陆域地形引力场也称为陆域地形完全布格影响,定义为大地水准面以上地形质量对地球重力场(各种场元)的影响。
(1)扰动位的地形影响-完全布格影响

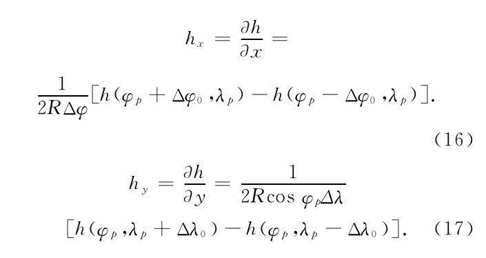
(2)扰动重力的完全布格影响

因此,关键的计算在于局部地形影响。
现有大量文献对地形改正计算提出了一系列解决方案,且通常将地形分为内区和外区。传统的平面计算方案,外区被视为无限布格平板,内区被近似为一有限范围且以计算点为中心的平面。FFT方法的出现提高了地形改正值的计算效率,但需要提供规则化格网形式的地形高输入数据。随着卫星重力观测技术的发展,以及全球性大尺度海量观测数据的获取,学者们开始了对球坐标系下重力场元的研究,该方法将地表近似为贴合的球面,外区为球面布格层,其量级约为平面无限布格层的两倍,内区则采用球面积分方法进行计算。



球面积分法的核心,是将地球的几何形态近似为一个球体或椭球体,而非一个无限延伸的平面。通过引入地球曲率,从根本上考虑了地形质量分布随地球表面的弯曲,这在下表中与平面近似法有明显区别:

计算策略与精度控制:由于 Tesseroid 单元的引力积分通常没有闭式解,实践中主要通过泰勒级数展开法来进行近似计算。泰勒展开的阶数直接影响计算的速度与精度,展开到二阶项通常在大多数情况下就能满足精度要求,这需要在计算速度和精度之间进行权衡。
结果表明:平面积分方法和平面FFT方法计算结果接近;球面积分计算结果与平面积分方法和平面FFT方法具有较大差异。三种方法存在差异的本质原因是近似面分别作为球面和平面产生的系统性影响不同,在对大面积地形开展积分时,球面更加能贴合地球形状,精度较高;局部地形改正值大小主要与计算点近区地形起伏有关,若近区地形起伏较大会对改正值产生很大影响,若近区地形较为平缓则其改正值多在0mGal附近,重力值几乎不受影响。计算重力局部地形改正时应根据地形起伏、分辨率,计算效率等要求选择合适的计算方法。在平原地区,地形起伏变化不大,无论采用球面积分或是平面积分,近区地形在垂直方向上没有较大差异,积分结果主要受算式中常数因子影响,这种情况考虑平面方法即可。鉴于FFT方法的速度优势,针对大面积的地形改正计算,此方法既能保证精度和球面积分近似,又能提高计算效率;在山区,球面积分对平面积分有很强的改善作用,为精度考虑,采用球面积分方法为宜。
一、傅里叶变换的基本思想
傅里叶变换是一种数学变换 ,它可以将一个函数从空间域(或时间域) 表示,转换到频率域表示。反过来,逆傅里叶变换则从频率域恢复出原来的空间域函数。
-
空间域:你直接看到的东西。比如一张地形高程图 ℎ(�,�)h(x,y),它告诉你每个坐标 (�,�)(x,y) 处的高程值。
-
频率域:用不同频率的"波纹"来描述同一个东西。低频成分对应大尺度、缓慢变化的地形(如山脉的整体趋势);高频成分对应小尺度、剧烈变化的地形(如局部陡崖、沟壑)。
傅里叶变换的核心思想是:任何周期或非周期的函数,都可以分解为一系列不同频率、不同振幅的正弦波(或复指数波)的叠加。



在球近似下,局部地形影响的积分公式需要从平面直角坐标系转换到球坐标系。这里给出最常用、最严密的球面积分公式,包括引力位、重力矢量(径向分量)以及地形改正的完整表达。







(1)扰动位局部地形影响

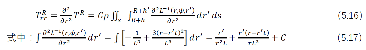
(2)扰动重力局部地形影响

(3)垂线偏差局部地形影响

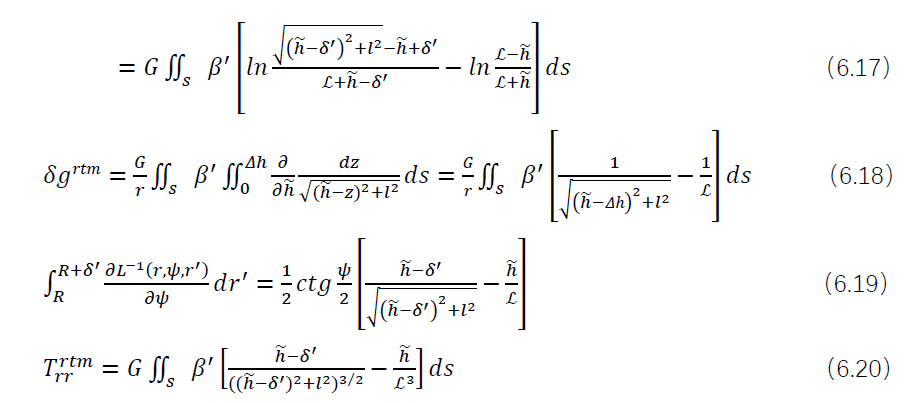
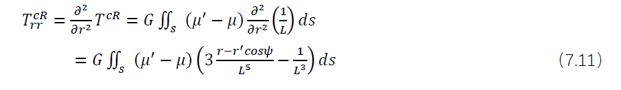
(4)扰动重力梯度局部地形影响

5)水平重力梯度局部地形影响

由于积分计算较慢,一般采用FFT方法加快计算速度。
(1)扰动位局部地形影响快速算法

(2)扰动重力局部地形影响快速算法

(3)垂线偏差局部地形影响快速算法

(4)扰动重力梯度局部地形影响快速算法

(5)水平重力梯度局部地形影响快速算法

海域地形场通常用海水完全布格影响表示。海水完全布格影响,定义为将海水密度补偿到陆地地形密度后,对地球重力场(各种场元)产生的影响。
根据定义,扰动位海水完全布格影响可用积分公式直接表示为:



各类场元的海水完全布格影响量级较大,实际计算时应采用较大积分半径,如积分半径不小于250km。
陆海剩余地形影响定义为陆海完全布格影响的短波、超短波部分。可以先构造陆海剩余地形模型,再按积分方法计算各种类型场元的剩余地形影响。
剩余地形模型可由同规格的高分陆海地形模型与低通陆海地形模型格网相减求得。为有效改善地球重力场逼近性能,PAGravf4.5推荐,低通陆海地形模型由截断到适合阶数的全球陆海地形质量球谐系数模型,按球谐综合方法计算。
剩余地形影响积分公式,与局部地形影响和海水完全布格影响的积分公式在形式上相同,只是采用的积分流动体元密度和径向积分域存在一些差异。
(1)地球外部各种场元剩余地形影响严密数值积分


(2)各种场元剩余地形影响积分快速FFT算法

均衡改正
一、问题根源:斯托克斯理论的"苛刻要求"
经典斯托克斯方法确定大地水准面的基本公式,其推导有一个绝对前提 :
大地水准面外部不能存在任何质量。
为什么?因为斯托克斯积分的被积函数,是建立在调和函数基础上的。如果大地水准面外部还有质量(比如高山、海洋上方的水体),那么该区域的引力位就不是调和的,斯托克斯公式不能直接使用。
但实际上,地球表面起伏剧烈,大地水准面之上不仅有雄伟的山脉,还有空气、海洋、湖泊、冰川......这些物质都在违反斯托克斯的前提条件。
二、"剥离"的两层含义
我们需要从观测的重力值中,消除所有因外部质量产生的重力效应,使得处理后的数据看起来像是"大地水准面外部空无一物"时测得的。这个过程就是"剥离"。它主要包括两个层次:
第一层:移去地形直接引力(布格校正)
-
"外部质量"是什么? 就是大地水准面以上的所有岩石、水、冰、空气。
-
如何剥离? 通过布格校正 (地形校正+中间层校正)。其物理实质是:计算这些外部物质对测点产生的引力(向上为正),然后从实测重力值中减去这个引力值。
-
结果 :布格重力异常中,大地水准面以上直接物质的影响被移除了。但是 ,斯托克斯理论的要求还没有完全满足------因为地壳对地形的均衡补偿效应也产生了额外的重力异常,而且这种补偿质量(如山根)虽然位于大地水准面以下,却是由外部地形引起的。如果不做进一步处理,残留的补偿效应也将污染数据。
第二层:消除地形负载诱发的深部补偿效应(均衡校正)
-
"外部质量"的间接影响是什么? 巨大的地形(如青藏高原)压在地壳上,地壳会像船一样下沉,产生"山根"------在地壳底部形成低密度、巨大厚度的质量亏损。这个山根位于大地水准面以下,不是"外部质量",但它是因为外部质量才存在的。
-
为什么要剥离它? 因为斯托克斯理论需要的是完全消除所有与地形相关的异常,以便获得一个仅由内部密度不均匀决定的、纯调和的引力场。如果不剥离均衡补偿的重力效应,计算出的似大地水准面或大地水准面会包含由地壳厚度变化造成的长波信号,而不是真正的形状。
-
如何剥离? 采用均衡改正。在布格异常的基础上,加上(或减去)由均衡补偿模型(如普拉特-海福德模型、艾里-海斯卡宁模型)计算出的引力改正值。这个改正值的幅度和符号取决于补偿深度和补偿方式。
-
结果 :得到均衡重力异常。此时,所有与地形负载直接或间接相关的重力效应(直接引力+补偿亏损引力)都被剥离干净。这个异常数值很小,变化平缓,基本只反映与均衡状态偏离的内部密度变化。
三、类比理解:按需"做减法"
可以想象一个天平:
-
原始观测重力 = 正常重力(椭球引力)
-
地形直接引力(上坡、下坡的额外拉动)
-
均衡补偿引力(山根亏损,使重力变小的部分)
-
内部真实密度异常(我们最终想知道的)
-
剥离过程就是依次减去已知或可模型化的项:
-
第一步:减地形直接引力 → 得到布格异常
-
第二步:减均衡补偿引力 → 得到均衡异常
到了均衡异常这一步,我们已经把外部质量及其引发的深部调整都清理干净了,剩下的正是斯托克斯理论所需要的那种只有内部密度异常、外部无质量的纯调和场。因此,均衡异常是用于斯托克斯积分的最理想输入数据之一。
四、对大地水准面计算的直接好处
-
提高边界处理的严格性:经过均衡校正后,斯托克斯积分的适用条件得到满足,大地水准面计算结果理论上更严密。
-
抑制长波误差:均衡校正去除了由地壳厚度变化引起的长波重力信号(这一信号在经典布格异常中非常大,容易掩盖其他信息),使大地水准面更加光滑、易于精确插值和建模。
-
便于融合卫星数据:现代超高阶重力场模型(如EGM2008)在构建时,本身就利用了均衡假设对地形效应进行归算。地面数据进行均衡校正后,与卫星重力场模型的兼容性更好。
均衡异常和赫尔默特第二凝聚法。
均衡异常与赫尔默特第二凝聚法的关系,可以理解为:对"符合斯托克斯理论要求的外部位场"的两种等效实现方式。
它们的目标高度一致,都是为了构建一个"外部无质量"的调和场,从而严格满足斯托克斯边界值问题的求解前提-3-4。
🔬 两种方法是如何实现"无质量"的?
核心差异在于处理大地水准面之上的地形质量:
-
传统均衡异常 (以艾里模型为代表) :"整体移除"法(物理移除) 。它不直接处理地形本身,而是移除整个地壳的系统性质量不均(如山根质量亏损)产生的重力效应。目标是让处理后的场趋于平滑,反映全局均衡状态-29(来源于论文 [14] 提到典型均衡改正模型为 Pratt-Hayford (PH) 和 Airy-Heiskanen (AH)。
-
赫尔默特第二凝聚法 :"移置(凝聚)"法(虚拟移置) 。它将大地水准面以上的地形质量"压扁"或"凝聚"到大地水准面(或向下延拓后的面上),形成一个无限薄的密度层--1。这样既能消除外部质量的直接引力,又可保持总质量不变。
地形的Helmert凝聚,涉及一种称为地形质量补偿的概念,简称地形补偿。大地水准面外部任意类型扰动场元的地形补偿定义为:为抵消移去地形质量即扣除地形影响后导致地球引力场发生变化,从而对该类型扰动场元进行的质量补偿量。
地形Helmert凝聚可分解为两个步骤:第一步,扣除地形质量生成的引力场,即减去地形影响;第二步,补偿扣除地形质量后引起的引力场变化,即加上地形补偿。对于地球外部任意类型扰动场元
,地形Helmert凝聚引起的扰动场元变化,称为该扰动场元的地形Helmert凝聚,可统一表示为:

剩余地形影响等于高分辨率完全布格影响与低通完全布格影响之差,类似地,地形Helmert凝聚等于完全布格影响与地形质量补偿之差。
对地形进行Helmert凝聚后的大地水准面外部空间,称为Helmert空间,对应的引力场为Helmert引力场,它是调和的,与实际地球引力场相差由地形Helmert凝聚引起的引力场变化。
这里给出大地水准面外部近地调和空间中,任意高度各类扰动重力场元地形补偿的球近似算法。
(1)扰动位的地形补偿

(2)扰动重力地形补偿

(3)地形Helmert凝聚影响计算

(4)扰动重力局部地形补偿快速计算

(5)垂线偏差局部地形补偿

6)扰动重力梯度局部地形补偿

Stokes理论中布格重力异常在大地水准面上定义,等于大地水准面上的空间异常,减去大地水准面外所有地形质量对地面点重力产生的影响。大地水准面上的重力布格异常经典算法为:


陆域地形导致大地水准面以外存在质量,需要去掉,产生陆地布格影响。而在海洋地区,海平面(大地水准面)下方的海水密度小于地形密度,海水质量层亏损需要补偿,产生海水布格影响。
重力(空间异常/扰动重力)的海水完全布格影响计算方法参考7.5.4节,其严密积分公式为:


陆地Airy-Heiskanen地形均衡影响

海洋及陆海统一均衡重力异常计算


布格异常和均衡异常的差别
这两者的数值范围差异非常大:布格异常的全球变化幅度可达上千毫伽。而均衡异常本身就是为了消除这种大幅波动而设计的,它的数值通常在一个很小的范围内(如±100多毫伽)变动,且全球总和接近于零。


EGM2008球谐系数是怎么来的?
最难处理的是全球数据覆盖的空白区(如部分山地、极地和数据保密区域)。在数据稀疏或受限的地区(如中国部分大陆),EGM2008会利用高分辨率地形数据 (如SRTM)和均衡理论(如前面讨论过的布格、均衡改正)来"填补"和补充其高频信息,确保模型的全球连续性-21。
🔗 第二步:数据融合,构建观测方程
有了完备的网格数据后,就需要利用球谐分析技术,将空间域的网格数据转换到谱域(即球谐系数),建立起联系两者的核心数学工具:
描述全球重力异常的"纽带"
网格上每个点的Δg,都可以用一组未知的球谐系数Cnm、Snm来表示-12-。据此,可以为全球数百万个网格点建立海量的球谐分析观测方程,形成一个巨大的方程组。
⚖️ 第三步:最优求解,解算球谐系数
直接求解海量高阶次方程计算量巨大。因此,EGM2008模型开发中,采取了 "分区、分级" 的最佳优化策略:
💎 总结
整个求解过程是一个精确的数据融合与复杂的数学优化过程。EGM2008包含了从2阶到2159阶的完整球谐系数,并有部分系数扩展至2190阶 --41。后续的评估也表明,这个模型在大多数区域达到了极高的精度,大地水准面高与GPS/水准数据的差异通常在**±5至10厘米** 以内--21。
-
EGM2008模型的球谐系数,不是通过单一公式或简单计算得来的,而是一个 "多源数据融合" 和 "最优化求解" 的复杂系统工程-21。这里将为你分步拆解EGM2008球谐系数的具体求解过程:
🛠️ 第一步:海纳百川,构建全球重力数据库
求解超高阶模型的起点,是建立一个覆盖全球、高分辨率的重力异常网格。EGM2008使用了 "5'×5'网格" (约9公里分辨率)的平均空间重力异常 作为其核心基本数据-21-。这些数据主要来自三大来源--41:
-
地面重力数据 :在北美、欧洲、澳大利亚等高质量数据区域,直接使用实测的重力值-20。
-
海洋重力数据 :主要利用卫星测高数据反演得到,确保了全球海洋区域的覆盖-。
-
航空重力数据:在特定区域补充,提供更精细的局部信息。
-
长波骨架:卫星重力模型 :低频部分由全球均匀覆盖的ITG-GRACE03S 等纯卫星重力模型提供准确的长波信号,它包含了2190阶模型前70阶 的完整信息-21-。
-
短波细节:块对角最小二乘法 :高频细节的计算,采用块对角最小二乘法对全球百万级网格数据进行整体计算(后续模型如SGG-UGM-2也常沿用此思路-),它通过将相关联的系数分组批量求解,显著提升了计算效率。
Stokes-Helmert方法和Airy-Heiskanen方法在构建大地水准面上的差异
它们构造出的大地水准面在几何形态上应该非常接近(都逼近地球的真实重力等位面),但在理论严格性、物理含义和数值精度上存在系统性的差异。 可以认为,Stokes-Helmert方法追求的是数学上的"严密解",而Airy-Heiskanen方法则提供了一个带有地球物理假设的"近似解"。
为了让你更清晰地理解两者的关系,我们可以从三个层次展开:
1. 目标一致:求解的是同一个真实大地水准面
无论使用哪种方法,最终要回答的都是同一个物理问题:地球的真实大地水准面(那个与平均海平面最吻合的重力等位面)形状是怎样的? 两种方法都是利用地面重力数据,通过不同的归算路径来逼近这个真实曲面。因此,如果两种方法都严格、无误差地执行,它们得到的大地水准面高在理论上应该是一致的(例如,在厘米级精度下吻合)。但现实中,由于理论假设和近似处理的不同,它们会给出有差异的结果。
2. 路径不同:两种"归算哲学"的差异
核心区别在于如何处理"地形质量"这一违反斯托克斯条件的"污染物"。

3. 结果差异的定量估计
两种方法给出的结果并非完全不同,但确实存在系统性的差异。具体表现为:
-
长波分量:两者在数千公里尺度上可能差异很小(<1厘米),因为长波重力场主要由地球深部决定,受地形处理方式影响小。
-
短波分量 :在局部(几十到几百公里),差异可达数厘米至分米级。这主要源于:
-
Airy-Heiskanen方法假设了简单的补偿深度(如30km)和恒定的密度差(如地壳密度2.67 g/cm³,地幔密度3.27 g/cm³),而真实地球的补偿机制更复杂。
-
Stokes-Helmert方法中的"间接影响"包含了凝聚层引力位的精确计算,而Airy-Heiskanen方法没有这个步骤。
-
-
区域差异示例 :在青藏高原等均衡异常显著(如-120 mGal)的区域,两种方法得到的大地水准面高可能差异超过10厘米 ;在稳定地台区,差异可能只有1-2厘米。
💎 总结
-
它们构造的大地水准面不是"完全不同",而是"高度相似但细节有别"。就像用不同精度的尺子测量同一根棍子,结果都是棍子的长度,但读数有细微差别。
-
现代高精度大地水准面建模(如用于GNSS高程基准)更倾向于使用Stokes-Helmert方法(或其变种"移去-恢复-计算"方法),因为它理论更严密,不依赖地壳均衡假设,并且可以通过全域重力数据获得更高精度。
-
Airy-Heiskanen方法更多用于地球物理研究,例如通过比较计算出的"均衡大地水准面"与真实大地水准面来推断地壳偏离均衡的程度,或者作为快速获取区域大地水准面的一种初始近似。
下图是李建成院士采用EIGEN03C为参考场确定中国最新2′×2′重力似大地水准面模型CNGG2011,该模型的高程异常最小和最大值分别为-67.901 m和27.996 m。

小结:
地面观测的空间异常值,需要经过地形改正和均衡改正,形成满足Stokes理论的边值即大地水准面的空间异常值,然后,通过SHTOOLS等工具生成地球重力场的球谐系数。
参考文献
重力局部地形改正量的计算方法比较_欧阳明达2018
最新中国陆地数字高程基准模型:重力似大地水准面CNGG2011_李建成2012