行星际激波在日球层中的传播:Propagation of Interplanetary Shocks in the Heliosphere (第一部分)

行星际激波在日球层中的传播:Propagation of Interplanetary Shocks in the Heliosphere
(第二部分)-CSDN博客


Propagation of Interplanetary Shocks in the Heliosphere

Chapter 1 \& Chapter 2

[PDF: arXiv]

本文保留原文及参考文献,参考文献详见

行星际激波在日球层中的传播:Propagation of Interplanetary Shocks in the Heliosphere (参考文献部分)-CSDN博客


Abstract

Interplanetary shocks are one of the crucial dynamic processes in the Heliosphere. They accelerate particles into a high energy, generate plasma waves, and could potentially trigger geomagnetic storms in the terrestrial magnetosphere disturbing significantly our technological infrastructures. In this study, two IP shock events are selected to study the temporal variations of the shock parameters using magnetometer and ion plasma measurements of the STEREO−A and B, the Wind, Cluster fleet, and the ACE spacecraft. The shock normal vectors are determined using the minimum variance analysis (MVA) and the magnetic coplanarity methods (CP).

During the May 07 event, the shock parameters and the shock normal direction are consistent. The shock surface appears to be tilted almost the same degree as the Parker spiral, and the driver could be a CIR. During the April 23 event, the shock parameters do not change significantly except for the shock θBn angle, however, the shape of the IP shock appears to be twisted along the transverse direction to the Sun-Earth line as well. The driver of this rippled shock is SIRs/CIRs as well. Being a fast-reverse shock caused this irregularity in shape.

行星际激波是日球层内关键的动力学过程之一。它们能将粒子加速至高能状态,产生等离子体波,并可能触发地球磁层中的磁暴,对地球技术基础设施造成显著干扰。本研究选取了两次IP激波事件,基于STEREO-A/B卫星、Wind卫星、Cluster卫星编队及ACE卫星的磁强计与离子等离子体测量数据,分析激波参数的时序变化特征。通过最小方差分析法(MVA)和磁共面法(CP)确定了激波法线方向。

在5月7日事件中,激波参数与激波法线方向呈现一致性。激波面倾斜角度与帕克螺旋结构近似,其驱动源可能为共转相互作用区(CIR)。4月23日事件中,除激波θBn角外其他参数变化较小,但该IP激波在垂直于日地连线的横向上呈现出扭曲形态。该波纹状激波的驱动源同样为流相互作用区/共转相互作用区(SIRs/CIRs),其作为快速逆向激波的特性导致了这种不规则形态。


Chapter 1 Introduction

The solar corona is hotter than the photosphere, the chromosphere, and the transient layers beneath it. As a result, the high temperatures ionize atoms, creating a plasma of free-moving electrons and ions, known as the solar wind. Historically, (Parker, 1958) ​predicted the existence of the solar wind and coined the term "solar wind". He deducted it based on German astronomer Ludwig Bierman's observation of how the comet tail always points away from the Sun (Biermann, 2013). ​The existence of the solar wind was confirmed by the Mariner 2 spacecraft (Snyder and Neugebauer, 1965). ​The solar wind is a collisionless plasma, and it flows at both supersonic and super-Alfvénic speed, meaning they exceed the Alfvén speed, which is the speed of magnetohydrodynamic waves in a plasma. ​A shock wave is where a fluid changes from supersonic to subsonic speed. Therefore, the fast-moving solar wind tends to create a shock on its journey. Hence, ​interplanetary (IP) shocks are common through the heliosphere , which is a bubble-like region of space surrounding the Sun and extending far beyond the orbits of the planets and is filled with the solar wind. There are a few varieties of shocks such as planetary bow shocks, shocks that are risen due to the stream interaction regions (SIR), which is called co-rotation interaction region (CIR) when extending beyond 1 AU, and coronal mass ejection (CME) driven shocks. ​IP shocks are one of the main and efficient accelerators of energetic particles (Tsurutani and Lin, 1985; Keith and Heikkila, 2021). ​These accelerated particles can cause disturbances to the geomagnetic field and are hazardous to astronauts and satellites. (IP) shocks driven by (CMEs) precede large geomagnetic storms (Gonzalez et al., 1994). ​Large geomagnetic storms can damage oil and gas pipelines and interfere with electrical power infrastructures. GPS navigation and high-frequency radio communications are also affected by ionosphere changes brought on by geomagnetic storms (Cid et al., 2014) and can cause internet disruptions around the world for many months (Jyothi, 2021). ​Therefore, IP shocks are important in determining and understanding space weather.

【背景介绍】

太阳日冕的温度高于光球层、色球层及其下方的过渡层。​ 高温使原子电离,形成由自由移动的电子和离子组成的等离子体,即太阳风。历史上,Parker(1958)​预测了太阳风的存在并创造了"太阳风"这一术语 ,其理论源于德国天文学家Ludwig Bierman对彗尾总是背向太阳这一现象的观测。​太阳风的存在后被Mariner 2号探测器证实 ​。​太阳风是一种无碰撞等离子体,以超音速和超阿尔芬速度流动(即超过 Alfvén速度,即等离子体中磁流体动力学波的传播速度)。激波是流体从超音速变为亚音速的过渡区域,因此高速运动的太阳风在传播过程中会产生激波。​由此,日球层(充满太阳风、延伸至行星轨道之外的泡状空间区域)中普遍存在行星际(IP)激波 ,包括行星弓激波、流相互作用区(SIR,延伸超过1天文单位时称为共转相互作用区CIR)激波和日冕物质抛射(CME)驱动激波。​IP激波是高效的高能粒子加速器 ​,​这些粒子会扰动地磁场,威胁宇航员和卫星安全。CME驱动的IP激波往往引发强烈地磁暴。研究IP激波对空间天气预报至关重要。

The main goal of this thesis is to study and determine parameters such as IP shock normals, upstream and downstream plasma parameters (magnetic field, density, temperature, velocity), and how they vary in their temporal evolution. There are several methods for determining the shock normal vector (Paschmann and Daly, 1998). ​In this thesis, the minimum variance analysis (MVA) and the magnetic coplanarity method (CP) are used. These two methods are primarily utilized because they require solely magnetic field data. ​The data are from NASA's twin Solar Terrestrial Relations Observatory Ahead (STEREO−A) and Behind (STEREO−B) (Kaiser et al., 2008), the Wind (Ogilvie and Desch, 1997), and Advanced Composition Explorer (ACE) spacecraft Stone et al. (1998c), and ESA's four identical Cluster constellation satellites--Cluster-1 (C1), Cluster-2 (C1), Cluster-3 (C3), and Cluster-4 (C4) (Escoubet et al., 1997). The temporal resolution of the magnetometers of the heliospheric (and the Cluster) spacecraft is significantly higher than the plasma instruments because the variations are quite slow in the heliosphere. ​So, any agreement between the two methods indicates relatively accurate shock normal vectors (Facskó et al., 2008, 2009, 2010). ​Here, two events are studied, one is May 07, 2007, and the other is April 23. The data selection year, 2007, is special because location-wise it was the year when twin STEREO−A and B spacecraft were closer to the Sun-Earth line until their gradual separation from each other in the following years. Later, the spatial separation is so high that it is hard to distinguish the spatial and temporal changes. ​Hence, shocks during this period are proper to study shock propagation and their temporal developments in the case of using these spacecraft.

本文工作

本论文的核心目标是研究IP激波法向量、上下游等离子体参数(磁场、密度、温度、速度)演化特征。​ 现有多种激波法向量计算方法,​本文采用最小方差分析(MVA)和磁共面法(CP)​ ------这两种仅需磁场数据的方法。​数据源自NASA的STEREO-A/B双星、Wind卫星、ACE探测器及ESA的Cluster四星编队 。由于日球层变化缓慢,磁强计时间分辨率显著高于等离子体仪器,​故两种方法结果的一致性可确保法向量精度 ​。​选取2007年5月7日与4月23日两次事件------该年STEREO双星尚未大幅偏离日地连线,空间分离度适宜研究激波时空演化。

Chapter 2 introduces the basics of plasma physics and magnetohydrodynamics , which are the governing equations of these heliosphere phenomena. ​
Chapter 3 discusses a brief description ofthe Sun, the solar wind, and the interplanetary magnetic field .
Chapter 4 is about instrumentation , database , and methods . ​
Chapter 5 presents the results and discusses them. ​
Chapter 6 is the summary and conclusions.


Chapter 2 Basics of Magnetohydrodynamics

▍2.1 Plasma ▍

The term plasma for this state of matter was coined by Irvin Langmuir after its similarity with the blood plasma carrying white and red cells (Tonks, 1967). A plasma is a set of charged particles made up of an equal number of free carriers for positive and negative charges. Having nearly the same number of opposite charges ensures that the plasma appears quasi-neutral from the outside. Free particle carriers mean the particles inside a plasma must have enough kinetic (thermal) energy to overcome the potential energies of their nearest neighbors, which means a plasma is a hot and ionized gas. There are the three basic criteria for a plasma (Baumjohann and Treumann, 2012; Chapters 1-4).

等离子体 ​(plasma)这一物质状态术语由欧文·朗缪尔提出,灵感源于其与携带血细胞的血浆 的相似性。等离子体是由数量相等的正负自由电荷载体 组成的带电粒子集合,这种电荷平衡使其在宏观上呈现准电中性 。自由粒子意味着其动能(热能)必须足以克服邻近粒子的势能,因此等离子体本质上是高温电离气体

等离子体的判定需满足三个基本准则:

  • first criterion

The first criterion is a test-charged particle is clouded by its opposite-charged particles, canceling the electric field of the test particle. This is known as theDebye shielding and its so−called Debye−lenght, λ_D, is defined as follows:

where ϵ_0 is thefree space permittivity , k_B the Boltzmann constant , T_e = T_i the electron and ion temperature , ne the electron plasma density , and e electric charge.

To ensure the quasineutrality of a plasma, the system length L must be greater than the Debye length

德拜屏蔽效应:测试电荷会被异性电荷云包围,抵消其电场。德拜长度λD定义为:

其中ε₀为真空介电常数 ,k_B为玻尔兹曼常数 ,T_e = T_i为电子/离子温度 ,n_e为电子密度 ,e为元电荷

系统尺度L必须大于λD以维持准电中性​(L ≫ λ_D)。

  • second criterion

The second criterion is since the Debye shielding results from the collective behavior of particles inside the Debye sphere with the radius λ_D, the Debye sphere must contain enough particles

which indicates the mean potential energy of particles between their nearest neighbors must be less than their mean individual energies.

德拜球粒子数条件:德拜屏蔽是由半径为λ_D的德拜球内粒子的集体行为引起的,德拜球(半径λ_D)内需包含足够粒子:

该条件要求粒子间平均势能低于单个粒子平均动能

  • third criterion

The third criterion is the collision time scale τ of the system is greater than the inverse of the plasma ω⁻¹_p , electron Ω⁻¹_e , and ion Ω⁻¹_i cyclotron gyrofrequencies.

By solving each particle, plasma dynamics can be described, but this approach is too difficult and inefficient. Therefore, there are certain approximations, depending on the corresponding problems. Magnetohydrodynamics is one such approximation that instead of taking account of individual particles, the plasma is assumed as a magnetized fluid.

时间尺度条件 :系统碰撞时间 τ 需大于等离子体振荡频率倒数 (ω⁻¹_p)、电子回旋频率倒数 (Ω⁻¹_e)和离子回旋频率倒数(Ω⁻¹_i):

2.2 The single fluid MHD**▍**

In this section, the magnetohydrodynamics (MHD) equations are briefly introduced without too much detail and derivations. The following formulizations are based on (Baumjohann and Treumann, 2012)[page 138-158], (Murphy, 2014), (Freidberg, 2014) and (Antonsen Jr., 2019). ​Magnetohydrodynamics (MHD) was developed by Hannes Alfvén (Davidson, 2002).MHD equations are the result of coupling the Navier-Stokes equations (the fluid equations) to the Maxwell equations.In the MHD, the plasma is treated as a single fluid with macroscopic parameters such as average density, temperature, and velocity. Since plasma consists of generally two species of particles, namely electrons, and ions, the different species should be handled together. ​Hence, the single fluid approximation is utilized.

单流体磁流体力学(MHD)理论体系

本节简要介绍磁流体力学(MHD)方程,不涉及过多细节与推导。以下公式化表述基于以下文献:(Baumjohann and Treumann, 2012)[第138-158页]、(Murphy, 2014)、(Freidberg, 2014) 和 (Antonsen Jr., 2019)。

磁流体力学(MHD)由汉尼斯·阿尔文(Davidson, 2002)发展而来。MHD方程是纳维-斯托克斯方程(流体方程)与麦克斯韦方程组耦合的结果。在MHD中,等离子体被视为具有宏观参数(如平均密度、温度、速度)的单一流体。​

由于等离子体通常由电子和离子两种粒子组成,需将不同组分统一处理,​因此采用单流体近似。​

-- Single fluid variables

  • Mass density

Considering the mass m_e of an electron is significantly lower than the mass m_i of an ion, m_e << m_i :


Momentum density

where v, u _e, u_i are plasma, electron, ion velocities respectively, and ρ is the plasma density, n_e, n_i are the electron and ion number densities.

  • Current density

where q_e and q_i are electron and ion charges.

  • Total pressure

-- 单流体变量定义​

  • 质量密度

考虑到电子质量m_e远小于离子质量m_i,即m_e << m_i:

  • 动量密度

其中v、u _e、u_i分别表示等离子体、电子和离子速度,ρ为等离子体密度,n_e、n_i为电子和离子数密度。

  • 电流密度

其中q_e和q_i分别为电子和离子电荷。

  • 总压力

-- Single fluid MHD equations

By using the single fluid variables, the single fluid MHD equations can be defined as follows:

  • The continuity equation for the mass density
  • The momentum equation

where ρe denotes the charge density, and E, B electric and magnetic fields.

  • The generalized Ohm's law

where η is magnetic diffusivity , and ηJ is the resistive term.
Amp`ere's law

where µ_0 is the vacuum magnetic permeability, ϵ_0 is vacuum permittivity.

  • Faraday's law
  • magnetic field divergence constraint

-- 单流体MHD方程组

使用单流体变量,可定义单流体MHD方程组如下:​

质量密度的连续性方程:​

动量方程:​

其中ρ_e表示电荷密度,E、B分别表示电场和磁场。

广义欧姆定律:​

为磁扩散率,ηJ为电阻项。

安培定律:​

其中μ_0为真空磁导率,ε_0为真空介电常数。

法拉第定律:

磁场无散约束:

The MHD approximations are valid when the characteristic speed of the system is much slower than the speed of light,

the characteristic frequency, ω, must be smaller than the ion cyclotron frequency ωi

the characteristic scale length L of the system must be longer than the mean free path rgi of ion gyroradius

the characteristic scale times must be larger than the collision times as stated in equation 2.4.

当满足以下条件时,MHD近似成立:​

系统特征速度远小于光速,

特征频率ω必须小于离子回旋频率ω_i,

系统特征尺度L必须大于离子回旋半径rgi的平均自由程,

特征时间尺度必须大于如方程2.4所述的碰撞时间。

2.3 MHD wave modes**▍**

Plasma is considered a highly conductive fluid, which consists of charged particles. Therefore, MHD waves in plasma fundamentally arise from two distinct wave speeds: the sound speed of a fluid and the Alfv´en speed, which is due to the magnetic field pressure and tension. Their combination gives rise to magnetosonic waves. Thus, in MHD there are three wave modes--namely slow magnetosonic, the shear-Alfv´enic and the fast magnetosonic waves (Fitzpatrick, 2014) in addition to the sound wave, as seen in Figure 2.1.

Figure 2.1: Phase velocities of the three MHD waves. (Figure is from Fitzpatrick, 2014; Figure 7.1)

等离子体被视为一种高导电性流体,由带电粒子组成。 因此,等离子体中的磁流体力学(MHD)波主要源于两种不同的波速:流体的声速和由磁场压力与张力产生的阿尔芬速度。 这两种速度的结合产生了磁声波。因此,在MHD中,除了声波外,还存在三种波动模式------慢磁声波、剪切阿尔芬波和快磁声波,如图2.1所示。

The derivation of the waves can be obtained from the linearized MHD dispersion relation.

  • sound wave

The sound wave is due to a compressible fluid and the wave is longitudinal. The sound speed is defined as:

where γ is the polytropic index and in space plasma , it is in the range 1 < γ < 5/3 (Livadiotis and Nicolaou, 2021), k_B is the Boltzmann constant, T is temperature, mi is mass of a particle species.

  • Mach number

TheMach number , a ratio of flow to the (thermal) sound speed

  • Alfvén speed

The shear Alfvén wave is incompressible and transverse. The Alfvén speedis defined as follows:

here B²/μ₀ is the magnetic pressure and ρ is density.

  • magnetic Mach number

Similarly, the magnetic Mach number , which is defined as a ratio between the flow speed V_f low and the Alfvénic speed V_A, is defined as follows:

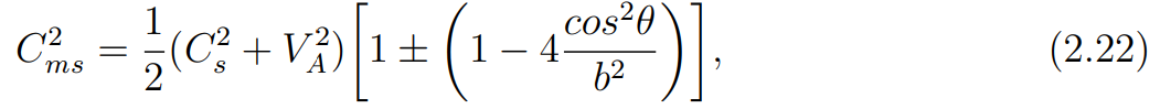
  • magnetosonic waves

The magnetosonic waves are as follows:

where b term is as follows:

  • 声速

波动方程的推导可以从线性化的MHD色散关系中获得。声波源于可压缩流体,是一种纵波。声速定义为:

其中:

γ 是多变指数,在空间等离子体中范围为 1 < γ < 5/3;

k_B 是玻尔兹曼常数;

T 是温度;

m_i 是粒子质量。

  • 马赫数(流动速度与声速之比)
  • Alfvén 速度

剪切阿尔芬波是不可压缩的横波。阿尔芬速度定义为:

其中:

B²/μ₀ 表示磁压

ρ 是密度

  • 磁马赫数(流动速度与阿尔芬速度之比)
  • 磁声波

其中b项为:

The equation 2.22 has two terms. The term containing (+) is the fast magnetosonic wave while the one containing (-) is the slow magnetosonic wave. When V_A >> V_s or V_s >> V_A in 2.23, as well as the wave propagation direction, is nearly perpendicular to the magnetic field (cos²θ << 1),

  • slow magnetosonic wave speed (simplified)
  • fast magnetosonic wave (simplified)
  • fast magnetosonic Mach number

方程2.22包含两项:含有(+)的项代表快磁声波,含有(-)的项代表慢磁声波。当满足V_A >> V_s或V_s >> V_A(如式2.23所示),且波传播方向与磁场近乎垂直(cos²θ << 1)时:

  • 简化的慢磁声波速度
  • 简化的快磁声波速度
  • 快磁声波马赫数

2.4 MHD discontinuities**▍**

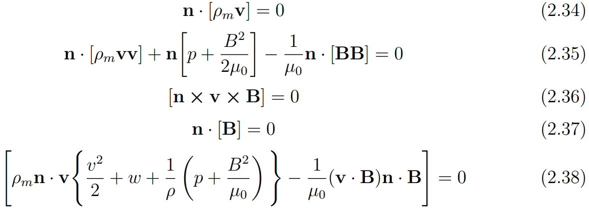
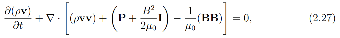
When plasmas of different properties collide, they reach equilibria, resulting in the boundaries separating neighboring plasma regions (Baumjohann and Treumann, 2012; Chapter 8). These boundary regions are called discontinuities, and in astrophysics , heliopause and magnetopauseare examples of these discontinuities. Through discontinuities, the field and plasma parameters change abruptly, but these sudden changes satisfy a few conditions, namely the Rankine-Hugoniot jump conditions. To derive the jump conditions, it is suitable to integrate the conservation laws across the discontinuity. Therefore, it is better to write the single fluid MHD equations 2.2 in conservative form, assuming that the two sides of the discontinuity satisfy an ideal single-fluid MHD. Following some notations and derivations of (Baumjohann and Treumann, 2012; Chapter 8), the ideal single-fluid MHD equations in conservative forms are defined below:

where P the plasma pressure, B the magnetic field magnitude,B the magnetic field vector, µ0 the vacuum permeability, and I the identity tensor.

当不同性质的等离子体碰撞时 ,会形成平衡态边界。​这些边界区域称为间断面 ,在天体物理中,​太阳风层顶(heliopause)和磁层顶(magnetopause)就是典型的间断面实例 。虽然场和等离子体参数在间断面上发生突变,但这些突变必须满足Rankine-Hugoniot跳跃条件

为推导跳跃条件,需要:

  1. 将单流体MHD方程(式2.2)改写为守恒形式
  2. 假设间断面两侧满足理想单流体MHD条件

根据Baumjohann和Treumann的推导,理想MHD的守恒形式方程组包含以下物理量:

其中

  • P:等离子体压力
  • B:磁场强度(标量)
  • B:磁场矢量
  • μ₀:真空磁导率
  • I:单位张量
  • The induction equation
  • The divergence of the magnetic field
  • The energy conservation equation

where for slowly variable fields µ0j = ∇ × B and the ideal Ohm's law E = −∇ ×B are implemented as well as neglecting charges ρE = 0, and w = c_v*P/ρ*k_B is the internal enthalpy. For completion, the equation of state is set:

where p is the scalar pressure.

Choosing a co-moving reference frame with discontinuity, a steady-state situation is assumed that all the time-dependent terms are canceled, leaving the flux terms in the conservation laws.
A discontinuity causes the plasma parallel to the discontinuity to stay the same while the plasma perpendicular to the discontinuity changes. For these reasons, a two-dimensional function S(x)=0 can be used to characterize the discontinuity surface, and the normal vector to the discontinuity, n, is defined as follows

To the direction of the n the vector derivative has only one component ∇ = n( ∂/∂n). After these considerations, integrating over the discontinuity for the flux terms has to be done.

磁感应方程:​

磁场散度方程:​

能量守恒方程:​

其中对于缓变场,采用μ₀j = ∇ × B 和理想欧姆定律 E = -∇ × B ,并忽略电荷项 ρE = 0,w = c_v*P/ρ*k_B表示内焓。为完整起见,状态方程设为:

其中p为标量压强。

选择与间断面共动的参考系,假设稳态情况下所有时间相关项被消除,仅保留守恒定律中的通量项。

间断面会导致平行于间断面的等离子体保持不变,而垂直于间断面的等离子体发生变化。因此,可用二维函数S(x)=0来表征间断面,其法向量n定义为:

在n方向上,矢量导数仅有一个分量 ∇ = n(∂/∂n)。基于这些考虑,必须对通量项在间断面上进行积分。

Remembering only two perpendicular sides of the discontinuity contribute twice to the integration, a quantity X crossing S becomes

where parenthesis [X] indicates the jump of a quantity X. Now replacing the conservation laws of the ideal one-fluid MHD with the jump conditions, the Rankine-Hugoniot conditions are defined as follows:


From the equations above, the normal component of the magnetic field is continuous across all discontinuities, which leads to its jump condition vanishing.

Also normal direction mass flow is continuous:

Splitting the fields between the normal and tangential components, the remaining jump conditions are derived:

where subscript t and n denote normal and tangential components respectively. The equations 2.39 and 2.40 demonstrate that the normal components of the magnetic field, as well as the mass flow, are constant across the discontinuity. The Rankine-Hugoniot conditions provide the four types of MHD discontinuities (Baumjohann and Treumann, 2012; Chapter-8), namely contact discontinuity, tangential discontinuity, rotational discontinuity, and shocks as the values are defined in Table 2.1.

Table 2.1: Some properties of MHD discontinuities. (The values are from Oliveira, 2015)

  • Contact discontinuity

Contact discontinuity is determined by the condition when there is no normal mass flow across discontinuities, which means from the Rankine-Hugoniot conditions v_n = 0. When B_n ̸= 0 or [B_n] = 0, the only quantity that experiences a change across the discontinuity is the density, [ρ] ̸= 0. Due to these constraints, the plasma on the two sides of the discontinuity are attached and connected by the normal component of the magnetic field, As a result, they flow together at the same tangential speed. This is known as the contact discontinuity.

  • 接触间断(Contact discontinuity)​

接触间断的判定条件是在间断面上不存在法向质量流动 ,即根据Rankine-Hugoniot条件有vₙ=0。当Bₙ≠0或[Bₙ]=0时,​唯一发生变化的物理量是密度[ρ]≠0 。由于这些约束条件,​间断两侧的等离子体通过磁场的法向分量相互连接,从而以相同的切向速度共同运动。这种现象称为接触间断。

  • Tangential discontinuity

Tangential discontinuity is when B_n = 0 in addition to v_n = 0, only non-trivially satisfied jump condition is the total pressure balance in the equation 2.41, which indicates that a discontinuity is created between two plasma with total pressure balance on both sides and no mass and magnetic fluxes are crossing across the discontinuity while all other quantities are changing. This is the tangential discontinuity.

  • 切向间断(Tangential discontinuity)​

切向间断的条件是Bₙ=0且vₙ=0 ,此时唯一非平凡的跳跃条件是方程2.41中的总压力平衡。​这表明在两个等离子体之间形成了保持总压力平衡的间断面,且没有质量和磁通量穿过间断面,而其他所有物理量都发生变化。这就是切向间断。

  • Rotational discontinuity

Rotational discontinuity is formed when there is a continuous normal flow velocity [v_n] = 0 with a non-vanishing B_n ̸= 0 such that from the equations 2.42 and 2.43 the tangential velocity and the magnetic field can only change together , especially the equation 2.43 indicates they rotate together when crossing the discontinuity. Shocks Unlike the previous three discontinuities, shocks are irreversible in that the entropy increases (Goedbloed et al., 2019). And one of the main distinctive characteristics of shocks is normal fluxes of the Rankine-Hugionot conditions take non-zero values, ρv_n ̸= 0, and the density ρ is discontinuous.

  • 旋转间断(Rotational discontinuity)​

旋转间断的形成需要连续的法向流速[vₙ]=0和非零的Bₙ≠0 ,根据方程2.42和2.43,​切向速度和磁场必须同步变化 ,特别是方程2.43表明它们在穿过间断面时会共同旋转。激波(Shocks)​ 与前三种间断不同,​激波是不可逆的,其熵会增加。激波的主要特征之一是Rankine-Hugoniot条件中的法向通量取非零值(ρvₙ≠0),且密度ρ不连续。

Consequently of the three wave modes, there are corresponding three shocks -- fast shock (FS), intermediate shock (IS), and slow shock (SS) (Tsurutani et al., 2011). When the fast wave speed is greater than the upstream magnetosonic speed 2.25, the fast shocks (FSs) are formed. Similarly, when the shear-Alfv´en wave speed is greater than the upstream Alfv´en velocity 2.20, the intermediate shocks (ISs) are formed, and when the slow wave speed is greater than the upstream (thermal) sound speed 2.18, the slow shocks (SSs) are formed with their respective Mach numbers greater than at least 1.
The three MHD waves 2.3 are anisotropic, which means their speeds depend on the angle between wave propagation direction and the upstream (unshocked) magnetic field. An illustration of this is the Parker spiral propagation of the solar wind such that the interplanetary magnetic field (IMF) hits, for example, the Earth from the morning side, it creates parallel and perpendicular shocks concerning the shock normal and the upstream magnetic field B as shown in Figure 2.2.

Figure 2.2: The solar wind interaction with the Earth's bow shock.(Figure is from Oliveira, 2015; Figure 2-5)

由此产生的三种波模式对应着三类激波快激波(FS)、中间激波(IS)和慢激波(SS) 。​当快波速度超过上游磁声速(式2.25)时形成快激波(FSs)​当剪切阿尔芬波速度超过上游阿尔芬速度(式2.20)时形成中间激波(ISs)​当慢波速度超过上游声速(式2.18)时形成慢激波(SSs)​,且对应的马赫数至少大于1。

这三种MHD波(式2.3)具有各向异性 ,即其传播速度取决于波传播方向与上游(未受扰动)磁场方向的夹角。​这种现象的典型表现是太阳风的帕克螺旋传播------例如当行星际磁场(IMF)从晨侧撞击地球时,会形成与激波法线和上游磁场B平行或垂直的激波,如图2.2所示。

Hence, depending onthe shock normal angle θ_Bn , the shocks can be geometricallyclassified asparallel, θ_Bn = 0◦ , perpendicular, θ_Bn = 90◦ , oblique, 0◦ < θ_Bn < 90◦ , quasi-parallel, 0◦ < θ_Bn < 45◦ , and quasi-perpendicular, 45◦ < θBn < 90◦ (Chao and Hsieh, 1984; Johlander et al., 2022).

因此,根据激波法向角θ_Bn,激波在几何上可分为:​

  • 平行激波(θ_Bn = 0°)
  • 垂直激波(θ_Bn = 90°)
  • 斜激波(0° < θ_Bn < 90°)
  • 准平行激波(0° < θ_Bn < 45°)
  • 准垂直激波(45° < θ_Bn < 90°)
相关推荐
Phoenixtree_DongZhao9 个月前
行星际激波在日球层中的传播:Propagation of Interplanetary Shocks in the Heliosphere (第二部分)
行星际激波·空间物理·太阳物理
Phoenixtree_DongZhao10 个月前
SERPENTINE Tools
驱动开发·行星际激波