
1️⃣ 多场耦合地质体变形与破裂机理
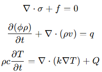
在油气开发过程中,地层同时受到应力场、渗流场、温度场和化学场的耦合作用,其基本控制方程可表示为

核心科学问题包括:
-
深部高温高压条件下岩石多场耦合破裂机制
-
孔隙压力---有效应力---裂缝扩展的动态反馈机制
-
注采扰动条件下断层稳定性与诱发地震机理
2️⃣ 深层与超深层地应力形成与演化机制
随着油气勘探向 7000--10000 m深层发展,地应力控制机制更加复杂。
关键科学问题:
-
构造应力、沉积应力与热应力的叠加机制
-
深层地应力空间非均匀性与尺度效应
-
构造演化过程中应力场的时空演化规律
3️⃣ 非均质储层岩石破裂与剪胀机理
非常规储层具有显著的层理、裂缝与矿物非均质性。
关键科学问题:
-
页岩、碳酸盐岩的各向异性破裂机制
-
裂缝网络形成的统计物理规律
-
剪胀、压密与裂缝扩展的竞争机制
4️⃣ 孔隙压力与地应力的协同演化机制
孔压变化直接控制有效应力:

关键科学问题:
-
孔压异常形成机理
-
孔压--应力--断层滑移的耦合反馈
-
注水、压裂诱发的应力再分布
5️⃣ 断层稳定性与诱发地震机理
近年来页岩气开发和储气库注采中,诱发地震成为研究热点。
关键科学问题:
- 速率--状态摩擦本构

-
孔压扩散控制下的断层失稳机制
-
人工活动诱发地震的临界应力条件