技术栈
拉普拉斯变换公式及理解
Dlkoiw
2025-12-04 11:05
拉普拉斯变换性质
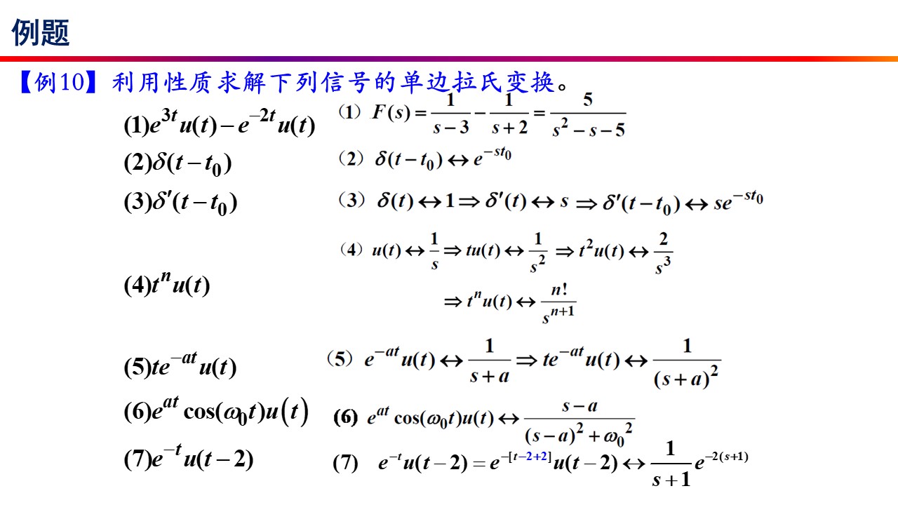
例题
拉普拉斯反变换
常用拉氏变换对(通过变换对求反变换)
例题
信号与系统
上一篇:
让项目管理更智能:基于 DHTMLX Gantt + AI 的自然语言项目构建方案
下一篇:
观测云产品更新 | 应用性能监测、用户访问监测、场景等
相关推荐
竹一阁
2 天前
《信号与系统》(第11期)|信号的微分、积分与差分:从基本运算理解滤波器的本质
信号与系统
竹一阁
3 天前
《信号与系统》(第10期)|信号的代数运算:相加与相乘的本质区别
信号与系统
想创新AI的新青年
1 个月前
武汉理工复试上机练习———(一)信号与系统
matlab
·
信号处理
·
信号与系统
·
武汉理工复试上机
竹一阁
1 个月前
《信号与系统》(7)|典型信号的分类与特性:从冲激、阶跃到 LFM 信号
信号处理
·
信号与系统
民乐团扒谱机
2 个月前
【微实验】从声波涟漪到频率栅栏:梳状滤波的声学奥秘与工程启示
人工智能
·
音频
·
信号与系统
·
干涉
·
梳状滤波
南檐巷上学
2 个月前
基于MATLAB的麦克风音频效果测试
matlab
·
信号处理
·
数字信号处理
·
dsp
·
信号与系统
·
快速傅里叶变换
·
麦克风测试
竹一阁
2 个月前
《信号与系统》(2)| 傅里叶变换(二):前世今生——傅里叶级数:从数学逼近到物理频谱的思想跨越
信号与系统
竹一阁
4 个月前
跟踪导论(十二)——卡尔曼滤波的启动:初始参数的设置
算法
·
信号处理
·
雷达
·
信号与系统
以梦为马mmky
4 个月前
五个月上岸国科大声学所经验分享。
经验分享
·
通信考研
·
信号与系统
·
中国科学院大学
热门推荐
01
GitHub 镜像站点
02
一周AI热点速览(2026.03.31-04.06):GPT-6曝光、谷歌开源Gemma 4、资本狂飙与模型军备竞赛
03
基于 Docker 部署 Hermes Agent 并接入飞书机器人的完整指南
04
VMware Workstation Pro 17 虚拟机完整安装教程(2026最新)
05
OpenClaw 请求超时 llm request timed out 怎么解决?3 种方案实测,附完整排查流程
06
实测!Gemma 4 成功跑在安卓手机上:离线 AI 助手终于来了
07
CodeBuddy与WorkBuddy深度对比:腾讯两款AI工具差异及实操指南
08
AI Weekly | 2026年4月第二周 · GitHub热门项目与AI发展趋势深度解析
09
Oh My Codex 快速使用指南
10
开发者环境配置:用 Ollama 实现本地大模型部署(附下载慢的解决方案