西安建筑科技大学研究团队在《Frontiers of Environmental Science & Engineering》上发表重要成果, 构建了微纳米气泡(MNBs)与亚铁-草酸盐(Fe2+/Ox)协同的新型高级氧化-混凝体系,系统研究了其对双酚S(BPS)等多种新兴污染物的高效降解效能与协同强化机制。
技术核心:MNBs/Fe2+/Ox协同系统的构建
本研究旨在克服传统亚铁活化分子氧(Fe2+/O2)体系因氧利用率低而受限的难题。研究创新性地将具有卓越增氧能力的微纳米气泡技术与具有更强O2活化能力的Fe2+-草酸盐络合物相结合 ,构建了MNBs/Fe2+/Ox协同系统。系统中,MNBs采用行恒科技的LF-1500微纳米气泡发生器产生,工作压力保持为0.4 MPa。
实验系统模型展示了完整的反应流程:

系统效能:对多种新兴污染物的广谱高效去除
对BPS降解效率的显著提升
研究以双酚S(BPS)为主要目标污染物。结果表明,MNBs的引入可将Fe2+/Ox体系对BPS的去除效率提升约35%。在120分钟内,MNBs/Fe2+/Ox体系对BPS的降解率达到83%,是单独Fe2+/Ox体系(48%)的约1.7倍。
降解效果对比:

对其他污染物的适用性
除了BPS,该体系对**磺胺嘧啶(SDZ)、卡马西平(CBZ)和阿特拉津(ATZ)** 等其他三种结构各异的新兴污染物也展现出一定的降解能力:

证明了该工艺的广谱适用性。
关键参数优化:络合物形态与反应动力学
草酸盐与亚铁浓度的影响
研究通过改变Fe2+/Ox比例,探究了络合物形态对降解动力学的影响。结果表明:
- 降解速率 :主要取决于活性更高的**FeII(Ox)22-**络合物的浓度。
- 降解程度 :由FeII(Ox)22- 和FeII(Ox)0两种形态的总浓度共同决定。
草酸盐和亚铁离子浓度变化对BPS降解量及降解速率的影响规律:

MNBs的最佳增氧条件
通过优化微纳米气泡发生器的进气流量(Qg)、曝气时间和pH,确定了最佳增氧条件为:Qg = 10 mL/min,曝气时间 = 90秒,pH = 7。在此条件下,溶解氧(DO)浓度峰值最高,且后续维持稳定。
DO变化规律:

协同作用机制:氧化与混凝的双重强化
活性氧物种(ROS)鉴定与贡献
电子顺磁共振(EPR)和探针实验表明,该体系产生的主要活性氧物种为**羟基自由基(·OH)和超氧自由基(O2·-)** ,未检测到单线态氧(1O2)和铁(IV)。MNBs的参与显著增强了体系中ROS的信号强度。
EPR谱图:

通过自由基淬灭实验量化了不同途径的贡献:氧化作用(主要为·OH和O2·-)对BPS降解的贡献约占78% ,而混凝作用的贡献约占22%。
贡献率分析:

铁氢氧化物络合物的生成与混凝增强
Fe2+被氧化生成的Fe3+会水解产生一系列铁氢氧化物络合物,它们是混凝过程的关键物质。紫外光谱及分峰拟合分析表明,MNBs的参与显著提高了体系中单核(如FeOH2+, Fe(OH)2+)和多核(如Fe2(OH)24+, Fe3(OH)45+)铁氢氧化物络合物的浓度。
紫外光谱与物种浓度对比:

絮体特性分析进一步证实,MNBs参与下形成的絮体尺寸更大、分形维数更高、结构更致密,且对硫元素(来自BPS)的截留能力更强,表明其网捕卷扫效果更优。
环境因素影响与实际应用潜力
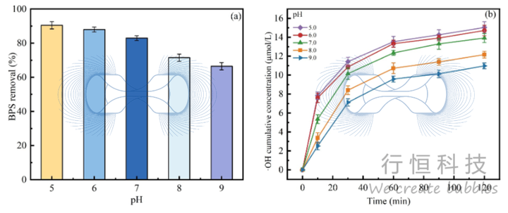
pH值的影响
中性和酸性条件更有利于BPS的降解。随着pH升高(5.0→9.0),BPS降解效率下降,因为高pH下Fe2+更易与OH-形成无反应活性的物种,减少了具有催化活性的Fe2+-草酸盐络合物总量。
pH影响:

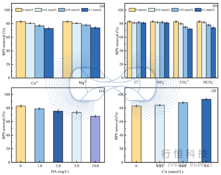
水体基质成分的影响
研究了常见离子和有机物的影响。
影响结果:

- 抑制因素:Ca2+、Mg2+(与草酸盐沉淀)、CO32-、HCO3-(消耗·OH并提高pH)以及腐殖酸(HA, 竞争·OH)会抑制降解。
- 促进因素:柠檬酸(CA)作为另一种配体,可促进活性物种生成。
- 无影响:Cl-、NO3-在实验浓度下影响 negligible。
BPS的降解路径分析
通过LC-MS鉴定了20种BPS的转化产物,并提出了两条主要降解路径(降解路径图):

- 苯环羟基化与开环:·OH攻击苯环发生羟基化,继而发生开环反应,生成小分子酸类物质。
- C-S键断裂:活性物种攻击电子云密度较高的硫原子,导致C-S键断裂,生成苯酚和苯磺酸类物质,并进一步氧化。
结论与创新点
- 工艺创新 :首次将MNBs的高效增氧特性 与Fe2+-草酸盐络合物的强效活化O2能力相结合,构建了新型协同体系。
- 效能显著:MNBs的加入使Fe2+/Ox体系对BPS的降解效率提升约35%,并具备广谱降解能力。
- 机理明晰 :明确了MNBs通过双重强化 发挥作用:一是增强氧化 ,通过提高DO浓度促进Fe2+/Ox络合物循环,产生更多·OH和O2·-;二是强化混凝,促进Fe3+水解生成更多具有混凝作用的铁氢氧化物络合物。
- 应用前景 :该体系为利用分子氧这一绿色氧化剂高效降解水中新兴污染物提供了新思路,拓展了MNBs技术的应用范围。
文献来源: Frontiers of Environmental Science & Engineering, 2025, 19(5): 66.
源文献链接 : https://doi.org/10.1007/s11783-025-1986-7
产品官网:nanoscientific.cn/
查看更多行恒科技设备的详细技术参数与产品手册
公司官网:http://www.xhtec.cn
了解行恒科技完整产品线、行业解决方案与最新案例
基金支持: 国家自然科学基金(Nos. 52470014, 52370100)等。
#微纳米气泡#行恒科技#亚铁-草酸盐体系#高级氧化#混凝#协同作用#新兴污染物