MATLAB代码:基于遗传算法的电动汽车有序充放电优化 关键词:遗传算法 电动汽车 有序充电 优化调度 参考文档:《精英自适应混合遗传算法及其实现_江建》算法部分;电动汽车建模部分相关文档太多,自行搜索参考即可; 仿真平台:MATLAB 主要内容:代码主要做的是利用遗传算法对电动汽车有序充电进行优化;优化目标包括充电费用最低,充电时间达到要求(电动汽车充到足够的电)考虑电动汽车充电对电网负荷的影响,使负荷峰谷差最小。 分别利用传统、精英和变异遗传算法进行对比算法优劣,比较迭代结果,优化变量为起始充电时刻 --以下内容来源于机器人解读,有可能是一本正经的胡说八道,仅供参考 这段代码是一个利用遗传算法对电动汽车有序充电进行优化的程序。该程序的主要目标是使电动汽车的充电费用最低,同时保证充电时间达到要求,并且考虑了电动汽车充电对电网负荷的影响,使负荷峰谷差最小。 该代码应用在电动汽车充电优化领域。它通过遗传算法来优化电动汽车的充电策略,以达到降低充电费用和负荷峰谷差的目标。 该代码的算法优势在于使用了遗传算法来搜索最优解,遗传算法具有全局搜索能力,可以找到较好的解决方案。此外,该代码还使用了轮盘赌选择、交叉和变异等遗传算法的基本操作,增加了算法的多样性和搜索能力。 需要注意的是,代码中的参数设置需要根据具体情况进行调整,如种群数量、迭代次数、交叉率、变异率等。

在如今电动汽车日益普及的时代,如何实现其有序充放电成为了一个关键问题。今天咱们就来聊聊基于遗传算法的电动汽车有序充放电优化的MATLAB代码实现。
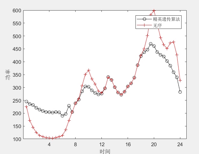
核心目标剖析
这次代码的核心,就是利用遗传算法对电动汽车有序充电进行优化。这里面有几个重要的优化目标:
- 充电费用最低:车主都希望充电成本越低越好,通过优化充电策略来实现这一点。
- 充电时间达标:也就是电动汽车得充到足够的电,满足后续使用需求。
- 负荷峰谷差最小:考虑到电动汽车充电对电网负荷的影响,尽量减小峰谷差,保障电网稳定运行。
算法对比思路
为了看看哪种算法更优,这里分别利用了传统、精英和变异遗传算法进行对比,比较它们的迭代结果。而优化变量设定为起始充电时刻,通过调整这个变量,看不同算法如何找到最优解。
代码实现要点
遗传算法基础操作
遗传算法里有几个关键操作,比如轮盘赌选择、交叉和变异。在MATLAB代码里大概是这样体现的:
matlab
% 轮盘赌选择示例代码
function selectedChrom = rouletteWheelSelection(population, fitness)
totalFitness = sum(fitness);
selectionProbabilities = fitness / totalFitness;
[~, selectedIndex] = rouletteWheel(selectionProbabilities);
selectedChrom = population(selectedIndex, :);
end
% 交叉操作示例代码
function [offspring1, offspring2] = crossover(parent1, parent2, crossoverRate)
if rand < crossoverRate
crossoverPoint = randi([1, length(parent1) - 1]);
offspring1 = [parent1(1:crossoverPoint), parent2(crossoverPoint + 1:end)];
offspring2 = [parent2(1:crossoverPoint), parent1(crossoverPoint + 1:end)];
else
offspring1 = parent1;
offspring2 = parent2;
end
end
% 变异操作示例代码
function mutatedChrom = mutation(chromosome, mutationRate)
if rand < mutationRate
mutationPoint = randi(length(chromosome));
chromosome(mutationPoint) = ~chromosome(mutationPoint);
end
mutatedChrom = chromosome;
end
在轮盘赌选择代码里,totalFitness计算了整个种群适应度的总和,然后算出每个个体被选择的概率selectionProbabilities,最后通过rouletteWheel函数选出个体。交叉操作通过设定一个交叉率crossoverRate,随机选择一个交叉点,交换两个父代个体的部分基因来生成子代。变异操作同样基于一个变异率mutationRate,随机选择一个基因位进行变异。
目标函数构建
目标函数得综合考虑充电费用、充电时间和负荷峰谷差。这里简单示意一下思路:
matlab
function fitness = objectiveFunction(chromosome, chargingCosts, gridLoads)
startChargingTime = getStartChargingTime(chromosome);
% 根据起始充电时间计算充电费用
chargingCost = calculateChargingCost(startChargingTime, chargingCosts);
% 根据起始充电时间计算对电网负荷的影响
loadImpact = calculateLoadImpact(startChargingTime, gridLoads);
% 这里简单假设一个公式综合计算适应度,实际要复杂调整
fitness = chargingCost + loadImpact;
end
这里的chromosome代表了编码后的起始充电时刻等信息,通过getStartChargingTime函数提取起始充电时间,然后分别计算充电费用chargingCost和负荷影响loadImpact,最后综合得出适应度fitness。
参数调整要点
代码里的参数设置非常关键,像种群数量、迭代次数、交叉率、变异率等都得根据具体情况调整。比如种群数量设小了,可能搜索空间有限找不到好的解;设大了,计算量又会大增。迭代次数少了,算法可能没充分收敛;多了又浪费时间。交叉率和变异率也类似,得反复试验找到合适的值。

MATLAB代码:基于遗传算法的电动汽车有序充放电优化 关键词:遗传算法 电动汽车 有序充电 优化调度 参考文档:《精英自适应混合遗传算法及其实现_江建》算法部分;电动汽车建模部分相关文档太多,自行搜索参考即可; 仿真平台:MATLAB 主要内容:代码主要做的是利用遗传算法对电动汽车有序充电进行优化;优化目标包括充电费用最低,充电时间达到要求(电动汽车充到足够的电)考虑电动汽车充电对电网负荷的影响,使负荷峰谷差最小。 分别利用传统、精英和变异遗传算法进行对比算法优劣,比较迭代结果,优化变量为起始充电时刻 --以下内容来源于机器人解读,有可能是一本正经的胡说八道,仅供参考 这段代码是一个利用遗传算法对电动汽车有序充电进行优化的程序。该程序的主要目标是使电动汽车的充电费用最低,同时保证充电时间达到要求,并且考虑了电动汽车充电对电网负荷的影响,使负荷峰谷差最小。 该代码应用在电动汽车充电优化领域。它通过遗传算法来优化电动汽车的充电策略,以达到降低充电费用和负荷峰谷差的目标。 该代码的算法优势在于使用了遗传算法来搜索最优解,遗传算法具有全局搜索能力,可以找到较好的解决方案。此外,该代码还使用了轮盘赌选择、交叉和变异等遗传算法的基本操作,增加了算法的多样性和搜索能力。 需要注意的是,代码中的参数设置需要根据具体情况进行调整,如种群数量、迭代次数、交叉率、变异率等。

总之,通过对遗传算法在电动汽车有序充放电优化中的应用研究,我们能更好地平衡电动汽车充电需求和电网运行的稳定性,在实际应用中不断打磨这些算法和参数,让电动汽车充电更加智能、高效。
