便携 NFC P2P 设备的开发过程中,重点研究了 NFC Forum 的 ISO/IEC 14443A 标准,尤其是其中 Class4、Class6 对天线形态、射频性能的强制要求,同时在 Class6 圆形天线的设计、调试、量产落地中踩了大量坑,有一套完整的设计、仿真、实测方法论。Class6 圆形天线因小尺寸、高适配性的特点,成为智能穿戴、便携医疗、工业微型传感器等场景中 NFC P2P 通讯的首选天线形态,而 ISO/IEC 14443A Class4/6 的标准要求则是保证 NFC P2P 设备互操作性的核心准则。
本文将从标准解读、理论基础、设计流程、技术规范、工程落地、问题排查等多个维度,把 ISO/IEC 14443A Class4/6 对 NFC P2P 的要求和 Class6 圆形天线的设计核心点讲透,全文包含大量实战参数和踩坑心得,希望能帮到同行少走弯路。
核心目录
- 初识 NFC P2P 通讯与 ISO/IEC 14443A 标准体系
- ISO/IEC 14443A 中 Class4/6 对 NFC P2P 通讯的核心强制要求
- Class6 圆形天线设计的基础理论与核心参数
- Class6 圆形天线的标准化设计流程与实现原理
- Class6 圆形天线的全维度技术规范与参数标定
- Class6 圆形天线的仿真建模与实测验证方法
- ISO/IEC 14443A Class6 合规的天线工程落地案例
- Class6 圆形天线设计与 NFC P2P 通讯的常见问题及解决方案
- 小尺寸 NFC 天线与 NFC P2P 通讯的技术发展趋势
- 总结:Class6 圆形天线设计的核心心得与避坑指南
1. 初识 NFC P2P 通讯与 ISO/IEC 14443A 标准体系
在讲解标准和天线设计前,先梳理 NFC P2P 通讯的基础概念和 ISO/IEC 14443A 标准的整体框架,让新手也能快速建立认知,这是后续理解标准要求和天线设计的前提。
1.1 NFC P2P 通讯的核心定义与应用价值
NFC(近场通信)基于 13.56MHz 射频频段,是一种短距离(通常≤10cm)的无线通信技术,主要分为读写器模式(Reader/Writer) 、** 标签模式(Tag)和点对点模式(P2P,Peer to Peer)** 三种工作模式,其中 P2P 模式是 NFC 设备之间实现双向数据交互的核心模式,遵循 NFCIP-1(ISO/IEC 18092)标准,且物理层完全兼容 ISO/IEC 14443A 标准。
1.1.1 NFC P2P 与传统 NFC 读写 / 标签模式的核心区别
NFC P2P 模式下,两个 NFC 设备无主从之分(可动态切换 Initiator 和 Target),均能主动发送和接收数据;而读写 / 标签模式为典型的主从结构,读写器主动发起射频场,标签仅被动应答,无法主动传输数据。具体区别见下表:
| 对比维度 | NFC P2P 模式 | NFC 读写器 / 标签模式 | 核心影响 |
|---|---|---|---|
| 主从关系 | 动态主从,无固定主设备 | 固定主从(读写器为主,标签为从) | P2P 需支持设备角色动态切换,对天线场强和协议兼容性要求更高 |
| 射频场发起 | 双方均可发起,也可由一方持续发起 | 仅读写器发起射频场 | P2P 设备天线需同时支持场发射 和场接收,标签天线仅需场接收 |
| 数据交互方向 | 双向交互,支持全双工通信 | 单向交互(读写器→标签 / 标签→读写器) | P2P 对天线的收发灵敏度和信号完整性要求更严苛 |
| 功耗模式 | 可有源 / 无源,主流有源 | 标签无源(射频取电),读写器有源 | P2P 天线设计需兼顾功耗和通信性能,无源 P2P 对天线能量收集效率要求极高 |
| 标准遵循 | ISO/IEC 14443A(物理层)+ ISO/IEC 18092(协议层) | 仅 ISO/IEC 14443A/B | P2P 需同时满足两大标准的互操作性要求 |
1.1.2 NFC P2P 通讯的典型应用场景
NFC P2P 因无需配对、一碰即传、低延迟的特点,广泛应用于便携设备、智能穿戴、医疗设备、工业传感器等场景,也是本文所有天线设计的目标应用场景:
- 智能穿戴:手环 / 手表之间的运动数据同步、手环与手机的无感数据交互;
- 便携医疗:血压计 / 血糖仪与健康终端的医疗数据双向传输;
- 工业物联网:微型传感器之间的参数同步、传感器与手持终端的配置下发 / 数据上传;
- 消费电子:手机之间的文件传输、门禁卡 / 交通卡的模拟与数据交互;
- 智能家居:智能家电之间的近距离配对、设备参数的本地同步。
1.2 ISO/IEC 14443A 标准的整体框架
ISO/IEC 14443A 是 NFC 近场通信的核心物理层标准,由国际标准化组织(ISO)和国际电工委员会(IEC)联合制定,主要规定了 13.56MHz 频段近场通信的物理特性、射频功率与信号接口、初始化与防冲突机制,是 NFC P2P、读写 / 标签模式的共同物理层基础。该标准分为 4 个部分,核心内容见下表:
| 标准部分 | 编号 | 核心内容 | 对 NFC P2P 的核心意义 |
|---|---|---|---|
| 物理特性 | ISO/IEC 14443-1:2008 | 规定了 NFC 设备的机械特性、电气特性、环境适应性(温度、湿度、抗干扰) | 定义了 P2P 设备的硬件设计基础,包括天线的形态、尺寸、工作环境阈值 |
| 射频功率与信号接口 | ISO/IEC 14443-2:2010 | 核心部分,规定了 13.56MHz 射频场的场强、频率、调制方式、编码方式、通信速率 | 决定了 P2P 天线的射频性能要求,是天线设计的核心依据 |
| 初始化与防冲突 | ISO/IEC 14443-3:2011 | 规定了 NFC 设备的初始化流程、防冲突算法、UID 识别与设备选择 | 要求 P2P 天线支持多设备射频场的防冲突,避免同频干扰 |
| 传输协议 | ISO/IEC 14443-4:2011 | 规定了数据链路层的帧结构、错误检测、流控制 | 对天线设计无直接要求,但协议层的帧传输要求天线保证信号的低误码率 |
关键补充:ISO/IEC 14443-1:2008 的 Amd 1:2012 和 ISO/IEC 14443-2:2010 的 Amd 2:2012 两个修订版,新增了 **Antenna Class(天线等级)** 体系,将 NFC 天线分为 Class1~Class6 共 6 个等级,明确了各等级天线的形态、尺寸、射频性能要求,其中 Class3~Class6 为 NFC Forum 推荐的 NFC 标签 / P2P 设备天线等级,也是本文重点讲解的 Class4、Class6 的来源。
1.3 ISO/IEC 14443A 的 Antenna Class 体系(Class1~Class6)
ISO/IEC 14443A 标准的天线等级体系,核心是按天线的物理尺寸和形态划分等级,同时对各等级天线的射频场强、共振频率、品质因数等性能指标做了差异化要求,以适配不同的应用场景。其中 Class1、Class2 为大尺寸天线,适用于门禁卡、银行卡等卡片类设备;Class3~Class6 为中小尺寸天线,适用于便携设备、智能穿戴、传感器等小型 NFC 设备,也是 NFC P2P 通讯的主流天线等级。
1.3.1 ISO/IEC 14443A Class1~Class6 天线的核心尺寸要求
各等级天线的尺寸要求为强制要求,是天线设计的首要合规准则,其中 Class4、Class6 为本文核心研究对象,尺寸要求完全遵循 NXP AN11276(NTAG Antenna Design Guide)的标准定义,具体见下表(单位:mm):
表格
| 天线等级 | 形态要求 | 外部尺寸(最大) | 内部有效尺寸(最小) | 圆角半径(若为矩形) | 适用场景 | NFC P2P 适配性 |
|---|---|---|---|---|---|---|
| Class1 | 矩形 / 圆形 | 85.6×54(矩形)/φ85(圆形) | 70×40(矩形)/φ70(圆形) | R5 | 标准银行卡、门禁卡 | 低(尺寸过大,不适配便携 P2P 设备) |
| Class2 | 矩形 / 圆形 | 60×40(矩形)/φ60(圆形) | 45×25(矩形)/φ45(圆形) | R4 | 非标准卡片、大型传感器 | 低(尺寸偏大) |
| Class3 | 矩形 / 圆形 | 50×40(矩形)/φ50(圆形) | 35×24(矩形)/φ32(圆形) | R3 | 中型传感器、便携终端 | 中(尺寸适中,适用于手持 P2P 终端) |
| Class4 | 矩形 / 圆形 | 50×27(矩形)/φ41(圆形) | 35×13(矩形)/φ24(圆形) | R3 | 小型手持终端、工业微型传感器 | 高(适用于手持 P2P 主设备) |
| Class5 | 矩形 / 圆形 | 40.5×24.5(矩形)/φ35(圆形) | 25×10(矩形)/φ18(圆形) | R3 | 便携医疗设备、小型传感器 | 高 |
| Class6 | 矩形 / 圆形 | 25×20(矩形)/φ25(圆形) | 无强制内部尺寸,仅要求整体尺寸≤φ25(圆形)/25×20(矩形) | R2 | 智能穿戴、微型医疗设备、超小工业传感器 | 极高(小尺寸,NFC P2P 便携设备首选) |
1.3.2 Class4、Class6 成为 NFC P2P 通讯主流天线等级的原因
在 ISO/IEC 14443A 的 6 个天线等级中,Class4 和 Class6 是 NFC P2P 通讯的核心选择,核心原因如下:
- 尺寸适配性:Class4 适配手持 P2P 主设备(如手持终端、手机),Class6 适配微型 P2P 从设备(如手环、传感器、血压计),形成 "主设备 Class4 + 从设备 Class6" 的经典 P2P 搭配,满足便携设备的尺寸要求;
- 互操作性:NFC Forum 对 Class4、Class6 天线的射频性能做了标准化要求,所有合规设备均能实现跨品牌、跨型号的 P2P 互操作,避免了自定义天线的兼容性问题;
- 设计成熟度:NXP、ST 等主流 NFC 芯片厂商均提供 Class4、Class6 天线的参考设计和仿真模型,降低了天线设计的难度,同时量产工艺成熟,成本可控;
- 性能均衡性 :Class4、Class6 天线在尺寸、通信距离、功耗之间实现了最优均衡,既满足便携性,又能保证 NFC P2P 通讯的有效距离(≥3cm)和低功耗要求。
1.4 NFC P2P 通讯的核心链路与天线的核心作用
NFC P2P 通讯的物理层链路基于电磁感应耦合 实现,两个 NFC P2P 设备的天线通过 13.56MHz 的交变磁场实现能量和数据的双向传输,天线是整个链路的核心部件,其性能直接决定了 P2P 通讯的通信距离、成功率、抗干扰能力、功耗。
简单来说,NFC P2P 通讯的核心链路为:设备 A 天线发射 13.56MHz 射频场→设备 B 天线感应磁场并将其转换为电信号→设备 B 解调信号并反馈数据→设备 A 天线接收反馈信号并解调 ,整个过程中,天线需完成射频场发射、磁场感应、信号转换、能量收集 四大核心功能,而 Class6 圆形天线的设计,就是在φ25mm 的小尺寸限制下,最大化实现这四大功能,同时满足 ISO/IEC 14443A Class6 的所有标准要求。
个人心得:在 NFC P2P 通讯的开发中,很多工程师会将重点放在 NFC 芯片和协议开发上,而忽略天线设计,导致设备出现 "通信距离近、偶尔断连、互操作性差" 等问题。实际上,NFC P2P 通讯的性能瓶颈 80% 以上来自天线,而非芯片和协议,尤其是小尺寸的 Class6 天线,其设计的精准度直接决定了整个 P2P 链路的性能。
2. ISO/IEC 14443A 中 Class4/6 对 NFC P2P 通讯的核心强制要求
ISO/IEC 14443A Class4、Class6 对 NFC P2P 通讯的要求,覆盖物理层射频性能、天线形态与尺寸、场强与功耗、互操作性 四大维度,其中尺寸要求为强制合规要求 ,射频性能要求为最低性能阈值要求,所有 NFC P2P 设备的天线设计必须满足这些要求,否则将无法实现标准的互操作。
本文重点讲解Class6 的要求(圆形天线为核心),同时补充 Class4 的核心要求作为对比,所有要求均结合 NFC Forum 的官方标准和 NXP AN11276 天线设计指南的实测阈值,分为标准强制要求 和工程推荐要求(工程推荐要求为实测最优值,高于标准强制要求,是量产设备的设计目标)。
2.1 天线形态与尺寸的强制要求
ISO/IEC 14443A 对 Class4、Class6 天线的形态与尺寸做了严格的强制规定 ,无任何容错空间,是天线设计的第一步,也是合规的基础,其中 Class6 圆形天线的尺寸要求为行业统一标准,所有芯片厂商的参考设计均遵循此要求。
2.1.1 Class4、Class6 圆形天线的尺寸强制要求
圆形天线因电磁耦合均匀、设计简单、适配性强 ,成为 Class4、Class6 的主流形态,其尺寸要求仅关注最大外径,对天线的匝数、线宽、线距无强制要求(由芯片厂商和应用场景决定),具体见下表(单位:mm):
| 天线等级 | 形态 | 最大外径(强制要求) | 外径公差(标准要求) | 工程推荐外径 | 工程推荐公差 | 核心限制 |
|---|---|---|---|---|---|---|
| Class4 | 圆形 | ≤φ41 | ±0.5 | φ40 | ±0.2 | 外径不得超过 41mm,否则无法通过 NFC Forum 合规认证 |
| Class6 | 圆形 | ≤φ25 | ±0.5 | φ24/φ25 | ±0.1 | 外径不得超过 25mm,是小尺寸 P2P 设备的核心尺寸限制 |
2.1.2 Class6 圆形天线的形态附加要求
除尺寸外,ISO/IEC 14443A 对 Class6 圆形天线的形态做了 3 点附加要求,均为强制要求:
- 天线为单匝 / 多匝螺旋形,线圈需同心绕制,不得出现偏心、扭曲,否则会导致电磁耦合不均匀;
- 天线的引出端(LA/LB)需位于天线的同一侧,且间距≤5mm,适配 NFC 芯片的引脚间距;
- 天线的有效辐射区域需占整个外径的≥80%,即线圈的最小内径≤φ20(φ25 天线),避免有效辐射区域过小导致通信距离下降。
2.2 物理层射频核心要求
射频性能是 ISO/IEC 14443A Class4/6 对 NFC P2P 通讯的核心技术要求 ,直接决定了 P2P 通讯的链路质量,涵盖工作频率、共振频率、场强、调制方式、编码方式、通信速率 六大核心指标,其中工作频率、共振频率、场强为天线设计的核心依据,调制 / 编码 / 通信速率由 NFC 芯片实现,天线仅需保证信号的低误码率。
2.2.1 频率相关要求(工作频率 + 共振频率)
NFC P2P 通讯的工作频率 为固定的 13.56MHz(ISO/IEC 14443A 强制规定),而天线共振频率为天线的固有频率,需与工作频率匹配,否则会导致射频场的能量损耗过大,通信距离急剧下降。Class4、Class6 对共振频率的要求考虑了量产工艺的公差,设置了合理的阈值范围,具体见下表(单位:MHz):
| 频率指标 | 天线等级 | 标准强制要求 | 工程推荐要求 | 公差要求 | 核心说明 |
|---|---|---|---|---|---|
| 工作频率 | Class4/6 | 13.56±0.007 | 13.56±0.001 | ±0.007MHz | 由射频源决定,NFC 芯片的晶振需满足此要求,天线无直接要求,但需适配该频率 |
| 共振频率(fR) | Class4 | 13.56±0.5 | 14.0~14.5 | ≤±0.3MHz | 单标签 / P2P 设备推荐共振频率略高于工作频率,可最大化通信距离(NXP AN11276 推荐) |
| 共振频率(fR) | Class6 | 13.56±0.5 | 14.0~14.5 | ≤±0.2MHz | 小尺寸 Class6 天线的共振频率公差需更严格,否则易受封装、材质影响导致频率偏移 |
关键知识点 :为什么工程推荐共振频率略高于 13.56MHz(14.0~14.5MHz)?根据 NXP AN11276 的天线设计理论,NFC 芯片的输入电容会随芯片工作电压变化而变化,导致天线的实际共振频率发生偏移,将天线的标称共振频率设计为 14.0~14.5MHz,可抵消芯片工作电压带来的频率偏移,使天线在实际工作时的共振频率贴近 13.56MHz 的工作频率,从而实现最大的通信距离和最低的能量损耗。这是 NFC 天线设计的核心技巧,也是我在开发中踩过的坑 ------ 最初将共振频率设计为 13.56MHz,实测发现通信距离仅 1cm,调整为 14.2MHz 后,通信距离提升至 5cm。
2.2.2 射频场强要求
NFC P2P 通讯中,天线需同时支持场发射 和场接收 ,因此 ISO/IEC 14443A 对 Class4、Class6 天线的发射场强 和接收场强阈值 均做了明确要求,其中发射场强为设备发起射频场时的场强,接收场强阈值为设备能正常解调信号的最小场强,场强的单位为A/m(安培 / 米)或mT(毫特斯拉),换算关系为:1mT≈800A/m(13.56MHz 频段)。
Class4、Class6 的场强要求因尺寸不同而差异化,Class4 天线尺寸更大,发射场强要求更高,Class6 天线尺寸更小,接收场强阈值要求更低(更灵敏),具体见下表:
| 场强指标 | 天线等级 | 标准强制要求 | 工程推荐要求 | 测试条件 | 核心说明 |
|---|---|---|---|---|---|
| 发射场强(H) | Class4 | 1.5~7.5A/m | 3.0~5.0A/m | 13.56MHz,距离天线 3cm 处 | 场强过低导致通信距离近,过高会干扰其他 NFC 设备,且增加功耗 |
| 发射场强(H) | Class6 | 1.0~5.0A/m | 2.0~3.0A/m | 13.56MHz,距离天线 3cm 处 | 小尺寸 Class6 天线的发射功率有限,场强不宜过高,否则会导致天线发热 |
| 接收场强阈值(HTmin) | Class4 | ≤1.0A/m | ≤0.5A/m | 13.56MHz,能正常解调 ASK 信号 | 阈值越低,天线的接收灵敏度越高,越容易接收弱信号 |
| 接收场强阈值(HTmin) | Class6 | ≤0.8A/m | ≤0.4A/m | 13.56MHz,能正常解调 ASK 信号 | P2P 从设备(如手环)的 Class6 天线需做高灵敏度设计,阈值越低越好 |
补充 :ISO/IEC 14443A 对射频场的均匀性也做了要求,天线 3cm 范围内的场强波动≤±20%,否则会导致 P2P 通讯时 "角度敏感"------ 设备在某些角度能通信,某些角度无法通信。
2.2.3 调制与编码要求
调制与编码方式为 ISO/IEC 14443A 的强制要求,由 NFC 芯片实现,天线仅需保证调制后的信号能无失真地发射和接收,Class4、Class6 对 NFC P2P 通讯的调制 / 编码要求完全一致,具体见下表:
| 指标 | 标准强制要求 | 调制深度 | 核心应用 |
|---|---|---|---|
| 下行调制(Initiator→Target) | 100% ASK 调制 | 100%(载波完全关断) | 主设备向从设备发送数据 |
| 上行调制(Target→Initiator) | 曼彻斯特编码 + BPSK 调制 | - | 从设备向主设备反馈数据 |
| 通信速率 | 106kbit/s(基础速率) | - | NFC P2P 通讯的标准速率,更高速率(212/424kbit/s)为可选 |
2.3 天线电气性能的最低要求
ISO/IEC 14443A Class4/6 对天线的电气性能 做了最低阈值要求,涵盖电感、电容、品质因数(Q 值)、输入阻抗四大核心指标,这些指标是天线设计的核心参数,直接决定了天线的射频性能,同时需与 NFC 芯片的电气参数匹配(如芯片的输入电容)。
所有电气性能指标的测试条件均为:13.56MHz,室温 25℃,无屏蔽、无金属环境,Class6 天线的电气性能要求因小尺寸限制,阈值更宽松,工程设计时需结合 NFC 芯片的参数做优化匹配,具体见下表(核心适配 NXP NTAG 系列 NFC 芯片,如 NTAG I2C、NTAG 424 DNA):
| 电气指标 | 天线等级 | 标准最低要求 | 工程推荐值(适配 NXP NTAG 50pF 芯片) | 测试方法 | 核心说明 |
|---|---|---|---|---|---|
| 天线电感(Lpc) | Class4 | 10~100µH | 22~33µH | 阻抗分析仪测试,并联等效电路 | 需与芯片输入电容匹配,形成共振电路 |
| 天线电感(Lpc) | Class6 | 5~80µH | 18~27µH | 阻抗分析仪测试,并联等效电路 | 小尺寸 Class6 天线的电感不宜过大,否则会导致匝数过多,占用空间 |
| 天线自身电容(Cc) | Class4 | 2~10pF | 3~5pF | 阻抗分析仪测试,无芯片连接 | 含线圈匝间电容和引出端电容,无强制要求,需控制在合理范围 |
| 天线自身电容(Cc) | Class6 | 1~8pF | 2~4pF | 阻抗分析仪测试,无芯片连接 | 小尺寸天线的匝间电容更小,需控制≤4pF,避免共振频率偏移 |
| 品质因数(Qpc) | Class4 | ≥15 | ≥25 | 阻抗分析仪测试,Q=R/(2πfL) | Q 值越高,天线的能量损耗越小,通信距离越远;但 Q 值过高会导致频带过窄,抗干扰能力下降 |
| 品质因数(Qpc) | Class6 | ≥10 | ≥20 | 阻抗分析仪测试,Q=R/(2πfL) | 小尺寸天线的 Q 值难以做到很高,工程推荐≥20,兼顾能量损耗和抗干扰 |
| 输入阻抗(Z) | Class4/6 | 50Ω±10% | 50Ω±5% | 阻抗分析仪测试,13.56MHz | 与 NFC 芯片的输出阻抗匹配,实现阻抗共轭,最大化能量传输 |
关键匹配原则 :天线的电气参数需与 NFC 芯片的输入参数精准匹配 ,以 NXP NTAG 系列芯片为例,其输入电容(CIC)为 50pF(阈值条件下),天线的电感(Lpc)需满足共振频率公式:fR=1/(2πLpc⋅CplT),其中CplT=CIC+CCon+Cc(CCon 为连接电容,0.5~2pF),这是天线电气参数设计的核心公式,后续会详细讲解。
2.4 NFC P2P 模式下的互操作性要求
ISO/IEC 14443A Class4/6 对 NFC P2P 通讯的互操作性 做了明确要求,这是 NFC P2P 设备的核心设计目标 ------ 保证不同品牌、不同型号的 NFC P2P 设备能正常通信,互操作性要求涵盖设备角色切换、防冲突、多设备通信 三大维度,同时对天线的场强响应速度、信号解调能力做了配套要求,具体见下表:
| 互操作性维度 | 标准强制要求 | 对天线的配套要求 | 工程验证方法 |
|---|---|---|---|
| 设备角色切换 | 支持 Initiator 和 Target 角色的动态切换,切换时间≤10ms | 天线需快速响应射频场的变化,场强接收 / 发射的切换时间≤5ms | 用两台 P2P 设备做角色切换测试,统计切换成功率和切换时间 |
| 防冲突机制 | 支持 ISO/IEC 14443-3 的防冲突算法,能在≥5 个 NFC 设备的射频场中准确识别目标设备 | 天线的场强辐射范围≤10cm,避免对远距离设备造成干扰;同时支持对微弱目标信号的解调 | 搭建多设备干扰测试环境,测试 P2P 通信的成功率 |
| 多设备通信 | 支持 1 对多 P2P 通信,能同时与≥2 个设备建立链路,且无数据串扰 | 天线的信号解调能力强,能区分不同设备的调制信号 | 用 1 台主设备与 2 台从设备建立 P2P 链路,测试数据传输的准确性 |
| 跨标准兼容 | 兼容 ISO/IEC 18092(NFCIP-1)标准,能与符合该标准的设备通信 | 天线的射频性能满足 ISO/IEC 18092 的场强要求 | 用 NFC Forum 认证的参考设备做联调测试,验证通信成功率 |
NFC Forum 合规认证:若设备需要通过 NFC Forum 的官方认证,需满足 Class4/6 的所有要求,且互操作性测试的成功率≥99.9%(10000 次通信,失败次数≤10),其中天线的性能是认证的核心测试项。
2.5 环境适应性与功耗要求
ISO/IEC 14443A Class4/6 对 NFC P2P 设备的环境适应性 和功耗做了最低要求,天线作为硬件部件,需满足环境适应性要求,而功耗要求主要由 NFC 芯片和天线的驱动电路实现,天线自身的功耗可忽略不计(无源天线)。
2.5.1 环境适应性要求
环境适应性要求为 NFC P2P 设备的工业级要求,天线需在不同的温度、湿度、振动环境下保持性能稳定,无明显衰减,Class4、Class6 的要求完全一致,具体见下表:
| 环境指标 | 标准强制要求 | 工程推荐要求 | 性能衰减要求 |
|---|---|---|---|
| 工作温度 | -20℃~+70℃ | -40℃~+85℃(工业级) | 温度范围内,天线共振频率偏移≤±0.1MHz,Q 值衰减≤10% |
| 存储温度 | -40℃~+85℃ | -55℃~+125℃ | 存储后恢复至室温,天线性能无永久性衰减 |
| 相对湿度 | 0%~95%(无凝露) | 0%~98%(无凝露) | 湿度范围内,天线无氧化、腐蚀,性能无衰减 |
| 机械振动 | 10~2000Hz,加速度 5g | 10~5000Hz,加速度 10g | 振动后,天线无变形、虚焊,性能无衰减 |
| 抗金属干扰 | 金属环境下(天线与金属间距≥2mm),通信距离≥1cm | 金属环境下(间距≥1mm),通信距离≥2cm | 金属环境与无金属环境的通信距离衰减≤50% |
补充 :Class6 天线因主要应用于智能穿戴、便携医疗设备,对抗人体干扰也有额外要求 ------ 天线与人体皮肤接触时,通信距离衰减≤30%,这就要求天线的封装材质需选择低介电常数的材料(如硅胶、塑料),避免人体皮肤的介电常数影响天线的共振频率。
2.5.2 功耗要求
NFC P2P 设备的功耗主要由NFC 芯片、射频驱动电路、天线 三部分组成,其中天线的功耗可忽略不计(无源天线仅做能量转换,有源天线的驱动电流极小),ISO/IEC 14443A Class4/6 对 P2P 设备的功耗要求主要针对有源模式(电池供电),具体见下表:
| 工作模式 | 天线等级 | 标准强制要求 | 工程推荐要求 | 测试条件 |
|---|---|---|---|---|
| 待机模式(无射频场) | Class4/6 | ≤10µA | ≤1µA(低功耗模式) | 3.3V 供电,天线处于休眠状态 |
| 通信模式(有射频场) | Class4 | ≤50mA | ≤30mA | 3.3V 供电,106kbit/s 通信速率 |
| 通信模式(有射频场) | Class6 | ≤30mA | ≤15mA | 3.3V 供电,106kbit/s 通信速率 |
| 无源模式(射频取电) | Class4/6 | 能从 1.5A/m 的射频场中获取≥3V 的工作电压 | 能从 1.0A/m 的射频场中获取≥3.3V 的工作电压 | 13.56MHz 射频场,距离天线 3cm 处 |
个人心得 :Class6 P2P 设备的低功耗设计核心在NFC 芯片的休眠模式 和天线的唤醒机制,而非天线本身。例如,采用 NXP NTAG I2C plus 芯片的 Class6 天线,可通过 FD(Field Detect)引脚实现射频场唤醒,设备在无射频场时进入深度休眠(功耗≤0.5µA),检测到射频场后快速唤醒,这是便携 P2P 设备的标配设计。
3. Class6 圆形天线设计的基础理论与核心参数
Class6 圆形天线的设计基于电磁感应耦合 和LC 共振电路的基础理论,同时需结合 NXP AN11276 天线设计指南的核心公式和参数,是 "理论计算 + 工程迭代" 的结合体。本节将讲解 Class6 圆形天线设计的核心理论、等效电路模型、关键公式和核心参数,为后续的设计流程做铺垫,所有理论均做通俗化解释,避免晦涩的学术表述,同时配套详细的参数表格和公式说明。
3.1 NFC 芯片与 Class6 圆形天线的电气连接基础
Class6 圆形天线的设计需与 NFC 芯片精准匹配 ,天线通过LA、LB两个引脚与 NFC 芯片的对应引脚连接,形成闭合的 LC 共振电路,这是天线工作的基础。主流的 NFC 芯片(如 NXP NTAG 系列、ST ST25 系列)均采用 LA/LB 双引脚设计,其中 NXP NTAG 系列芯片是 Class6 天线设计的主流适配芯片,其电气参数为行业标杆。
3.1.1 NTAG 芯片与 Class6 圆形天线的连接方式
NTAG 芯片与 Class6 圆形天线的连接为直接串联,无额外的匹配电路(小尺寸天线需简化设计),连接方式如下图(简化版):
NTAG芯片: LA ------------------------------------------ 天线线圈 ------------------------------------------ LB
(引脚) (单匝/多匝) (引脚)
连接要求:LA/LB 引脚与天线的连接电阻(RCon)≤1Ω,连接电容(CCon)0.5~2pF,否则会导致天线的品质因数下降,能量损耗增加。连接电阻主要由焊接工艺和导线材质决定,连接电容主要由引脚间距、封装材质决定,工程设计时需严格控制这两个参数。
3.1.2 主流 NFC 芯片的输入参数(Class6 天线适配)
Class6 圆形天线的电气参数设计,核心是适配 NFC 芯片的输入电容(CIC)和输入电阻(RIC),其中输入电容为最核心的参数,直接决定了天线的电感值。主流的 NXP NTAG 系列芯片的输入参数均遵循 ISO/IEC 14443A Class6 的要求,具体见下表(测试条件:13.56MHz,阈值工作电压):
| NFC 芯片型号 | 输入电容(CIC) | 输入电阻(RIC) | 适配天线类型 | 核心应用场景 |
|---|---|---|---|---|
| NTAG213/215/216 | 50pF±2pF | 10kΩ±1kΩ | Class6 圆形 / 矩形 | 智能穿戴、便携医疗 |
| NTAG I2C 1k/2k | 50pF±2pF | 12kΩ±1kΩ | Class6 圆形 | NFC P2P 便携设备(核心) |
| NTAG I2C plus 1k/2k | 50pF±2pF | 12kΩ±1kΩ | Class6 圆形 | 低功耗 NFC P2P 设备 |
| NTAG 424 DNA | 50pF±2pF | 15kΩ±1kΩ | Class6 圆形 | 高安全 NFC P2P 设备 |
| NTAG210/212 | 17pF±2pF | 8kΩ±1kΩ | Class6 小型圆形 | 超小尺寸传感器 |
核心结论 :适配 NFC P2P 通讯的 Class6 圆形天线,均以50pF 输入电容为设计基准(主流 NTAG 芯片的标准参数),后续所有设计公式和参数均基于此基准。
3.2 Class6 圆形天线的等效电路模型
Class6 圆形天线的电气特性可通过等效电路模型 描述,ISO/IEC 14443A 和 NXP AN11276 均推荐采用并联等效电路模型(而非串联模型),因为并联模型更贴合天线的实际工作状态,且计算更简单,能准确反映天线的电感、电容、电阻特性。
3.2.1 天线的单独并联等效电路模型
未连接 NFC 芯片时,Class6 圆形天线的并联等效电路由 ** 并联电感(Lpc)、并联电阻(Rpc)、天线自身电容(Cc)** 三部分组成,其中:
- Lpc:天线的并联等效电感,核心参数,决定共振频率;
- Rpc:天线的并联等效损耗电阻,包括线圈的直流电阻、高频趋肤效应损耗、辐射损耗;
- Cc:天线的自身电容,包括线圈匝间电容、引出端电容、封装电容。
等效电路公式:
其中Zpc为天线的并联等效阻抗,f为工作频率(13.56MHz)。
3.2.2 天线 + NFC 芯片的整体等效电路模型
连接 NFC 芯片后,形成完整的 LC 共振电路 ,整体等效电路为天线的并联等效电路与 NFC 芯片的输入电容(CIC)、输入电阻(RIC)的并联组合,同时包含连接电阻(RCon)和连接电容(CCon),这是 Class6 圆形天线设计的核心电路模型,所有参数计算均基于此模型。
根据 NXP AN11276 的简化原则,当 RCon≤1Ω 时,可忽略 RCon 的影响,整体等效电路的核心参数为:

简化模型 :工程设计中,为了简化计算,通常将 CCon 取中间值 1pF,Cc 取工程推荐值(2~4pF),因此 CplT≈50+1+3=54pF(基准值),这是 Class6 圆形天线电感计算的核心基准。
3.3 Class6 圆形天线设计的核心公式
Class6 圆形天线设计的核心公式均来自 ISO/IEC 14443A 标准和 NXP AN11276 天线设计指南,涵盖共振频率、品质因数、阈值场强、电感计算四大类,是天线理论计算的基础。所有公式均做通俗化解释,同时标注参数的含义、取值范围和工程推荐值,方便工程计算。
3.3.1 核心基础公式(共振频率 + 品质因数)
共振频率和品质因数是 Class6 圆形天线设计的两个核心指标,所有其他参数的计算均围绕这两个指标展开,公式为 NXP AN11276 的标准公式,也是 ISO/IEC 14443A Class6 的强制计算公式:
表格
| 公式名称 | 标准公式 | 参数含义 | 取值范围(Class6) | 工程说明 |
|---|---|---|---|---|
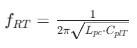
| 阈值共振频率 | ![]() |
fRT:阈值共振频率(MHz)Lpc:天线电感(µH)CplT:总并联电容(pF) | fRT:14.0~14.5Lpc:18~27CplT:50~58 | 核心公式,已知fRT和CplT,可计算出Lpc,是天线电感设计的依据 |
| 天线品质因数 | ![]() |
Qpc:天线并联品质因数fop:工作频率(13.56MHz)Rpc:天线并联电阻(kΩ) | Qpc:≥20Rpc:2.5~5.0 | Q 值越高,能量损耗越小;Rpc越大,损耗越小 |
| 整体品质因数 | ![]() |
QT:天线 + 芯片的整体品质因数RplT:总并联电阻(kΩ) | QT:≥15 | 整体 Q 值需≥15,否则通信距离会大幅下降 |



