在模长和幅角可自由变化的极坐标平面内,两点结构只有1个。就是一个点绕另一个点随机运动。
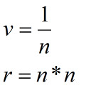
设a点固定不动,b到a的距离为r,b的速度为v,让rv=n,并设无论b单次移动的距离为多少需要的时间都相同为t,并让t=1,因此有s*r=n,就是设b单次移动的距离和b与a的距离的乘积只能是整数。
首先比较当sr=2的情况

如果让s和r只能是整数,解有4组
|---------|---|---------|---|---------|---|---------|
| 7,5,8,4 | | 5,6,3,6 | | 8,6,9,6 | | 8,6,7,6 |
| 5,5,4,4 | | 6,7,6,9 | | 6,8,6,9 | | 6,8,6,7 |
| 5,7,4,8 | | 7,6,9,6 | | 4,6,3,6 | | 4,6,5,6 |
| 7,7,8,8 | | 6,5,6,3 | | 6,4,6,3 | | 6,4,6,5 |
如7,5,8,4,点由(7,5)运动到(8,4)。(7,5)到(6,6)的距离为r=1.414,(7,5)到(8,4)的距离为s=1.414,因此sr=vr=2
4组数据分别为
|-------|-------|
| v | r |
| 1.414 | 1.414 |
| 2 | 1 |
| 1 | 2 |
| 1 | 2 |
这个点只能在这16个状态之间变化。
现在让vr=4

共有7组数据满足条件
|----------|---|-----------|---|----------|---|---------|---|----------|
| 8,6,10,6 | | 10,6,11,6 | | 10,6,9,6 | | 5,7,3,9 | | 6,5,6,1 |
| 6,4,6,2 | | 6,2,6,1 | | 6,2,6,3 | | 7,7,9,9 | | 5,6,1,6 |
| 4,6,2,6 | | 2,6,1,6 | | 2,6,3,6 | | 7,5,9,3 | | 6,7,6,11 |
| 6,8,6,10 | | 6,10,6,11 | | 6,10,6,9 | | 5,5,3,3 | | 7,6,11,6 |
| | | | | | | | | |
| 4,8,3,9 | | 4,4,5,5 | | | | | | |
| 8,8,9,9 | | 4,8,5,7 | | | | | | |
| 8,4,9,3 | | 8,8,7,7 | | | | | | |
| 4,4,3,3 | | 8,4,7,5 | | | | | | |
这7组数据的v和r分别为
|-------|-------|
| v | r |
| 2 | 2 |
| 1 | 4 |
| 1 | 4 |
| 2.828 | 1.414 |
| 4 | 1 |
| 1.414 | 2.828 |
| 1.414 | 2.828 |
如果允许v和r取小数,则可能得到v=1/4 ,r=16也就是

只要这个等式成立显然会得到vr=n,且

由

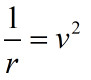
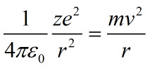
只要设介电常数,质量,电量都是1就可以得到1/r=v^2
也就是只要满足s=v=1/n,r=n^2就天然满足角动量量子化约束和点绕中心旋转约束。
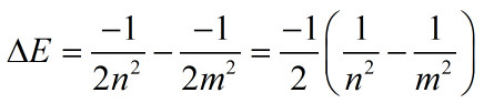
对应n的能级为

两个能级的差为

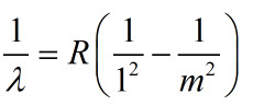
让n=1,m>1,并将常数代入显然可以得到

R=109677.578/cm
|------|-----------|---------|---------|
| m | cm | A | nm |
| 2 | 1.216E-05 | 1215.69 | 121.569 |
| 3 | 1.026E-05 | 1025.74 | 102.574 |
| 4 | 9.726E-06 | 972.553 | 97.2553 |
| 5 | 9.498E-06 | 949.759 | 94.9759 |
| 6 | 9.378E-06 | 937.819 | 93.7819 |
| 7 | 9.308E-06 | 930.763 | 93.0763 |
| 8 | 9.262E-06 | 926.241 | 92.6241 |
| 9 | 9.232E-06 | 923.165 | 92.3165 |
| 10 | 9.21E-06 | 920.978 | 92.0978 |
| 1000 | 9.118E-06 | 911.769 | 91.1769 |
如果让n=2,m>2得到

代入
|------|-----------|---------|---------|
| m | cm | A | nm |
| 3 | 6.565E-05 | 6564.73 | 656.473 |
| 4 | 4.863E-05 | 4862.76 | 486.276 |
| 5 | 4.342E-05 | 4341.75 | 434.175 |
| 6 | 4.103E-05 | 4102.96 | 410.296 |
| 7 | 3.971E-05 | 3971.26 | 397.126 |
| 8 | 3.89E-05 | 3890.21 | 389.021 |
| 9 | 3.837E-05 | 3836.53 | 383.653 |
| 10 | 3.799E-05 | 3799.03 | 379.903 |
| 1000 | 3.647E-05 | 3647.09 | 364.709 |
让n=3,m>3

|------|-----------|---------|---------|
| m | cm | A | nm |
| 4 | 0.0001876 | 18756.4 | 1875.64 |
| 5 | 0.0001282 | 12821.7 | 1282.17 |
| 6 | 0.0001094 | 10941.2 | 1094.12 |
| 7 | 0.0001005 | 10052.2 | 1005.22 |
| 8 | 9.549E-05 | 9548.7 | 954.87 |
| 9 | 9.232E-05 | 9231.65 | 923.165 |
| 10 | 9.017E-05 | 9017.49 | 901.749 |
| 1000 | 8.206E-05 | 8205.99 | 820.599 |