第一章 绪论
第二章 PMSM理论原理
2.1 PMSM的自然坐标系电压方程
在引入自然坐标系的电压方程前,我们先不要看公式。尝试想一下什么会导致电压的产生,首先玩无线充电的朋友都知道电压的来源有几种:1.磁链的时间变化 2.电感乘以电流的微分 3.电阻乘以电流
通过了解电压的方程之后我们可以引出下图的公式,三相电压等于电流乘以三相电阻加上总磁链对时间的微分。
总磁链等于定子磁链(电流产生的自感/互感磁链)加上永磁体产生的磁链(永磁体穿过定子绕组的角度在变化,对a b c相的分成不一样)
2.1.1 电压方程


2.1.2 转矩方程(虚功定理+磁场储能)
在引入转矩公式和运动方程前我们需要了解一下磁场的储能和功率是怎么得出来的,经过下文的推导我们可以得出功率为各个相上电流和磁链的乘积的1/2,接着根据虚功定理功率:力等于能量对位移的微分,我们可以列出一个式子,但是考虑到电角度和实际角度存在一个线性的差,所以我们需要乘以pn来翻译。


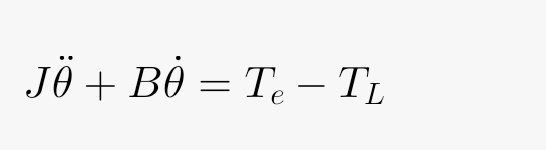
对于电机的运动方程我们可以列写以下方程
电机的转矩减去负载阻力的力量等于克服阻尼(摩擦之类)加上自身惯性(转动惯量)

2.2 PMSM的同步坐标系电压方程
2.2.1 电压方程
同步坐标系的电压方程,观察可以发现比较
