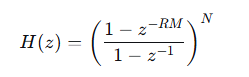
要从传递函数 
中 一眼看出 积分器和梳状器部分以及三级级联,需要对 CIC 滤波器的标准形式非常熟悉。下面我会分步拆解,让你不仅能看懂,而且以后看到类似形式能立刻反应过来。
1. 先记住 CIC 滤波器的"模板"
一个标准的 N 阶 CIC 抽取滤波器 的传递函数为:

- R:抽取因子(降采样倍数)
- M:差分延迟(通常取 1 或 2,常见为 1)
- N:级联阶数(也是积分器/梳状器的个数)
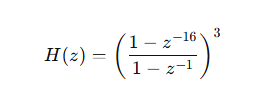
你的表达式正好是:

所以 R = 16,M = 1,N = 3。这是最标准的 CIC 滤波器。










要从传递函数 
中 一眼看出 积分器和梳状器部分以及三级级联,需要对 CIC 滤波器的标准形式非常熟悉。下面我会分步拆解,让你不仅能看懂,而且以后看到类似形式能立刻反应过来。
一个标准的 N 阶 CIC 抽取滤波器 的传递函数为:

你的表达式正好是:

所以 R = 16,M = 1,N = 3。这是最标准的 CIC 滤波器。









