在仲氦光谱中有1s2到1s2p到1s15p的线,但没有1s2到1s2s的线,但1s2s的能级要比1s2p低。在正氦光谱中有1s2到1s2p到1s7p的线,但也仅有一条1s2到1s2s的线。所以氦原子从1s2更易跃迁到能量稍高一些的p轨道。

假设s轨道是p轨道的衍生
|---|---|---|----|---|---|---|
| 2 | | | 2 | | | 2 |
| | | | 1 | | | |
| | | | * | | | |
设正氦3个点的位置关系是核和点1固定,2绕平衡位置运动,能量是

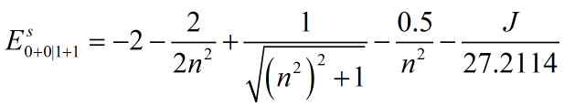
设衍生能量仅与动能有关

且导致总能量减小

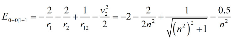
如计算当n=2
f10=(0.5*27.2114/4)*(0.5*27.2114/4)/10
f1= (-2-2/8+1/(17**0.5)-0.5/4)
f2=(2.904+f1 )*27.2
f3=(2.904+f1-f10/27.2)*27.2
print(f1,f2 ,f3)
f1=-2.132464374963667
f2=20.985769000988256
f3= 19.828799797925758
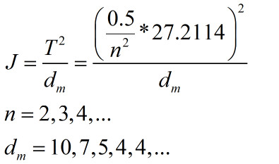
得到表格
|----|----------|------------|------------|----------|----|----------|-----------|--------------------|-----------|-------------|------|-----|-------|----------|
| | Ep | a | | | | J | Es | ΔE=|20.96677-Es| | 计算 | NIST实测 | | | | |
| n | ev | 0.5/(n*n) | a*27.2114 | a*a | dm | a*a/dm | Ep-J | ev | 1240/ΔE | nm | | | | 差 |
| 2 | 20.98577 | 0.125 | 3.401425 | 11.56969 | 10 | 1.156969 | 19.828801 | 1.137969203 | 1089.6604 | 1083.025011 | 1s2s | 3S | 1s2p | -6.63541 |
| 3 | 23.0592 | 0.0555556 | 1.5117444 | 2.285371 | 7 | 0.326482 | 22.732718 | 1.765948391 | 702.17228 | 706.519 | 1s2p | 3P° | 1s3s | 4.346724 |
| 4 | 23.73549 | 0.03125 | 0.8503563 | 0.723106 | 5 | 0.144621 | 23.590869 | 2.62409885 | 472.54317 | 471.31457 | 1s2p | 3P° | 1s4s | -1.2286 |
| 5 | 24.04393 | 0.02 | 0.544228 | 0.296184 | 4 | 0.074046 | 23.969884 | 3.003113971 | 412.90474 | 412.08154 | 1s2p | 3P° | 1s5s | -0.8232 |
| 6 | 24.21073 | 0.0138889 | 0.3779361 | 0.142836 | 4 | 0.035709 | 24.175021 | 3.208251074 | 386.50342 | 386.7472343 | 1s2p | 3P° | 1s6s | 0.243818 |
| 7 | 24.31113 | 0.0102041 | 0.2776673 | 0.077099 | 4 | 0.019275 | 24.291855 | 3.325085211 | 372.92277 | 373.2863477 | 1s2p | 3P° | 1s7s | 0.363574 |
| 8 | 24.37625 | 0.0078125 | 0.2125891 | 0.045194 | 4 | 0.011299 | 24.364951 | 3.398181473 | 364.90105 | 365.2123532 | 1s2p | 3P° | 1s8s | 0.3113 |
| 9 | 24.42087 | 0.0061728 | 0.1679716 | 0.028214 | 4 | 0.007054 | 24.413816 | 3.447046385 | 359.72826 | 359.9304502 | 1s2p | 3P° | 1s9s | 0.20219 |
| 10 | 24.45279 | 0.005 | 0.136057 | 0.018512 | 4 | 0.004628 | 24.448162 | 3.481392123 | 356.17935 | 356.2969075 | 1s2p | 3P° | 1s10s | 0.117553 |
| 11 | 24.4764 | 0.0041322 | 0.1124438 | 0.012644 | 4 | 0.003161 | 24.473239 | 3.506469098 | 353.63209 | | | | | |
| 12 | 24.49435 | 0.0034722 | 0.094484 | 0.008927 | 4 | 0.002232 | 24.492118 | 3.525348192 | 351.73831 | | | | | |
| 13 | 24.50832 | 0.0029586 | 0.0805071 | 0.006481 | 4 | 0.00162 | 24.5067 | 3.539929652 | 350.28945 | | | | | |
| 14 | 24.51941 | 0.002551 | 0.0694168 | 0.004819 | 4 | 0.001205 | 24.518205 | 3.551435326 | 349.15461 | | | | | |
| 15 | 24.52835 | 0.0022222 | 0.0604698 | 0.003657 | 4 | 0.000914 | 24.527436 | 3.560665851 | 348.24947 | | | | | |
计算得到的波长和实测波长
|-----------|-------------|
| 计算 | NIST实测 |
| 1240/ΔE | nm |
| 1089.6604 | 1083.025011 |
| 702.17228 | 706.519 |
| 472.54317 | 471.31457 |
| 412.90474 | 412.08154 |
| 386.50342 | 386.7472343 |
| 372.92277 | 373.2863477 |
| 364.90105 | 365.2123532 |
| 359.72826 | 359.9304502 |
| 356.17935 | 356.2969075 |
相差很小。