摘要
为降低 SOA(半导体光放大器)的增益纹波(详见上篇文章《【SOA 仿真 5】增益纹波计算》[1]),需在 SOA 的波导腔面上镀制 AR 增透膜(抗反射膜)。本文主要介绍多层膜的反射率计算核心方法 ------ 传输矩阵法(TMM),并提供对应的 Python 代码仿真实现及两款实用的多层膜计算工具,为 AR 增透膜的设计与优化提供技术支撑。
关键词
抗反射膜(AR),传输矩阵法(TMM),半导体光放大器(SOA),纹波,多层膜
1.核心公式
光学薄膜的核心是多层膜结构,通过将高折射率与低折射率薄膜交替层叠(类似三明治结构),控制膜层厚度、折射率及层数,可实现抗反射、增透、增反、滤光等特定光学功能。本文采用传输矩阵法(TMM, transfer matrix method)[2][3][4] 对多层膜特性进行分析,核心公式如下:
1.1特征矩阵公式
每个膜层都有一个自己的特征矩阵Mj,对于厚度为dj、折射率为nj,波矢量kj=2πnj/λ的层,传输矩阵为:

其中,rj为膜层界面处的菲涅尔反射系数。
1.2光的传播公式
在每一层中,电场可以表示为前向和后向传播波的叠加:

其中k是波矢量,n是复折射率,λ是波长。相邻层中场之间的关系可以用传输矩阵描述:

其中,Mj是第j层的传输矩阵,Aj、Bj分别为第j层中前向、后向电场的振幅。
1.3总传输矩阵公式
多层结构的总传输矩阵是各层矩阵的乘积:
其中,N是总层数
1.4菲涅尔系数公式
其中rj是界面处的菲涅尔反射系数。根据菲涅尔公式:

式中,n1,n2分别为相邻两介质的折射率,θ1、θ2分别为入射角与折射角。
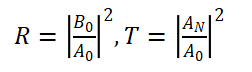
1.5总反射和透射率公式
多层膜的总反射和透射率可以从总传输矩阵中提取:

其中A0和B0是第一层中的入射和反射场幅度,AN是最后一层中的透射场幅度。
2.python代码仿真
根据上面公式,我们编制如下代码。
2.1定义初始参数

参数选择参考[2],已验证程序的正确性。
2.2反射率计算

2.3绘制反射率谱
扫描整个波段,并绘制反射率谱。

2.4 计算结果

3.使用tmm库计算
python有专用的tmm库,编程更简洁。设定参数后,调用tmm的coh_mm()函数,可直接获得反射率。

4多层膜计算器
4.1见合的多层膜计算器
使用第3节方法,我们编制了一个小工具,以方便后期的镀膜的频繁计算仿真。

链接:https://drive.weixin.qq.com/s?k=AO8AoQfDABoutL2v5B
注意:编辑膜系时,里面的厚度填写应为光学厚度,通常为λ/4,λ/2,3λ/4,程序内部会自行计算物理厚度。
4.2 在线多层膜计算器
链接:https://huanghub.com/zh/tools_tmm/
这个网址是一个在线多层膜模拟工具,简洁易用且可视化。
但该工具可能有计算错误,例如配置ALG膜层组合(na=1.0, nl=1.22, ng=1.5)时,未在550nm处得到理论计算的完全增透,大家可自行验证。
参考文献
1\] 天津见合八方,《【SOA仿真5】增益纹波计算》,天津见合八方公众号 2025.12 \[2\] 【微实验】光学薄膜膜系计算与仿真:从原理到MATLAB实现,CSDN \[3\] Songyou Lian," The Design and Calculation of Optical Anti-Reflected and Reflected Multilayer Film", Material Sciences 材料科学, 2017, 7(1), 78-87 \[4\] 多层光学薄膜模拟 \| Luocheng Huang *** ** * ** *** 天津见合八方光电科技有限公司(http://tj.jhbf.cc),是一家专注国产半导体光放大器SOA研发和生产的高科技企业,目前已推出多款半导体光放大器SOA产品(850nm,1060nm,1270nm,1310nm, 1550nm,1625nm)以及增益芯片RSOA产品(850nm,1310nm,1550nm),公司已建立了万级超净间实验室,拥有较为全面的光芯片的生产加工、测试和封装设备,并具有光芯片的混合集成微封装能力。目前公司正在进行NLL/ECL+SOA的混合集成器件、大功率SOA器件的研发工作,并可对外承接各种光电器件测试、封装和加工服务。