{ a x + b y = 0 a ′ x + b ′ y = 0 , { a x + b y + c z = 0 a ′ x + b ′ y + c ′ z = 0 a ′ ′ x + b ′ ′ y + c ′ ′ z = 0 , { a x + b y + c z + d t = 0 a ′ x + b ′ y + c ′ z + d ′ t = 0 a ′ ′ x + b ′ ′ y + c ′ ′ z + d ′ ′ t = 0 a ′ ′ ′ x + b ′ ′ ′ y + c ′ ′ ′ z + d ′ ′ ′ t = 0 \left\{ \begin{aligned} &ax + by &= 0 \\ &a'x + b'y &= 0 \end{aligned} \right. ,\quad \left\{ \begin{aligned} &ax + by + cz &= 0 \\ &a'x + b'y + c'z &=0 \\ &a''x + b''y + c''z &=0 \end{aligned} \right. ,\quad \left\{ \begin{aligned} &ax + by + cz + dt &= 0 \\ &a'x + b'y + c'z + d't &= 0 \\ &a''x + b''y + c''z + d''t &= 0 \\ &a'''x + b'''y + c'''z + d'''t &= 0 \end{aligned} \right. {ax+bya′x+b′y=0=0,⎩ ⎨ ⎧ax+by+cza′x+b′y+c′za′′x+b′′y+c′′z=0=0=0,⎩ ⎨ ⎧ax+by+cz+dta′x+b′y+c′z+d′ta′′x+b′′y+c′′z+d′′ta′′′x+b′′′y+c′′′z+d′′′t=0=0=0=0
a b ′ -- a ′ b = 0 , a b ′ c ′ ′ -- a b ′ ′ c ′ + a ′ b ′ ′ c -- a ′ b c ′ ′ + a ′ ′ b c ′ -- a ′ ′ b ′ c = 0 , ⋯ ab' -- a'b = 0,\quad ab'c'' -- ab''c' + a'b''c -- a'bc'' + a''bc' -- a''b'c = 0,\quad\cdots ab′--a′b=0,ab′c′′--ab′′c′+a′b′′c--a′bc′′+a′′bc′--a′′b′c=0,⋯
贝祖推导该类展开式的方法如下:
图一中贝祖给出了一套简洁的推导方法,依此方法可推导任意高阶行列式的展开式。
对于二元一次齐次联立方程组
{ a x + b y = 0 a ′ x + b ′ y = 0 \left\{ \begin{array}{c} ax + by = 0\\ a'x + b'y = 0 \end{array} \right. {ax+by=0a′x+b′y=0,
首先按字母顺序写出 a b ab ab,此处的 a a a 与 b b b 仅表示未知数 x x x 与 y y y 的系数,非第一个方程的系数。
将字母 b b b 向前移一位,得到 b a ba ba;字母每向前移一位,其前置符号按 + + +、 − - − 交替变化,由此可得 a b − b a ab-ba ab−ba。
最后,将每一项的第一个符号对应第一个方程的系数,第二个符号对应第二个方程的系数,即得 a b ′ − b a ′ ab'-ba' ab′−ba′;按未知数 x x x 的系数排序后,其形式与现代二阶行列式展开式一致:
∣ a b a ′ b ′ ∣ = a b ′ -- a ′ b \begin{vmatrix} a&b\\ a'&b' \end{vmatrix} = ab' -- a'b aa′bb′ =ab′--a′b
对于三元一次齐次联立方程组
{ a x + b y + c z = 0 a ′ x + b ′ y + c ′ z = 0 a ′ ′ x + b ′ ′ y + c ′ ′ z = 0 \left\{ \begin{array}{c} ax + by + cz = 0\\ a'x + b'y + c'z = 0\\ a''x + b''y + c''z = 0 \end{array} \right. ⎩ ⎨ ⎧ax+by+cz=0a′x+b′y+c′z=0a′′x+b′′y+c′′z=0,
先取二元方程组中得到的 a b ab ab 与 − b a -ba −ba,在两项后均添加符号 c c c,得到 a b c abc abc 与 − b a c -bac −bac;此处的 a a a、 b b b 与 c c c 仅表示未知数 x x x、 y y y 与 z z z 的系数,非第一个方程的系数。
将字母依次向前移一位,且每移动一位改变一次符号,可得 a b c , − a c b , c a b , − b a c , b c a , − c b a abc,-acb,cab,-bac,bca,-cba abc,−acb,cab,−bac,bca,−cba,合并为:
a b c -- a c b + c a b -- b a c + b c a -- c b a abc -- acb + cab -- bac + bca -- cba abc--acb+cab--bac+bca--cba
将每一项的第一个符号对应第一个方程的系数,第二个符号对应第二个方程的系数,即得:
a b ′ c ′ ′ -- a c ′ b ′ ′ + c a ′ b ′ ′ -- b a ′ c ′ ′ + b c ′ a ′ ′ -- c b ′ a ′ ′ ab'c'' -- ac'b'' + ca'b'' -- ba'c'' + bc'a'' -- cb'a'' ab′c′′--ac′b′′+ca′b′′--ba′c′′+bc′a′′--cb′a′′
按未知数 x , y , z x,y,z x,y,z 的系数顺序排列后,其形式与现代三阶行列式
∣ a b c a ′ b ′ c ′ a ′ ′ b ′ ′ c ′ ′ ∣ \begin{vmatrix} a&b&c\\ a'&b'&c'\\ a''&b''&c'' \end{vmatrix} aa′a′′bb′b′′cc′c′′
的展开式 a b ′ c ′ ′ -- a b ′ ′ c ′ + a ′ b ′ ′ c -- a ′ b c ′ ′ + a ′ ′ b c ′ -- a ′ ′ b ′ c ab'c'' -- ab''c' + a'b''c -- a'bc'' + a''bc' -- a''b'c ab′c′′--ab′′c′+a′b′′c--a′bc′′+a′′bc′--a′′b′c 一致。
Bézout, Étienne (1764). "Recherches sur le degré des Équations résultantes de l'évanouissement des inconnues, & sur les moyens qu'il convient d'employer pour trouver ces Équations'' : http://visualiseur.bnf.fr/ark:/12148/cb32786820s/date1764
杨浩菊 (2004). 《行列式理论历史研究》,西北大学博士论文。
西方行列式的发展:范德蒙的生平 (1)(The Development of Determinants in West: Vandermonde's Biography (1))
范德蒙在 35 岁时,受数学家贝尔丹(Alexis Fontaine des Bertins,1704-1771)的影响,开始产生对数学研究的兴趣。同年,他以非会员的身份在法国科学院宣读数学论文,这在当时是一项荣誉。受贝尔丹的引导与科学院学术氛围的影响,范德蒙的数学研究潜能被激发,在两年内完成四篇数学论文并提交至法国科学院,为其在数学史中奠定了相应的学术地位。1771 年,范德蒙被正式遴选为法国科学院会员。一位在 35 岁前未在数学领域留下研究成果的音乐研究者,在 36 岁成为国家科学院会员,这一经历在数学发展历程中较为特殊。范德蒙提交至法国科学院的四篇论文各有研究方向:第一篇(1771 年)提出方程式根的 m m m 次和公式,并证明当 n n n 为小于 10 10 10 的质数时,方程 x n − 1 = 0 x^n-1=0 xn−1=0 的解可通过根式表示;第二篇(1771 年)研究棋盘上的骑士漫游问题,该问题虽无直接的实际应用价值,属于趣味数学范畴,但其背后的数学结构与现代拓扑学存在关联;第三篇(1772 年)的研究内容与现代高中数学存在诸多关联,具备进一步研究的价值。
范德蒙定义了新的数学符号,表达式为:
p \] n = p ( p − 1 ) ( p − 2 ) ⋯ ( p − n + 1 ) \[p\]\^n = p(p - 1)(p - 2) \\cdots (p - n + 1) \[p\]n=p(p−1)(p−2)⋯(p−n+1)
第三篇论文的主要研究内容为该符号的运算规则与数学性质。
当 p p p 与 n n n 为正整数且满足 p ≥ n p\\ge n p≥n 时,范德蒙定义的符号 \[ p \] n \[p\]\^n \[p\]n 与现代数学中的排列数 p ! ( p − n ) ! \\frac{p!}{(p - n)!} (p−n)!p! 等价;
当 p = n p=n p=n 时, \[ n \] n \[n\]\^n \[n\]n 即为阶乘 n ! n! n!。
在范德蒙所处的时代,阶乘尚未有专属的数学符号,范德蒙为首个给出阶乘符号表示的数学家。此外,范德蒙定义的符号 \[ p \] n \[p\]\^n \[p\]n 具备良好的运算性与便捷性,由其定义可直接推导得到运算式 \[ p \] n = \[ p \] m \[ p − m \] n − m \[p\]\^n=\[p\]\^m\[p-m\]\^{n-m} \[p\]n=\[p\]m\[p−m\]n−m。仿照指数运算中零次幂与负次幂的定义方式,令 m = 0 m=0 m=0,可推得 \[ p \] 0 = 1 \[p\]\^0=1 \[p\]0=1;令 n = 0 n=0 n=0 且 m = − n m=-n m=−n,可推得负次幂的运算式:
\[ p \] − n = 1 \[ p + n \] n \[p\]\^{-n} = \\frac{1}{\[p + n\]\^n} \[p\]−n=\[p+n\]n1
基于运算结论 \[ p \] 0 = 1 \[p\]\^0=1 \[p\]0=1 与 \[ p \] − n = 1 \[ p + n \] n \[p\]\^{-n} = \\dfrac{1}{\[p + n\]\^n} \[p\]−n=\[p+n\]n1,范德蒙进一步推导出一系列相关运算公式:
**1. 升幂展开公式**
\[ p + 1 \] n = \[ p \] n + n \[ p \] n − 1 \[ p + 2 \] n = \[ p \] n + 2 n \[ p \] n − 1 + n ( n − 1 ) \[ p \] n − 2 \[ p + 3 \] n = \[ p \] n + 3 n \[ p \] n − 1 + 3 n ( n − 1 ) \[ p \] n − 2 + n ( n − 1 ) ( n − 2 ) \[ p \] n − 3 ⋯ ⋯ \\begin{aligned} \[p + 1\]\^n \&= \[p\]\^n + n\[p\]\^{n - 1} \\\\\[6pt\] \[p + 2\]\^n \&= \[p\]\^n + 2n\[p\]\^{n - 1} + n(n - 1)\[p\]\^{n - 2} \\\\\[6pt\] \[p + 3\]\^n \&= \[p\]\^n + 3n\[p\]\^{n - 1} + 3n(n - 1)\[p\]\^{n - 2} + n(n - 1)(n - 2)\[p\]\^{n - 3} \\\\ \&\\ \\cdots\\cdots \\end{aligned} \[p+1\]n\[p+2\]n\[p+3\]n=\[p\]n+n\[p\]n−1=\[p\]n+2n\[p\]n−1+n(n−1)\[p\]n−2=\[p\]n+3n\[p\]n−1+3n(n−1)\[p\]n−2+n(n−1)(n−2)\[p\]n−3 ⋯⋯
**2. 负幂运算公式**
\[ p + n \] n \[ p \] − n = 1 \[ p + m + n \] n \[ p \] − n = \[ p + m + n \] m \[ p \] − m \\begin{aligned} \[p + n\]\^n\[p\]\^{-n} \&= 1 \\\\\[6pt\] \[p + m + n\]\^n\[p\]\^{-n} \&= \[p + m + n\]\^m\[p\]\^{-m} \\end{aligned} \[p+n\]n\[p\]−n\[p+m+n\]n\[p\]−n=1=\[p+m+n\]m\[p\]−m
**3. 一般比值公式**
\[ q \] n \[ p \] − n = \[ p \] − ∞ \[ q \] − ∞ \[ p + n \] − ∞ \[ q − n \] − ∞ = ( p + n + 1 ) ( q − n + 1 ) ( p + n + 2 ) ( q − n + 2 ) ⋯ ( p + 1 ) ( q + 1 ) ( p + 2 ) ( q + 2 ) ⋯ ⋮ \\begin{aligned} \[q\]\^n\[p\]\^{-n} \&= \\frac{\[p\]\^{-\\infty}\[q\]\^{-\\infty}}{\[p + n\]\^{-\\infty}\[q - n\]\^{-\\infty}} \\\\ \&= \\frac{(p + n + 1)(q - n + 1)(p + n + 2)(q - n + 2)\\cdots}{(p + 1)(q + 1)(p + 2)(q + 2)\\cdots} \\\\ \&\\ \\vdots \\end{aligned} \[q\]n\[p\]−n=\[p+n\]−∞\[q−n\]−∞\[p\]−∞\[q\]−∞=(p+1)(q+1)(p+2)(q+2)⋯(p+n+1)(q−n+1)(p+n+2)(q−n+2)⋯ ⋮
在上述定义与运算公式中, p p p 与 n n n 并非限定为正整数,亦可取其他数值。例如当 p = 1 2 p=\\frac{1}{2} p=21、 n = 2 n=2 n=2 时,依定义可计算得:
\[ 1 2 \] 2 = 1 2 ( 1 2 − 1 ) = − 1 4 \\left\[\\frac{1}{2}\\right\]\^2 = \\frac{1}{2}\\left(\\frac{1}{2} -1\\right)=-\\frac{1}{4} \[21\]2=21(21−1)=−41
基于上述公式,尤其是无穷连乘积的运算表达式,范德蒙可将诸多无穷连乘积形式通过其定义的新符号进行简洁表示。例如令 q = n = 1 2 q = n = \\frac{1}{2} q=n=21、 p = − 1 2 p=-\\frac{1}{2} p=−21 代入公式,可得:
\[ 1 2 \] 1 2 \[ − 1 2 \] − 1 2 = 1 ⋅ 1 ⋅ 2 ⋅ 2 ⋅ 3 ⋅ 3 ⋯ 1 2 ⋅ 3 2 ⋅ 3 2 ⋅ 5 2 ⋅ 5 2 ⋅ 7 2 ⋯ = 2 ⋅ 2 ⋅ 4 ⋅ 4 ⋅ 6 ⋅ 6 ⋯ 1 ⋅ 3 ⋅ 3 ⋅ 5 ⋅ 5 ⋅ 7 ⋯ \\left\[\\frac{1}{2}\\right\]\^{\\frac{1}{2}}\\left\[-\\frac{1}{2}\\right\]\^{-\\frac{1}{2}} = \\frac{1 \\cdot 1 \\cdot 2 \\cdot 2 \\cdot 3 \\cdot 3 \\cdots }{\\frac{1}{2} \\cdot \\frac{3}{2} \\cdot \\frac{3}{2} \\cdot \\frac{5}{2} \\cdot \\frac{5}{2} \\cdot \\frac{7}{2} \\cdots} = \\frac{2 \\cdot 2 \\cdot 4 \\cdot 4 \\cdot 6 \\cdot 6 \\cdots }{1 \\cdot 3 \\cdot 3 \\cdot 5 \\cdot 5 \\cdot 7 \\cdots} \[21\]21\[−21\]−21=21⋅23⋅23⋅25⋅25⋅27⋯1⋅1⋅2⋅2⋅3⋅3⋯=1⋅3⋅3⋅5⋅5⋅7⋯2⋅2⋅4⋅4⋅6⋅6⋯
该式为华里斯(Wallis)公式的表达式,华里斯公式的标准形式为:
π 2 = 2 ⋅ 2 ⋅ 4 ⋅ 4 ⋅ 6 ⋅ 6 ⋯ 1 ⋅ 3 ⋅ 3 ⋅ 5 ⋅ 5 ⋅ 7 ⋯ \\frac{\\pi }{2} = \\frac{2 \\cdot 2 \\cdot 4 \\cdot 4 \\cdot 6 \\cdot 6 \\cdots }{1 \\cdot 3 \\cdot 3 \\cdot 5 \\cdot 5 \\cdot 7 \\cdots} 2π=1⋅3⋅3⋅5⋅5⋅7⋯2⋅2⋅4⋅4⋅6⋅6⋯
因此华里斯公式可通过范德蒙定义的符号简洁表示为:
π 2 = \[ 1 2 \] 1 2 ⋅ \[ − 1 2 \] − 1 2 \\frac{\\pi }{2} = \\left\[\\frac{1}{2}\\right\]\^{\\frac{1}{2}} \\cdot \\left\[-\\frac{1}{2}\\right\]\^{-\\frac{1}{2}} 2π=\[21\]21⋅\[−21\]−21
(见下图)
除此之外,范德蒙还将无理数的无穷连乘积表达式
2 = 3 ⋅ 5 ⋅ 7 ⋅ 9 ⋅ 11 ⋅ 13 ⋯ 2 ⋅ 6 ⋅ 6 ⋅ 10 ⋅ 10 ⋅ 14 ⋯ \\sqrt 2=\\frac{3 \\cdot 5 \\cdot 7 \\cdot 9 \\cdot 11 \\cdot 13 \\cdots }{2 \\cdot 6 \\cdot 6 \\cdot 10 \\cdot 10 \\cdot 14 \\cdots} 2 =2⋅6⋅6⋅10⋅10⋅14⋯3⋅5⋅7⋅9⋅11⋅13⋯
通过其定义的符号表示为:
2 = \[ 1 2 \] 1 4 ⋅ \[ − 1 2 \] − 1 4 \\sqrt{2}=\\left\[\\frac{1}{2}\\right\]\^{\\frac{1}{4}} \\cdot \\left\[-\\frac{1}{2}\\right\]\^{-\\frac{1}{4}} 2 =\[21\]41⋅\[−21\]−41

### 参考文献
* O'Connor, John and Robertson, Edmund (2001). "Alexandre-Théophile Vandermonde",
* Vandermonde, Alexandre-Théophile (1772). "Mémoire sur des Irrationnelles de différens ordres avec une application au cercle",
*** ** * ** ***
## 西方行列式的发展:范德蒙的生平 (2)(The Development of Determinants in West: Vandermonde's Biography (2))
Posted on 2014/09/22
**国立台南第一高级中学 林仓亿 老师**
1772 年范德蒙提交至法国科学院的第四篇论文,研究主题为现代数学中的行列式。在该篇论文中,范德蒙将行列式作为独立的数学研究对象,完成行列式的定义与性质推导后,将其应用于一次方程组的求解,即现代数学中的克拉玛公式。在莱布尼兹(Gottfried Wilhelm Leibniz,1646-1716)、克拉玛(Gabriel Cramer,1704-1752)、贝祖(Étienne Bézout,1730-1783)等数学家的早期研究中,已出现行列式的相关运算,但此类运算均依附于方程组的求解过程,并未成为独立的数学研究对象,彼时的研究重点为方程组的求解,而非行列式本身。范德蒙也因该篇论文被认定为行列式的创立者,其对行列式的具体研究方法将在后续内容中展开介绍。
范德蒙的研究领域并非局限于数学,在音乐与自然科学领域亦有相关研究成果。1776 年法国发生严重霜害,范德蒙与数学家贝祖、化学家拉瓦锡(Antoine-Laurent de Lavoisier,1743-1794)合作开展低温实验,研究霜害的产生与影响,并于 1777 年发表相关研究成果。除自然现象的研究外,范德蒙还与数学家蒙日(Gaspard Monge,1746-1818)、化学家贝托莱(Claude Louis Berthollet,1748-1822)合作完成两篇关于钢的制备的研究论文,通过尝试铁与碳的不同组合比例,探究适用于刺刀制作的钢的制备方法。出身音乐领域的范德蒙开展刺刀相关的研究,看似与其研究背景相悖,实则与蒙日存在直接关联。蒙日与法国军方保持着密切的联系,曾担任军事学校的数学与物理教授、海军军职遴选主考官等职务,法国大革命后被任命为海军部部长。蒙日为范德蒙的挚友,二者的亲密关系曾被戏称为"蒙日的女人"(*femme de Monge*),这也是范德蒙参与刺刀相关研究的原因。
在音乐领域,范德蒙于 1778 年与 1780 年向法国科学院提交两篇相关研究报告。在第二篇报告中,范德蒙提出,音乐家对音乐的评判应基于专业的听觉感知,而非依赖各类音乐理论,包括数学相关的音乐理论。自古希腊时期起,音乐便被归为数学的分支,数学也成为音乐研究的重要工具,而兼具数学家与音乐家双重身份的范德蒙,提出将音乐从数学领域中分离,这一观点在当时引发了诸多音乐家的反对。尽管范德蒙的观点在当时未被采纳,但在 19 世纪初,法国科学院将音乐从数学领域移出,归为艺术领域,这一分类方式延续至今,音乐不再被认定为数学的分支。
范德蒙在数学、自然科学与音乐领域均有相应贡献,但在其后期的研究历程中,政治活动成为其主要的投入方向,甚至为此搁置了学术研究,其投入程度可见一斑。1789 年法国大革命爆发后,范德蒙成为革命派的坚定支持者,因身体健康问题,未能全程参与相关政治活动,数年后在巴黎逝世。
如今范德蒙被后世熟知,源于以其名字命名的"范德蒙行列式",该行列式的三阶形式在台湾地区的高中数学教材中有所收录,其表达式为:
∣ 1 a a 2 1 b b 2 1 c c 2 ∣ = ( b − a ) ( c − a ) ( c − b ) \\begin{vmatrix} 1\&a\&a\^2\\\\ 1\&b\&b\^2\\\\ 1\&c\&c\^2 \\end{vmatrix} = (b - a)(c - a)(c - b) 111abca2b2c2 =(b−a)(c−a)(c−b)
值得注意的是,"范德蒙行列式"并未出现在范德蒙的任何著作中,有研究认为是后人对范德蒙定义的数学符号产生误解,进而认定该行列式由范德蒙提出。尽管如此,包括台湾地区在内,世界各地的数学家均已习惯将该行列式称为"范德蒙行列式",这一命名也成为纪念范德蒙对行列式理论发展所做贡献的特殊方式。
### 参考文献
1. O'Connor, John and Robertson, Edmund (2001). "Alexandre-Théophile Vandermonde",
2. Vandermonde, Alexandre-Théophile (1772). "Mémoire sur des Irrationnelles de différens ordres avec une application au cercle",
3. Ycart, Bernard and Kuntzmann, Laboratoire Jean (2013). "A case of mathematical eponymy: the Vandermonde determinant", *Revue d'Histoire des Mathématiques* , 9(1), pp.43-77.( )
*** ** * ** ***
## 西方行列式的发展:范德蒙的研究(The Development of Determinants in West: Vandermonde's Work)
Posted on 2014/09/22
**国立台南第一高级中学 林仓亿 老师**
范德蒙于 1772 年提交至法国科学院的论文〈关于消去法的报告〉(*Mémoire sur l'Élimination*),是首篇将行列式运算作为独立研究主题的数学论文。在该论文中,范德蒙首先完成了行列式相关符号的定义(见图一):

**图一**
现今通行的记法为将下标横向并列书写,而范德蒙采用上下排列的方式表示下标,因此符号 α a \\begin{array}{c} \\alpha \\\\ a \\end{array} αa 对应现代行列式中第 α \\alpha α 行第 a a a 列的元素。基于此,范德蒙定义的符号 α ∣ β a ∣ b \\frac{\\left. \\alpha \\right\|\\beta}{\\left. a \\right\|b} a∣bα∣β 可视为仅标注主对角线元素的二阶行列式 ∣ t α a t β b ∣ \\begin{vmatrix} t_{\\alpha a}\&\\\\ \&t_{\\beta b} \\end{vmatrix} tαatβb ,主对角线确定后,其余元素的下标可依此推导(第一、二行的第一个下标分别为 α \\alpha α 与 β \\beta β,第一、二列的第二个下标分别为 a a a 与 b b b),即:
α ∣ β a ∣ b = α a . β b − α b . β a \\frac{\\left. \\alpha \\right\|\\beta}{\\left. a \\right\|b} = \\begin{array}{c} \\alpha \\\\ a \\end{array}\\;. \\;\\begin{array}{c} \\beta \\\\ b \\end{array} - \\begin{array}{c} \\alpha \\\\ b \\end{array}\\;. \\;\\begin{array}{c} \\beta \\\\ a \\end{array} a∣bα∣β=αa.βb−αb.βa
用现代行列式符号表示为:
∣ t α a t α b t β a t β b ∣ = t α a ⋅ t β b − t α b t β a \\begin{vmatrix} t_{\\alpha a}\&t_{\\alpha b}\\\\ t_{\\beta a}\&t_{\\beta b} \\end{vmatrix} = t_{\\alpha a} \\cdot t_{\\beta b} - t_{\\alpha b}t_{\\beta a} tαatβatαbtβb =tαa⋅tβb−tαbtβa
在三阶行列式的表达式中,
α a ∣ β b ∣ γ c = α a . β b ∣ γ c + α b . β c ∣ γ a + α c . β a ∣ γ b \\left. {\\left. {\\frac{\\alpha}{a}} \\right\|\\frac{\\beta}{b}} \\right\|\\frac{\\gamma}{c} = \\begin{array}{c} \\alpha \\\\ a \\end{array}\\;. \\left. {\\frac{\\beta}{b}} \\right\|\\frac{\\gamma}{c} + \\begin{array}{c} \\alpha \\\\ b \\end{array}\\;. \\left. {\\frac{\\beta}{c}} \\right\|\\frac{\\gamma}{a} + \\begin{array}{c} \\alpha \\\\ c \\end{array}\\;. \\left. {\\frac{\\beta}{a}} \\right\|\\frac{\\gamma}{b} aα bβ cγ=αa.bβ cγ+αb.cβ aγ+αc.aβ bγ
令 α = 1 、 a = 1 \\alpha=1、a=1 α=1、a=1, β = 2 、 b = 2 \\beta=2、b=2 β=2、b=2, γ = 3 、 c = 3 \\gamma=3、c=3 γ=3、c=3,可得:
1 1 ∣ 2 2 ∣ 3 3 = 1 1 . 2 2 ∣ 3 3 + 1 2 . 2 3 ∣ 3 1 + 1 3 . 2 1 ∣ 3 2 \\left. {\\left. {\\frac{1}{1}} \\right\|\\frac{2}{2}} \\right\|\\frac{3}{3} = \\begin{array}{c} 1 \\\\ 1 \\end{array}\\;. \\left. {\\frac{2}{2}} \\right\|\\frac{3}{3} + \\begin{array}{c} 1 \\\\ 2 \\end{array}\\;. \\left. {\\frac{2}{3}} \\right\|\\frac{3}{1} + \\begin{array}{c} 1 \\\\ 3 \\end{array}\\;. \\left. {\\frac{2}{1}} \\right\|\\frac{3}{2} 11 22 33=11.22 33+12.32 13+13.12 23
该式为现代三阶行列式按第一行展开的结果,用现代符号表示为:
∣ t 11 t 12 t 13 t 21 t 22 t 23 t 31 t 32 t 33 ∣ = t 11 ∣ t 22 t 23 t 32 t 33 ∣ + t 12 ∣ t 23 t 21 t 33 t 31 ∣ + t 13 ∣ t 21 t 22 t 31 t 32 ∣ \\begin{vmatrix} t_{11}\&t_{12}\&t_{13}\\\\ t_{21}\&t_{22}\&t_{23}\\\\ t_{31}\&t_{32}\&t_{33} \\end{vmatrix} = t_{11}\\begin{vmatrix} t_{22}\&t_{23}\\\\ t_{32}\&t_{33} \\end{vmatrix} + t_{12}\\begin{vmatrix} t_{23}\&t_{21}\\\\ t_{33}\&t_{31} \\end{vmatrix} + t_{13}\\begin{vmatrix} t_{21}\&t_{22}\\\\ t_{31}\&t_{32} \\end{vmatrix} t11t21t31t12t22t32t13t23t33 =t11 t22t32t23t33 +t12 t23t33t21t31 +t13 t21t31t22t32
客观而言,范德蒙定义的行列式符号较现代行列式符号更为简洁,在行列式的降阶展开运算中具备更高的便捷性。范德蒙提出的行列式展开方法仅包含两个基本步骤:
(1) 以三阶行列式为例,首先写出 1 . 2 ∣ 3 \\begin{array}{c} 1\\\\ {} \\end{array}\\;. \\left. {\\frac{2}{{}}} \\right\|\\frac{3}{{}} 1.2 3,随后在下方依次填入数字组合 123 123 123、 231 231 231、 312 312 312,每次将数字向前移动一位,最左侧数字移至最右侧,直至出现重复组合;
(2) 确定展开式中各项的运算符号,偶数阶行列式展开式的符号为 + -- + -- + − ⋯ + -- + -- + -\\cdots +--+--+−⋯,奇数阶行列式展开式的各项均取正号。
可分别通过范德蒙的符号与现代行列式符号完成四阶行列式的展开,对比两种记法在运算中的优劣。
完成行列式符号的定义后,范德蒙进一步推导了行列式的相关性质与运算公式,例如"行列式中任意两行互换,其值变号":

又如"行列式中任意两行或任意两列元素相同,其值为 0":

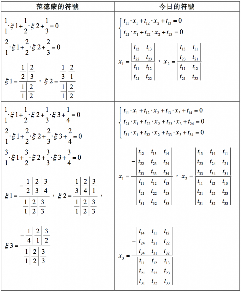
范德蒙在完成行列式相关公式的推导后,将其定义的符号应用于方程组的求解,推导出现代数学中的克拉玛公式(见图二、图三):

范德蒙推导的克拉玛公式与现代克拉玛公式仅存在符号表示的差异,在一般性与抽象化程度上与现代公式保持一致。尽管范德蒙仅推导了二阶与三阶形式的克拉玛公式,但其推导方法可推广至高阶行列式,且能简洁表示任意高阶的克拉玛公式,相较于前人的研究(参阅本网站克拉玛公式的相关文章),实现了显著的学术突破。
范德蒙的该篇论文共计 17 页,克拉玛公式的相关内容占比为一半,剩余内容中,范德蒙继续推导了行列式的相关运算公式、提出了行列式的多种展开方法,并将研究方向转向高次方程组的求解,这部分内容可由读者自行研究。

**图二**

**图三**
结合图三的内容可知,在《西方行列式的发展:范德蒙的生平 (2)》中提及的"范德蒙行列式"为命名上的特殊情况,而图三或为该命名的起源。将图三中方程组的系数表示为行列式,可得:
∣ 1 1 2 1 3 1 1 2 2 2 3 2 1 3 2 3 3 3 ∣ \\begin{vmatrix} _1\^1\&_2\^1\&_3\^1\\\\ _1\^2\&_2\^2\&_3\^2\\\\ _1\^3\&_2\^3\&_3\^3 \\end{vmatrix} 111213212223313233
勒贝格(Henri Léon Lebesgue,1875-1941)推测,后人将该行列式中的上下标误解为指数形式,进而得到:
∣ t 1 1 t 2 1 t 3 1 t 1 2 t 2 2 t 3 2 t 1 3 t 2 3 t 3 3 ∣ = t 1 ⋅ t 2 ⋅ t 3 ⋅ ∣ 1 1 1 t 1 t 2 t 3 t 1 2 t 2 2 t 3 2 ∣ \\begin{vmatrix} t_1\^1\&t_2\^1\&t_3\^1\\\\ t_1\^2\&t_2\^2\&t_3\^2\\\\ t_1\^3\&t_2\^3\&t_3\^3 \\end{vmatrix} = t_1 \\cdot t_2 \\cdot t_3 \\cdot \\begin{vmatrix} 1\&1\&1\\\\ t_1\&t_2\&t_3\\\\ t_1\^2\&t_2\^2\&t_3\^2 \\end{vmatrix} t11t12t13t21t22t23t31t32t33 =t1⋅t2⋅t3⋅ 1t1t121t2t221t3t32
由此,现代数学中的"范德蒙行列式"便应运而生,其标准形式为:
∣ 1 1 1 t 1 t 2 t 3 t 1 2 t 2 2 t 3 2 ∣ \\begin{vmatrix} 1\&1\&1\\\\ t_1\&t_2\&t_3\\\\ t_1\^2\&t_2\^2\&t_3\^2 \\end{vmatrix} 1t1t121t2t221t3t32
### 参考文献
* Vandermonde, Alexandre-Théophile (1772). "Mémoire sur l'Élimination",
* Ycart, Bernard and Kuntzmann, Laboratoire Jean (2013). "A case of mathematical eponymy: the Vandermonde determinant", *Revue d'Histoire des Mathématiques* , 9(1), pp.43-77.( )
* 杨浩菊 (2004). 《行列式理论历史研究》,西北大学博士论文。
*** ** * ** ***
## 西方行列式的发展:柯西的研究 (The Development of Determinants in West: Cauchy's Work)
Posted on 2014/09/22
**国立台南第一高级中学 林仓亿 老师**
现代数学中译作"行列式"的词汇"*determinantem* "(英文为"determinant"),首次出现在高斯(Carl Friedrich Gauss,1777-1855)于 1801 年出版的《算术研究》(*Disquisitiones Arithmeticae*) 中,彼时高斯将该词汇作为字面含义使用,即"决定的因素",用以表示多元高次多项式的"判别式",与现代数学中"行列式"的含义并不相同。
1812 年,柯西(Augustin-Louis Cauchy,1789-1857)在提交给法兰西学院(Institut de France)的第二篇论文中(1815 年出版),将"*déterminan*"(英文为"determinant")作为现代数学中"行列式"的专属名称,柯西也成为首个将该词汇用于表示行列式的数学家。
在介绍柯西的行列式研究前,需明确其 1812 年之前的数学研究背景。其一,函数为 19 世纪数学的研究主题之一,柯西亦深耕于各类函数的研究,其后续给出的函数定义与现代函数定义高度接近;其二,柯西对范德蒙(Alexandre-Theophile Vandermonde,1735-1796)的行列式研究成果十分熟悉(范德蒙并未为行列式命名),并在 1812 年的论文中多次引用范德蒙的研究结论。但范德蒙的论文仅完成了行列式新符号的定义与运算规则的推导(参阅本网站《西方行列式的发展:范德蒙的研究》一文),并未赋予行列式函数的内涵,而柯西的研究重点,即为从函数的视角对行列式进行定义。
从柯西 1812 年的论文中可看出,其对"交错对称函数"(alternating symmetric function) 展开了深入研究。对称函数的定义为:将函数中不同变量进行位置置换后,函数值保持不变,例如 f ( a 1 , a 2 , a 3 ) = ( a 2 + a 1 ) ( a 3 + a 1 ) ( a 3 + a 2 ) f(a_{1},a_{2},a_{3}) = (a_{2} + a_{1})(a_{3} + a_{1})(a_{3} + a_{2}) f(a1,a2,a3)=(a2+a1)(a3+a1)(a3+a2) 为对称函数,对 a 1 , a 2 , a 3 a_1,a_2,a_3 a1,a2,a3 进行任意置换,函数值均不发生变化。柯西定义的"交错对称函数"为:将函数中不同变量进行位置置换后,函数值保持不变或变为其相反数,例如 f ( a 1 , a 2 , a 3 ) = ( a 2 − a 1 ) ( a 3 − a 1 ) ( a 3 − a 2 ) f(a_{1},a_{2},a_{3}) = (a_{2} - a_{1})(a_{3} - a_{1})(a_{3} - a_{2}) f(a1,a2,a3)=(a2−a1)(a3−a1)(a3−a2)、 f ( a 1 , a 2 , a 3 ) = a 1 a 2 a 3 ( a 2 − a 1 ) ( a 3 − a 1 ) ( a 3 − a 2 ) f(a_{1},a_{2},a_{3}) = a_{1}a_{2}a_{3}(a_{2} - a_{1})(a_{3} - a_{1})(a_{3} - a_{2}) f(a1,a2,a3)=a1a2a3(a2−a1)(a3−a1)(a3−a2) 均为交错对称函数。
柯西从交错对称函数的视角出发,将行列式定义为由一组数对构成的函数,该定义方式与前人存在本质差异。以范德蒙的研究为对比,范德蒙首次将行列式从方程组的系数中分离,使其成为独立的数学研究对象,但最终研究目的仍为表示方程组的解(参阅本网站《西方行列式的发展:范德蒙的研究》一文);而柯西则进一步将行列式纳入函数的研究范畴,彻底脱离其与方程组的关联,为行列式理论的后续研究奠定了基础。柯西定义的行列式与现代行列式在本质上一致,但其定义方式具有一定的特殊性与复杂性,以下以三阶行列式为例,介绍柯西的行列式定义方式。
首先,令 a 1 , a 2 , a 3 a_1,a_2,a_3 a1,a2,a3 为三个互不相等的数,定义函数 S ( ± a 1 1 a 2 2 a 3 3 ) S( \\pm a_{1}\^1a_{2}\^2a_{3}\^3) S(±a11a22a33),其表达式为:
S ( ± a 1 1 a 2 2 a 3 3 ) = a 1 a 2 a 3 ( a 2 − a 1 ) ( a 3 − a 1 ) ( a 3 − a 2 ) S( \\pm a_{1}\^1a_{2}\^2a_{3}\^3) = a_{1}a_{2}a_{3}(a_{2} - a_{1})(a_{3} - a_{1})(a_{3} - a_{2}) S(±a11a22a33)=a1a2a3(a2−a1)(a3−a1)(a3−a2)
将等号右侧展开并整理,可得:
S ( ± a 1 1 a 2 2 a 3 3 ) = a 1 a 2 2 a 3 3 + a 2 a 3 2 a 1 3 + a 3 a 1 2 a 2 3 − a 1 a 3 2 a 2 3 − a 3 a 2 2 a 1 3 − a 2 a 1 2 a 3 3 \\begin{aligned} S( \\pm a_{1}\^1a_{2}\^2a_{3}\^3) \&= a_{1}a_{2}\^2a_{3}\^3 + a_{2}a_{3}\^2a_{1}\^3 + a_{3}a_{1}\^2a_{2}\^3 \\\\ \&- a_{1}a_{3}\^2a_{2}\^3 - a_{3}a_{2}\^2a_{1}\^3 - a_{2}a_{1}\^2a_{3}\^3 \\end{aligned} S(±a11a22a33)=a1a22a33+a2a32a13+a3a12a23−a1a32a23−a3a22a13−a2a12a33
随后进行变量的形式转换:将表达式中所有的指数改写为第二个下标,即把 a i j a_i\^j aij 改写为 a i , j a_{i,j} ai,j,由此得到新的函数表达式:
S ( ± a 1 , 1 a 2 , 2 a 3 , 3 ) = a 1 , 1 a 2 , 2 a 3 , 3 + a 2 , 1 a 3 , 2 a 1 , 3 + a 3 , 1 a 1 , 2 a 2 , 3 − a 1 , 1 a 3 , 2 a 2 , 3 − a 3 , 1 a 2 , 2 a 1 , 3 − a 2 , 1 a 1 , 2 a 3 , 3 \\begin{aligned} S( \\pm a_{1,1}\\,a_{2,2}\\,a_{3,3}) \&= a_{1,1}a_{2,2}a_{3,3} + a_{2,1}a_{3,2}a_{1,3} + a_{3,1}a_{1,2}a_{2,3}\\\\ \&-a_{1,1}a_{3,2}a_{2,3} - a_{3,1}a_{2,2}a_{1,3} - a_{2,1}a_{1,2}a_{3,3} \\end{aligned} S(±a1,1a2,2a3,3)=a1,1a2,2a3,3+a2,1a3,2a1,3+a3,1a1,2a2,3−a1,1a3,2a2,3−a3,1a2,2a1,3−a2,1a1,2a3,3
柯武将该新函数 S ( ± a 1 , 1 a 2 , 2 a 3 , 3 ) S( \\pm a_{1,1}a_{2,2}a_{3,3}) S(±a1,1a2,2a3,3) 定义为"行列式"(*déterminan* ),并补充说明, a 1 , 1 , a 1 , 2 , ⋯ , a 3 , 3 a_{1,1},a_{1,2},\\cdots,a_{3,3} a1,1,a1,2,⋯,a3,3 这 9 9 9 个元素可排列为如下形式:
a 1 , 1 a 1 , 2 a 1 , 3 a 2 , 1 a 2 , 2 a 2 , 3 a 3 , 1 a 3 , 2 a 3 , 3 \\begin{array}{c} a_{\\,1,1}\&a_{\\,1,2}\&a_{\\,1,3}\\\\ a_{\\,2,1}\&a_{\\,2,2}\&a_{\\,2,3}\\\\ a_{\\,3,1}\&a_{\\,3,2}\&a_{\\,3,3} \\end{array} a1,1a2,1a3,1a1,2a2,2a3,2a1,3a2,3a3,3
在该排列形式的两侧添加竖直线段,取代原有的函数符号 S ( ± a 1 , 1 a 2 , 2 a 3 , 3 ) S( \\pm a_{1,1}a_{2,2}a_{3,3}) S(±a1,1a2,2a3,3),即可得到:
∣ a 1 , 1 a 1 , 2 a 1 , 3 a 2 , 1 a 2 , 2 a 2 , 3 a 3 , 1 a 3 , 2 a 3 , 3 ∣ = a 1 , 1 a 2 , 2 a 3 , 3 + a 2 , 1 a 3 , 2 a 1 , 3 + a 3 , 1 a 1 , 2 a 2 , 3 − a 1 , 1 a 3 , 2 a 2 , 3 − a 3 , 1 a 2 , 2 a 1 , 3 − a 2 , 1 a 1 , 2 a 2 , 3 \\begin{aligned} \\begin{vmatrix} a_{1,1}\&a_{1,2}\&a_{1,3}\\\\ a_{2,1}\&a_{2,2}\&a_{2,3}\\\\ a_{3,1}\&a_{3,2}\&a_{3,3} \\end{vmatrix} \&= a_{1,1}a_{2,2}a_{3,3} + a_{2,1}a_{3,2}a_{1,3} + a_{3,1}a_{1,2}a_{2,3} \\\\ \&- a_{1,1}a_{3,2}a_{2,3} - a_{3,1}a_{2,2}a_{1,3} - a_{2,1}a_{1,2}a_{2,3} \\end{aligned} a1,1a2,1a3,1a1,2a2,2a3,2a1,3a2,3a3,3 =a1,1a2,2a3,3+a2,1a3,2a1,3+a3,1a1,2a2,3−a1,1a3,2a2,3−a3,1a2,2a1,3−a2,1a1,2a2,3
该式即为现代数学中三阶行列式的展开式,柯西论文中的原始定义形式见图一,可通过原始文献验证该定义的合理性。

**图一**
上述定义中,转换后的元素 a 1 , 1 、 a 1 , 2 、 ⋯ 、 a 3 , 3 a_{1,1}、a_{1,2}、\\cdots、a_{3,3} a1,1、a1,2、⋯、a3,3 与原始变量 a 1 、 a 2 、 a 3 a_1、a_2、a_3 a1、a2、a3 并无实际关联, a 1 , 1 、 a 1 , 2 、 ⋯ 、 a 3 , 3 a_{1,1}、a_{1,2}、\\cdots、a_{3,3} a1,1、a1,2、⋯、a3,3 仅为 9 个任意的数,用现代数学术语描述,柯西定义了一个从 R × R × ⋯ × R ⏟ 9 个 R \\underbrace {\\mathbb{R}\\times\\mathbb{R}\\times\\cdots\\times\\mathbb{R}}_{9个\\mathbb{R}} 9个R R×R×⋯×R 到 R \\mathbb{R} R 的函数。
关于柯西的行列式定义,可补充以下三点内容:其一,将行列式定义为函数后,可进一步研究其函数运算性质,柯西在论文中继续推导了该函数的相关运算性质,得到了现代数学中的"乘法定理"与"展开定理",这两个定理与现代高中数学无直接关联,在此不作赘述;其二,尽管柯西在定义行列式时未结合方程组的系数,但仍通过该函数完成了克拉玛公式的表示;其三,柯西的创新点在于将双下标横向并列书写于元素的右下方,并将行列式排列为 n × n n\\times n n×n 的方形形式,这两种记法均被后人沿用,1841 年凯莱(Arthur Cayley,1821-1895)在 n × n n\\times n n×n 的方形形式两侧添加竖直线段后,便形成了现代行列式的标准符号。
### 参考文献
* Cauchy, Augustin-Louis (1815). "Mémoire sur les fonctions qui ne peuvent obtenir que deux valeurs égales et de signes contraires par suite des transpositions opérées entre les variables qu'elles renferment",
* O'Connor, John and Robertson, Edmund (1996). "Matrices and determinants",
* Ycart, Bernard and Kuntzmann, Laboratoire Jean (2013). "A case of mathematical eponymy: the Vandermonde determinant", *Revue d'Histoire des Mathématiques* , 9(1), pp.43-77.( )
* 杨浩菊 (2004). 《行列式理论历史研究》,西北大学博士论文。
*** ** * ** ***
## 西方行列式的发展:结语(The Development of Determinants in West: Concluding Remarks)
Posted on 2014/09/22
**国立台南第一高级中学 林仓亿 老师**
行列式在西方萌芽后,经众多数学家的持续研究与发展,历经百余年的时间逐渐形成完善的理论体系。为行列式理论发展作出贡献的数学家众多,《西方行列式的发展》系列文章仅选取其中数位进行简要介绍,拉格朗日(Joseph Lagrange,1736-1813)、拉普拉斯(Pierre-Simon marquis de Laplace,1749-1827)、比内(Jacques Philippe Marie Binet,1786-1856)、雅可比(Carl Gustav Jacob Jacobi,1804-1851)、凯莱(Arthur Cayley,1821-1895)、西尔维斯特(James Joseph Sylvester,1814-1897)等数学家,均为 20 世纪之前行列式理论的发展作出了不可磨灭的贡献。
从行列式的历史发展脉络可清晰看出,西方行列式的研究起源于一次方程组的求解,数学家在研究过程中发现,用方程组的系数表示解的过程中存在固定的规律,为表示该规律,不同数学家提出了各异的表示方法。
以三元一次方程组
{ a 1 x + b 1 y + c 1 z = d 1 a 2 x + b 2 y + c 2 z = d 2 a 3 x + b 3 y + c 3 z = d 3 \\begin{cases} a_{1}x + b_{1}y + c_{1}z = d_{1}\\\\ a_{2}x + b_{2}y + c_{2}z = d_{2}\\\\ a_{3}x + b_{3}y + c_{3}z = d_{3} \\end{cases} ⎩ ⎨ ⎧a1x+b1y+c1z=d1a2x+b2y+c2z=d2a3x+b3y+c3z=d3
为例,克拉玛通过 a i b j c k a_ib_jc_k aibjck 下标的排列与逆序数表示该规律(参阅本网站《克拉玛公式 (2):克拉玛的公式》一文);贝祖通过将 a b c abc abc 与 − b a c -bac −bac 中的 c c c 依次向前移动一个位置,且每移动一次改变一次符号的方式表示该规律(参阅本网站《西方行列式的发展:贝祖的研究》一文);范德蒙与柯西则通过各自独特的方式完成了行列式的定义(参阅本网站《西方行列式的发展:范德蒙的研究》与《西方行列式的发展:柯西的研究》)。
在对规律的表示方法的持续探索中,行列式的概念与符号不断完善,逐渐形成现代数学中的形式。
在现代高中数学的教学中,行列式以抽象符号与展开式的形式呈现给学生,略去了其历史发展脉络,难以激发学生的学习兴趣。例如在二阶行列式 ∣ a b c d ∣ \\begin{vmatrix} a\&b\\\\ c\&d \\end{vmatrix} acbd 的性质推导中,学生常产生抵触心理,认为直接展开得到 a d − b c ad-bc ad−bc 更具便捷性,无需进行复杂的性质推导;又如多数学生初次接触三阶行列式及其展开式
∣ a 1 a 2 a 3 b 1 b 2 b 3 c 1 c 2 c 3 ∣ = ⋯ = a 1 b 2 c 3 + a 2 b 3 c 1 + a 3 b 1 c 2 − a 3 b 2 c 1 − a 2 b 1 c 3 − a 1 b 3 c 2 \\begin{aligned} \\begin{vmatrix} a_{1}\&a_{2}\&a_{3}\\\\ b_{1}\&b_{2}\&b_{3}\\\\ c_{1}\&c_{2}\&c_{3} \\end{vmatrix} \&=\\cdots \\\\ \&= a_{1}b_{2}c_{3} + a_{2}b_{3}c_{1} + a_{3}b_{1}c_{2} - a_{3}b_{2}c_{1} - a_{2}b_{1}c_{3} - a_{1}b_{3}c_{2} \\end{aligned} a1b1c1a2b2c2a3b3c3 =⋯=a1b2c3+a2b3c1+a3b1c2−a3b2c1−a2b1c3−a1b3c2
时,多表现出疑惑甚至抵触的态度,对该运算规则的合理性提出质疑。行列式的历史发展脉络为从上述展开式的右侧推导至左侧,先有行列式的展开式,历经百余年的研究后,才形成现代行列式的符号;而现代教材的呈现方式则与之相反,从行列式的符号出发推导其展开式。这种呈现方式的反转,不仅忽略了行列式理论百余年的发展历程,更扼杀了学生对行列式的研究兴趣,使得行列式在学生的认知中仅为一套固定的计算法则,只需记忆即可。但值得注意的是,学生往往难以掌握真正需要理解的行列式主要内涵。在教学中可做一相关尝试:让学生展开一个四阶行列式(非高中数学教学内容),多数学生会直接将三阶行列式的展开方法(即图一与图二的方法)套用于四阶行列式,最终得到仅含 8 项的展开式,且未意识到该结果的错误性(四阶行列式的展开式应包含 24 项)。

图一与图二中的方法为三阶行列式的记忆与速算方法,在时间有限的纸笔测验中,该方法具备较高的解题效率,这是其主要优势。但脱离计算速度的考量,该方法相较于克拉玛或贝祖的方法,既缺乏数学研究的趣味性,也无法推广至高阶行列式的展开。若在教学中引入克拉玛、贝祖的表示方法,或范德蒙、柯西的行列式定义方式,不仅能拓宽学生的数学视野,还能降低行列式符号的抽象性,帮助学生更好地理解行列式的概念与符号内涵。
行列式起源于方程组的求解,逐渐发展为独立的数学概念与符号,随后被应用于几何、向量、矩阵等多个数学领域,最终被纳入线性代数的理论体系。本系列文章仅简要介绍了行列式理论的前期发展历程,其在各领域的应用与后续发展,将留待后续进行介绍。
*** ** * ** ***
## via:
* 西方行列式的發展:貝祖的研究 \| 2014[...](http://www.bibnum.education.fr/sites/default/files/Bezout-texte.pdf)p292-293
[https://case.ntu.edu.tw/highscope/西方行列式的發展:貝祖的研究(the-development-of-determinants-in-west-bezouts-work/index.html](https://case.ntu.edu.tw/highscope/%E8%A5%BF%E6%96%B9%E8%A1%8C%E5%88%97%E5%BC%8F%E7%9A%84%E7%99%BC%E5%B1%95%EF%BC%9A%E8%B2%9D%E7%A5%96%E7%9A%84%E7%A0%94%E7%A9%B6%EF%BC%88the-development-of-determinants-in-west-bezouts-work/index.html)
* 西方行列式的发展:范德蒙的生平(1)(The Development of Determinants in West: Vandermonde's Biography (1)) \| 2014
[https://case.ntu.edu.tw/highscope/西方行列式的發展:范德蒙的生平1(the-development-of-determinants-in-west-vandermonde/index.html](https://case.ntu.edu.tw/highscope/%e8%a5%bf%e6%96%b9%e8%a1%8c%e5%88%97%e5%bc%8f%e7%9a%84%e7%99%bc%e5%b1%95%ef%bc%9a%e8%8c%83%e5%be%b7%e8%92%99%e7%9a%84%e7%94%9f%e5%b9%b31%ef%bc%88the-development-of-determinants-in-west-vandermonde/index.html)
* 西方行列式的发展:范德蒙的生平(2)(The Development of Determinants in West: Vandermonde's Biography (2)) \| 2014
[https://case.ntu.edu.tw/highscope/西方行列式的發展:范德蒙的生平2(the-development-of-determinants-in-west-vandermonde/index.html](https://case.ntu.edu.tw/highscope/%e8%a5%bf%e6%96%b9%e8%a1%8c%e5%88%97%e5%bc%8f%e7%9a%84%e7%99%bc%e5%b1%95%ef%bc%9a%e8%8c%83%e5%be%b7%e8%92%99%e7%9a%84%e7%94%9f%e5%b9%b32%ef%bc%88the-development-of-determinants-in-west-vandermonde/index.html)
* 西方行列式的发展:范德蒙的研究(The Development of Determinants in West: Vandermonde's Work) \| 2014
[https://case.ntu.edu.tw/highscope/西方行列式的發展:范德蒙的研究-(the-development-of-determinants-in-west-vandermonde/index.html](https://case.ntu.edu.tw/highscope/%e8%a5%bf%e6%96%b9%e8%a1%8c%e5%88%97%e5%bc%8f%e7%9a%84%e7%99%bc%e5%b1%95%ef%bc%9a%e8%8c%83%e5%be%b7%e8%92%99%e7%9a%84%e7%a0%94%e7%a9%b6-%ef%bc%88the-development-of-determinants-in-west-vandermonde/index.html)
* Sur les formes quaternaires à deux séries de variables. Applications à la géométrie et au calcul intégral - Persée
* 西方行列式的发展:柯西的研究 (The Development of Determinants in West: Cauchy's Work) \| 2014
[https://case.ntu.edu.tw/highscope/西方行列式的發展:柯西的研究-(the-development-of-determinants-in-west-cauchys-work/index.html](https://case.ntu.edu.tw/highscope/%e8%a5%bf%e6%96%b9%e8%a1%8c%e5%88%97%e5%bc%8f%e7%9a%84%e7%99%bc%e5%b1%95%ef%bc%9a%e6%9f%af%e8%a5%bf%e7%9a%84%e7%a0%94%e7%a9%b6-%ef%bc%88the-development-of-determinants-in-west-cauchys-work/index.html)
* 西方行列式的发展:结语(The Development of Determinants in West: Concluding Remarks) \| 2014
[https://case.ntu.edu.tw/highscope/西方行列式的發展:結語(the-development-of-determinants-in-west-concluding-remarks)/index.html](https://case.ntu.edu.tw/highscope/%e8%a5%bf%e6%96%b9%e8%a1%8c%e5%88%97%e5%bc%8f%e7%9a%84%e7%99%bc%e5%b1%95%ef%bc%9a%e7%b5%90%e8%aa%9e%ef%bc%88the-development-of-determinants-in-west-concluding-remarks%ef%bc%89/index.html)