障点、治理需求、安全考虑和延迟问题。
随着技术的不断发展,我们期待 MCP 能够克服这些挑战,充分发挥其潜力,为行业带来更多价值。
....
#Meta深夜开源Llama 4
首次采用MoE,惊人千万token上下文,竞技场超越DeepSeek
万万没想到。Meta 选择在周六日,发布了最新 AI 模型系列 ------Llama 4,这是其 Llama 家族的最新成员。

该系列包括 Llama 4 Scout、Llama 4 Maverick 和 Llama 4 Behemoth。所有这些模型都经过了大量未标注的文本、图像和视频数据的训练,以使它们具备广泛的视觉理解能力。
Meta GenAI 负责人 Ahmad Al-Dahle 表示,Llama 4 展示了 Meta 对开源 AI、整个开源 AI 社区的长期承诺以及坚定不移的信念 ------ 开放系统将产出最好的小型、中型和即将出现的前沿大模型。

谷歌 CEO 劈查伊不禁感叹,人工智能世界永远不无聊,恭喜 Llama 4 团队,继续前进!

在大模型竞技场(Arena),Llama 4 Maverick 的总排名第二,成为第四个突破 1400 分的大模型。其中开放模型排名第一,超越了 DeepSeek;在困难提示词、编程、数学、创意写作等任务中排名均为第一;大幅超越了自家 Llama 3 405B,得分从 1268 提升到了 1417;风格控制排名第五。


那么 Llama 4 模型系列有何特点呢?具体而言:
Llama 4 Scout 是一个拥有 170 亿激活参数和 16 个专家的模型,是同类中全球最佳的多模态模型,比前几代 Llama 模型更强大,且能适配单个 NVIDIA H100 GPU。此外,Llama 4 Scout 提供了业界领先的 10M 上下文窗口,在广泛报道的基准测试中表现优于 Gemma 3、Gemini 2.0 Flash-Lite 和 Mistral 3.1。
Llama 4 Maverick 是一个拥有 128 位专家、 170 亿个激活参数模型,是同类中最好的多模态模型,在广泛报道的基准测试中击败了 GPT-4o 和 Gemini 2.0 Flash,同时在推理和编程方面取得了与新 DeepSeek v3 相当的结果 ------ 激活参数不到一半。Llama 4 Maverick 提供了一流的性价比,其实验性聊天版本在 LMArena 上的 ELO 得分为 1417。
以上这两个模型是 Meta 迄今为止最好的模型,主要得益于它们是从拥有 2880 亿激活参数和 16 个专家的 Llama 4 Behemoth 模型进行知识蒸馏而来。
Llama 4 Behemoth 是 Meta 目前最强大的模型之一,也是世界上最智能的大型语言模型之一。在多项科学、技术、工程和数学(STEM)基准测试中,Llama 4 Behemoth 的表现优于 GPT-4.5、Claude 3.7 Sonnet 和 Gemini 2.0 Pro。
不过,Llama 4 Behemoth 仍在训练中,后续 Meta 会放出更多内容。
好消息是,用户现在就可以在 llama.com 和 Hugging 上下载 Llama 4 Scout 和 Llama 4 Maverick 最新模型。

所有 Llama 4 模型均采用原生多模态设计,比如上传一张图像,你可以问关于这张图像的任何问题

Llama 4 Scout 支持长达 1000 万 token 的上下文,这是目前行业内最长的上下文长度,解锁了围绕记忆、个性化和多模态应用的新用例。

Llama 4 在图像 grounding 方面也是一流的,能够将用户提示与相关的视觉概念对齐,并将模型响应锚定到图像中的区域。

Llama 4 还经过预训练和微调,能够理解 12 种语言的无与伦比的文本,支持全球开发和部署。

预训练
Meta 在构建下一代 Llama 模型时,在预训练阶段尝试了多种新方法。
首先,这是 Meta 首次采用混合专家(Mixture of Experts, MoE)架构。在 MoE 模型中,单个 token 仅激活总参数的一部分。Meta 表示,MoE 架构在训练和推理时计算效率更高,在固定训练 FLOPs 预算下,相比密集模型提供更高的质量。

以 Llama 4 Maverick 模型为例,该模型拥有 170 亿激活参数和 4000 亿总参数。Meta 采用交替的密集层和混合专家(MoE)层来提高推理效率。在 MoE 层中,他们使用了 128 个路由专家和一个共享专家。每个 token 都会被发送到共享专家以及 128 个路由专家中的一个。
因此,尽管所有参数都存储在内存中,但在服务这些模型时,只有总参数的一部分被激活。这通过降低模型服务成本和延迟来提高推理效率 ------Llama 4 Maverick 可以在单个 NVIDIA H100 DGX 主机上运行,便于部署,也可以通过分布式推理实现最高效率。
Llama 4 系列模型采用原生多模态设计,通过早期融合将文本和视觉 token 无缝整合到统一的模型骨干中。早期融合是一个重大进步,因为这样能够使用大量未标记的文本、图像和视频数据对模型进行联合预训练。此外,Meta 还改进了 Llama 4 中的视觉编码器,该编码器基于 MetaCLIP,以更好地使编码器适应 LLM。
另外,Meta 还开发了一种新的训练技术,称为 MetaP,其能够可靠地设置模型超参数,例如每层的学习率和初始化规模。Meta 发现,选定的超参数在不同批量大小、模型宽度、深度和训练 token 值之间具有良好的迁移性。
Llama 4 通过在 200 种语言上进行预训练,支持开源微调工作,其中包括超过 100 种语言,每种语言都超过 10 亿 token,总体上比 Llama 3 多 10 倍的多语言 token。
此外,Meta 采用 FP8 精度进行训练,兼具质量并确保高 FLOPs 利用率。在使用 FP8 和 32K GPU 预训练 Llama 4 Behemoth 模型时,Meta 实现了每 GPU 390 TFLOPs。训练所用的数据混合总量超过 30 万亿 token,是 Llama 3 预训练数据混合量的两倍多,涵盖了多样化的文本、图像和视频数据集。
最后,Meta 还通过所谓的中期训练(mid-training)继续训练模型,提升模型核心能力,包括利用专门的数据集扩展长上下文。这使 Meta 在提升模型质量的同时,为 Llama 4 Scout 解锁了业界领先的 1000 万输入上下文长度。
后训练
Llama 4 Maverick 在图像和文本理解方面提供了无与伦比、行业领先的性能,能够创建跨越语言障碍的复杂人工智能应用。作为通用助手和聊天用例的产品主力模型,Llama 4 Maverick 在精确图像理解和创意写作方面表现出色。
在对 Llama 4 Maverick 模型进行后训练时,最大的挑战是平衡多种输入模态、推理能力和对话能力。为了混合模态,Meta 设计了一种精心策划的课程策略,与单一模态专家模型相比,这种策略不会降低性能。
在 Llama 4 中,Meta 通过采用不同的方法对后训练流程进行了全面改进:轻量级监督微调(SFT)> 在线强化学习(RL)> 轻量级直接偏好优化(DPO)。Meta 发现,SFT 和 DPO 可能会过度约束模型,限制在线 RL 阶段的探索能力,从而导致推理、编程和数学领域的精度下降。
为了解决这一问题,Meta 使用 Llama 模型作为评判,移除了超过 50% 的标记为简单(easy)的数据,并在剩余较难的数据集上进行了轻量级监督微调(SFT)。在随后的多模态在线强化学习(RL)阶段,通过精心选择较难的提示,实现了性能的显著提升。
此外,Meta 还实施了持续在线 RL 策略,交替训练模型并使用它持续过滤并保留中等至高难度的提示。这种策略在计算和准确性权衡方面非常有益。
最后,Meta 还进行了轻量级直接偏好优化(DPO),以处理与模型响应质量相关的边缘情况,有效实现了模型智能与对话能力的良好平衡。这些改进促成了一个业界领先的通用聊天模型,具备最先进的智能和图像理解能力。
性能
Llama 4 Maverick 包含 170 亿激活参数、128 个专家和 4000 亿总参数,相比 Llama 3.3 70B,以更低的价格提供了更高的质量。由下表可知,Llama 4 Maverick 是同类中最佳的多模态模型,在编码、推理、多语言、长上下文和图像基准测试中,其性能超过了类似模型如 GPT-4o 和 Gemini 2.0,并且在编码和推理方面与规模更大的 DeepSeek v3.1 具有竞争力。

较小模型 Llama 4 Scout 是一款通用型模型,拥有 170 亿激活参数、16 个专家和 1090 亿总参数,能够在其所属类别中提供最先进的性能。Llama 4 Scout 将支持的上下文长度从 Llama 3 的 128K 大幅提升至业界领先的 1000 万 token。这为多文档摘要、解析广泛用户活动以实现个性化任务以及推理庞大代码库等应用提供了更多可能性。
Llama 4 Scout 在预训练和后训练中均使用 256K 上下文长度,使基础模型具备强大的长上下文泛化能力。在大海捞针检索等任务中,该模型均展示了令人信服的结果。
Llama 4 架构的关键创新之一是使用无位置嵌入的交错注意力层(interleaved attention layers),并通过推理时的温度缩放来增强长上下文泛化能力。这种架构被称为 iRoPE 架构,其中 i 代表交错(interleaved)注意力层,强调其支持无限上下文长度的长期目标;RoPE 指大多数层中使用的旋转位置嵌入。


Meta 对两款模型进行了广泛的图像和视频帧静止图像训练,以赋予它们广泛的视觉理解能力,包括对时序活动及相关图像的理解。这使得模型能够在多图像输入和文本提示下轻松进行视觉推理和理解任务。这些模型在预训练时最多支持 48 张图像,并且在后训练中可以支持 8 张图像,结果良好。
Llama 4 Scout 在图像定位方面表现卓越,能够将用户提示与相关视觉概念对齐,并将模型响应锚定到图像中的特定区域。这使得大型语言模型能够更精确地进行视觉问答,更好地理解用户意图并定位感兴趣的对象。
此外,Llama 4 Scout 在编码、推理、长上下文和图像基准测试中超越了类似模型,并且比所有之前的 Llama 模型表现更强。

将 Llama 推向新的尺度:2T Behemoth
Llama 4 Behemoth 预览版是一个教师模型, 也是一个多模态混合专家模型,拥有 2880 亿激活参数、16 个专家和近 2 万亿总参数。
在数学、多语言和图像基准测试中,它提供了非推理模型的最先进性能,是教授较小 Llama 4 模型的完美选择。

对一个拥有两万亿参数的模型进行后训练是一个巨大的挑战,这要求研究者从数据规模开始,彻底重新设计和改进训练方案。为了最大化性能,Meta 不得不对监督微调(SFT)数据进行 95% 的剪枝,而较小模型的剪枝比例为 50%。这一举措是为了在质量和效率上取得必要的平衡。Meta 还发现,先进行轻量级监督微调(SFT),再进行大规模强化学习(RL),能够显著提升模型的推理和编码能力。
Meta 的强化学习(RL)方案专注于通过策略模型进行 pass@k 分析,采样难度较高的提示,并构建难度逐渐增加的训练课程。此外,在训练过程中动态过滤掉零优势的提示,并构建包含多种能力的混合提示训练批次,这些措施在数学、推理和编码方面为模型带来了显著的性能提升。最后,从多种系统指令中采样对于确保模型在推理和编码任务中保持指令遵循能力至关重要,这使得模型能够在多种任务中表现出色。
为两万亿参数的模型扩展强化学习(RL)也是一项巨大的挑战,这迫使 Meta 不得不重新设计并改进底层的强化学习基础设施,以应对前所未有的规模。
Meta 对混合专家(MoE)并行化的设计进行了优化,以提升速度,从而加快迭代过程。此外,他们还开发了一个完全异步的在线强化学习训练框架,增强了灵活性。与现有的分布式训练框架相比,后者为了将所有模型加载到内存中而牺牲了计算内存,Meta 的新基础设施能够灵活地将不同模型分配到不同的 GPU 上,并根据计算速度在多个模型之间平衡资源。这一创新使得训练效率相比上一代提升了约 10 倍。
Llama 4 Scout 和 Llama 4 Maverick 现已开放下载,地址:
参考链接:https://ai.meta.com/blog/llama-4-multimodal-intelligence/
....
#FoundationStereo
本文介绍了 FoundationStereo,一种用于立体深度估计的基础模型,旨在实现强大的零样本泛化能力。通过构建大规模(100 万立体图像对)合成训练数据集,结合自动自筛选流程去除模糊样本,并设计了网络架构组件(如侧调谐特征主干和远程上下文推理)来增强可扩展性和准确性。这些创新显著提升了模型在不同领域的鲁棒性和精度,为零样本立体深度估计设立了新标准。
相关论文 FoundationStereo: Zero-Shot Stereo Matching 获得 CVPR 2025 满分评审,代码已开源。
- 论文地址:https://arxiv.org/abs/2501.09898
- 项目主页:https://nvlabs.github.io/FoundationStereo/
- 项目代码和数据集:https://github.com/NVlabs/FoundationStereo/

对比常用 RGBD 相机:

目前 FoundationStereo 在 Middlebury, ETH3D 等多个排行榜位列第一。


引言
立体匹配算法虽在基准数据集上表现优异,但零样本泛化能力仍不足。现有方法依赖目标域微调,且受限于网络结构或数据规模。本文提出 FoundationStereo,通过大规模合成数据、自筛选流程及结合单目先验的架构设计,实现了无需微调的跨域泛化能力。主要贡献如下:
1.FoundationStereo 大模型
- 提出首个零样本泛化能力强大的立体匹配基础模型,无需目标域微调即可在多样场景(室内 / 室外、无纹理 / 反射 / 透明物体等)中实现高精度深度估计。
- 大规模合成数据集(FSD)
- 构建包含 100 万立体图像对的高保真合成数据集,覆盖复杂光照、随机相机参数及多样化 3D 资产,并通过路径追踪渲染提升真实性。
- 设计迭代自筛选流程,自动剔除模糊样本(如重复纹理、纯色区域),提升数据质量。
- 单目先验适配(STA 模块)
- 提出侧调谐适配器(STA),将单目深度估计模型(DepthAnythingV2)的互联网尺度几何先验与 CNN 特征结合,显著缓解合成到真实的域差距。
- 注意力混合成本过滤(AHCF)
- 轴向平面卷积(APC):将 3D 卷积解耦为空间和视差维度的独立操作,扩展感受野并降低计算开销。
- 视差 Transformer(DT):在成本体积中引入跨视差自注意力机制,增强长程上下文推理能力。
- 实验性能突破
- 零样本泛化:在 Middlebury、ETH3D 等基准上超越微调模型(如 Middlebury BP-2 误差从 7.5% 降至 1.1%)。
- 领域内最优:Scene Flow 测试集 EPE 刷新纪录(0.34),ETH3D 微调后排名第一。


方法
概览
-
单目 - 立体协同:通过 STA 融合 ViT 的几何先验与 CNN 的匹配能力,缩小仿真 - 真实差距。
-
成本体积高效滤波:APC(大视差核) + DT(全局注意力)实现多尺度上下文聚合。
-
数据驱动泛化:百万级合成数据 + 自动筛选,覆盖极端场景(透明 / 反射 / 无纹理物体)。

单目基础模型适配(Monocular Foundation Model Adaptation)
1.动机:合成数据训练的立体匹配模型存在仿真 - 真实差距(sim-to-real gap),而单目深度估计模型(如 DepthAnythingV2)在真实数据上训练,能提供更强的几何先验。
2.方法:
- 采用侧调谐适配器(STA, Side-Tuning Adapter),将冻结的 DepthAnythingV2 ViT 特征与轻量级 CNN(EdgeNeXt-S)提取的特征融合。
- 实验对比三种融合策略(图 3 左):
(a) 直接使用 ViT 特征金字塔 → 效果较差(缺乏局部细节)。
(b) ViT 与 CNN 双向特征交换 → 计算复杂,收益有限。
(c) ViT 最终层特征降维后与 CNN 特征拼接 → 最优选择(平衡效率与性能)。
- 关键优势:STA 模块保留 ViT 的高层语义先验,同时结合 CNN 的细粒度匹配能力,显著提升对模糊区域(如弱纹理、反射表面)的鲁棒性。

注意力混合成本过滤(Attentive Hybrid Cost Filtering)
1.混合成本体积构造(Hybrid Cost Volume Construction)
- 输入:STA 提取的左右图像 1/4 分辨率特征(fl4,fr4fl4,fr4)。
- 构造方式: 1.分组相关(Group-wise Correlation):将特征分为 8 组,计算逐组相关性(VgwcVgwc),增强匹配多样性。
2.特征拼接(Concatenation):直接拼接左右图像特征(VcatVcat),保留单目先验信息。
3.最终成本体积:兼顾局部匹配与全局上下文。

2.轴向平面卷积(APC, Axial-Planar Convolution)
- 问题:传统 3D 卷积(如 3×3×3)对大视差范围计算代价高,且感受野有限。
- 改进:将 3D 卷积解耦为两部分: 1. 空间卷积(Ks×Ks×1Ks×Ks×1):处理图像平面内的特征。 2. 视差卷积(1×1×Kd1×1×Kd):沿视差维度聚合信息。
效果:在视差维度使用大核(如 Kd=17),显著提升长距离匹配能力,同时降低内存占用。
3.视差 Transformer(DT, Disparity Transformer)
- 动机:传统成本滤波缺乏全局视差关系建模。
- 设计: 1.将成本体积降采样至 1/16 分辨率,转换为视差序列 token。 2.通过 4 层 Transformer 编码器(含 FlashAttention)执行跨视差自注意力。 3.位置编码:实验表明余弦编码优于 RoPE(因视差维度固定)。
- 作用:增强对薄结构、重复纹理等复杂场景的匹配鲁棒性。

4.初始视差预测
- 对滤波后的成本体积 VC∗VC∗执行 Soft-Argmin,生成 1/4 分辨率的初始视差图 d0。
迭代优化(Iterative Refinement)
- 相关性体积查找:基于当前视差 dk,从 VC 和左右特征相关性体积 Vcorr中提取特征。
- GRU 更新:
-
输入:成本体积特征 + 当前视差 + 上下文特征(来自 STA)。
-
采用 3 级 ConvGRU(粗到细)逐步优化视差,每级隐藏状态由上下文特征 初始化。
- 视差修正:通过卷积预测残差 Δd,更新视差

损失函数(Loss Function)
- 监督目标: 1.初始视差 d0:平滑 L1 损失。 2.迭代优化视差 {dk}{dk}:加权 L1 损失(权重随迭代指数衰减,γ=0.9)。

合成训练数据集(Synthetic Training Dataset)
- 数据生成: 1.工具:NVIDIA Omniverse 路径追踪渲染。
2.多样性增强:随机化相机参数(基线、焦距)、光照、物体布局。
3.场景类型:结构化室内 / 室外场景 + 随机飞行的复杂物体(图 4)。
- 自筛选流程:
-
训练初始模型,在 FSD 上评估。
-
剔除 BP-2 > 60% 的模糊样本(如无纹理区域、过度反射)。
-
重新生成数据并迭代训练(共 2 轮),提升数据质量。

实验和结果
我们在 PyTorch 中实现了 FoundationStereo 模型,使用混合数据集进行训练,包括我们提出的 FSD 数据集以及 Scene Flow、Sintel、CREStereo、FallingThings、InStereo2K 和 Virtual KITTI 2 等公开数据集。采用 AdamW 优化器训练 20 万步,总 batch size 为 128,均匀分布在 32 块 NVIDIA A100 GPU 上。初始学习率设为 1e-4,在训练过程进行到 80% 时衰减为原来的 0.1 倍。输入图像随机裁剪为 320×736 大小,并采用与 IGEV 类似的数据增强方法。训练时使用 22 次 GRU 迭代更新,而在后续实验中(除非特别说明),我们使用相同的基础模型进行零样本推理,采用 32 次精炼迭代和 416 的最大视差范围。除非特别说明,我们用同一权重的大模型进行零样本的泛化测试。



在消融实验中,我们系统验证了模型各关键组件的有效性:首先比较了不同单目基础模型(DepthAnythingV2 和 DINOv2)及其融合策略,发现 ViT 特征降维拼接 CNN 的 STA 设计效果最佳;其次测试了 AHCF 模块中位置编码(余弦编码优于 RoPE)、注意力范围(仅视差维度优于全成本体积)和 APC 卷积核配置(视差核尺寸 17 时性能饱和);最后证明了引入 FSD 数据集能显著提升泛化性(Middlebury 上 BP-2 指标从 2.34% 降至 1.15%)。这些实验全面支撑了模型设计的合理性。



FoundationStereo 在透明和千纹理物体上也表现出很好的泛化性:

团队介绍
该论文来自于英伟达研究院。其中论文一作华人温伯文博士任高级研究员,此前曾在谷歌 X,Facebook Reality Labs, 亚马逊和商汤实习。研究方向为机器人感知和 3D 视觉。获得过 RSS 最佳论文奖提名。个人主页: https://wenbowen123.github.io/
....