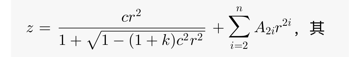
偶次非球面是一种表面形状偏离标准球面的光学元件,其表面形状关于光轴对称。在Zemax中,偶次非球面的方程通常表示为:

其中z是沿光轴方向的矢高,r是垂直于光轴的径向坐标,c是顶点曲率,k是圆锥系数,A_{2i}是偶次非球面系数。
在Zemax中设置偶次非球面,可按以下步骤进行:
-
打开Zemax软件,进入镜头数据编辑器(Lens Data Editor),可通过"Editors"→"Lens Data"或快捷键"Ctrl+L"打开。
-
在镜头数据编辑器的表面列表中,选择需要设置为偶次非球面的表面。
-
在"Type"列中,将该表面的类型从默认的"Standard"改为"Even Asphere"。
-
设置偶次非球面的相关参数,包括曲率半径(Radius)、二次曲面常数(Conic)以及偶次非球面多项式系数(Parameters)等。例如,若需定义一个双曲面(K=-1.5)加微小非球面(A4=1e-6),则在"Conic"列输入"-1.5",在"Parameters"列输入"1e-6, 0, 0"。
-
根据设计需求,可将偶次非球面的部分高阶项系数设置为变量,以便在优化过程中进行调整。例如,可通过脚本命令"SetCoefficientVariable(N, "A2", True)"将第N个表面的A2系数设置为变量。
-
设置好偶次非球面的参数和变量后,可结合局部优化算法或全局优化算法(如锤型优化)进行系统优化,以达到预期的光学性能。