1. 二叉搜索树介绍
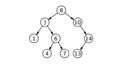
今天来谈一下搜索二叉树,首先复习一下二叉树:它最多有两个孩子(度最多为2的树)。搜索二叉树是在该基础上加了一个特征:左子树的所有结点都小于根,右子树的所有结点都大于根,左右子树都满足以上条件:

为啥叫搜索二叉树呢?左边比它小,右边比它大,这个东西天生方便搜索。比如上图中第三个树中要找7,7比6大就没必要在左树找;到右树去找,7比9小,没必要去右树找,在左树找。这里最多找高度次就可以找到,很多人会认为时间复杂度是O(logN),这样是理想化的情况(满二树或完全二叉树),因为可能会遇到这样的树:

这也是一个搜索二叉树,此时的时间复杂度是O(N)。搜索二叉树也称二叉搜索树或二叉排序树,为啥叫二叉排序树?可以走中序试一试,发现是有序的。
2.二叉搜索树的实现
下面直接来实现(因为前面博客有详细介绍二叉树,这里直接搭起框架,不同的是结点用struct,以便后面使用):

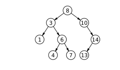
先来写一个Insert,比如插入这样一些值:

依次比着找:11比8大,比10大,比14小,比13小,找到一个空位置可完成插入;13经过找位置发现已经有了,插入失败;16比8大,比10大,比14大,找到空位插入:

下面来实现,如果这棵树是空树,直接new一个给他就可以了,返回一个true;不是空树。先找位置,若插入值比当前位置大,就往右边走;若插入值比当前位置小,就往左边走;相等就返回false。当cur到空找到合适位置后,想链接还需要增加parent,每次更新cur和parent。此时不知道在哪边,最后再判断比一下:

再来实现一个中序方便后面调试看:

下面走一颗数试一试:

直接这样不太好调用,要传参数,最便捷的方式是再套一层(顺便补一下构造):

下面来写一下查找,比它大往右找,比它小往左走,找到了返回true,走到空还没有找到返回false:

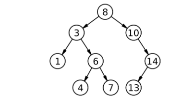
这真正麻烦的是删除,比如这有一颗树:

如果要删除7好不好删?可以通过规则找到7,找到后delete就行,然后把父亲指向7的改为指向空,因此叶子结点还是比较好删的:

那14好删吗?也还可以,找到14把14delete了,然后父节点连14的子结点:

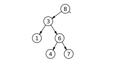
先总结一下上述:像7这样没孩子的删除最方便;像14这样的只有一个孩子,把孩子给14的父亲就行,14是10的右孩子,以14为根的树中所有的值都会比10大,让10的右指向14的一个孩子就行;没孩子和有一个孩子的情况都还好说。要删除3就麻烦了,这是两个孩子的情况怎么办?有一种方式是找个结点来替代要删除的结点,那谁可以替代?或者看要删除8,那谁可以替代8?替代后的要求是要仍然符合搜索二叉树,所以7和10是符合的。所以有两个孩子可以用替换法:找左子树的最大结点或右子树的最小结点,这样换下来符合搜索二叉树。左子树的最大结点是它的最右结点,右子树最小结点是它的最左结点。比如这里找7替换,先交换值,然后删了替换完的结点;替换完的结点一定是最右或最左结点,它最多只有一个孩子,肯定可以删:

下面来实现:首先需要一个parent和cur(需要的parent的目的是找到后还要托孤),大于往右找,同时更新parent;小于往左找,同时更新parent:

如果找到了,没孩子的和一个孩子的可以归为一类:左为空让父亲指向我的右,右为空让父亲指向我的左。那让父亲的什么指向我的左或右呢?假如是我左为空想让父亲指向我的右的情况:如果我是父亲的右,就让父亲的右指向我的右;如果我是父亲的左,就让父亲的左指向我的右。假如是我右为空让父亲指向我的左的情况:如果我是父亲的右,让父亲的右指向我的左;如果我是父亲的左,让父亲的左指向我的左:

但左为空和右为空这里还有个坑,如果cur是8就崩溃了,因为parent一直没有走是空:

那这种情况如何处理?让根结点指向孩子位置就行:

所以下面再补充一下:

现在处理左右都不为空的情况:先找替代结点,这里找左树的最大结点。我们先弄一个结点指针指向左树,然后一路向右走,找到最右结点完成交换(找最右结点的同时还要找到它的父亲,每次走之前更新父亲):

此时右为空,让父亲指向leftMax的左,但是父亲的谁指向我的左还要判断一下,因为还有一种极端情况:

假如要删8,3是leftMax,这个是让父的左指向我的左。这里还有一个坑:leftMax并没有一直往右去找,所以parent一开始是空的。所以parent最开始给nullptr就坑了,最开始给cur,最后判断是parent的左指向我的左还是右指向我的左(因为我是最右,右肯定为空)。如果parent的左是leftMax,就让parent左指向leftMax的左;否则让parent的右指向leftMax的左。最后别忘了删除,把leftMax给cur,最后的地方删了:

下面测试一下:

完整代码:
//.h
#pragma once
template<class K>
struct BSTreeNode
{
BSTreeNode(const K& key)
:_left(nullptr)
,_right(nullptr)
,_key(key)
{}
BSTreeNode<K>* _left;
BSTreeNode<K>* _right;
K _key;
};
template<class K>
class BSTree
{
typedef BSTreeNode<K> Node;
public:
BSTree()
:_root(nullptr)
{}
bool Insert(const K& key)
{
if (_root == nullptr)
{
_root = new Node(key);
return true;
}
Node* parent = nullptr;
Node* cur = _root;
while (cur)
{
if (cur->_key < key)
{
parent = cur;
cur = cur->_right;
}
else if (cur->_key > key)
{
parent = cur;
cur = cur->_left;
}
else
{
return false;
}
}
cur = new Node(key);
if (parent->_key < key)
{
parent->_right = cur;
}
else
{
parent->_left = cur;
}
return true;
}
void InOrder()
{
_InOrder(_root);
cout << endl;
}
void _InOrder(Node* root)
{
if (root == nullptr)
{
return;
}
_InOrder(root->_left);
cout << root->_key << " ";
_InOrder(root->_right);
}
bool Find(const K& key)
{
Node* cur = _root;
while (cur)
{
if (cur->_key < key)
{
cur = cur->_right;
}
else if (cur->_key > key)
{
cur = cur->_left;
}
else
{
return true;
}
}
return false;
}
bool Erase(const K& key)
{
Node* parent = nullptr;
Node* cur = _root;
while (cur)
{
if (cur->_key < key)
{
parent = cur;
cur = cur->_right;
}
else if (cur->_key > key)
{
parent = cur;
cur = cur->_left;
}
else //找到了
{
//左为空
if (cur->_left == nullptr)
{
if (cur == _root)
{
_root = cur->_right;
}
if (parent->_right == cur)
{
parent->_right = cur->_right;
}
else
{
parent->_left = cur->_right;
}
}
else if (cur->_right == nullptr) //右为空
{
if (cur == _root)
{
_root = cur->_left;
}
if (parent->_right == cur)
{
parent->_right = cur->_left;
}
else
{
parent->_left = cur->_left;
}
}
else
{
//找替代接结点
Node* parent = cur;
Node* leftMax = cur->_left;
while (leftMax->_right)
{
parent = leftMax;
leftMax = leftMax->_right;
}
swap(cur->_key, leftMax->_key);
if (parent->_left == leftMax)
{
parent->_left = leftMax->_left;
}
else
{
parent->_right = leftMax->_left;
}
cur = leftMax;
}
delete cur;
return true;
}
}
}
private:
Node* _root;
};
void TestBSTree1()
{
int a[] = { 8,3,1,10,6,4,7,14,13 };
BSTree<int> t;
for (auto e : a)
{
t.Insert(e);
}
t.InOrder();
}
void TestBSTree2()
{
int a[] = { 8,3,1,10,6,4,7,14,13 };
BSTree<int> t;
for (auto e: a)
{
t.Insert(e);
}
t.InOrder();
t.Erase(4);
t.InOrder();
t.Erase(6);
t.InOrder();
t.Erase(3);
t.InOrder();
}
3.递归版本
下面来看看递归版本,首先说说Find,这里先插入一个小话题:C++里面凡是写递归都要单独写一个子函数:

因为递归这里有参数的变化。那怎么写呢,以下图为例:

如果找的数一开始等于8就找到了,比8大转化到去右子树找,比8小转化到去左子树找。子树也是类似的过程,找到了层层返回,找不到也层层返回。下面来进行实现:如果root是空没找到返回false,如果比当前根大,到右子树去找;如果比当前根小,去左子树找;如果相等找到了返回true:

再来看插入,如果要插入的值比目前根所对应的小,就去左树插入;如果插入的值比当前根对应的大,就去右数插入;如果相等返回false;找到空就可以插入了:

这里还是和以前一样面临找父亲的问题,可像以前一样添加paernt。但是还有个更简单的方式,加个引用:

为啥要这样呢?

比如是空树,root是_root的别名,然后new一个结点就给_root了;比如结点到6了,,5比6小递归到6的左子树到4;5比4大,此时传4的右指针,root是4的右指针的别名,4的右指针是空,可以插入了;插入时new了一个结点直接给root,对root修改就是对4的右指针修改,所以这样就链接上了,不用找父亲和比较大小看连到父亲的谁了。
下面来实现删除,先弄好前置条件:如果root等于空返回false,说明找不到;如果要删的值比它大,转换成去右树删除;如果删的值比它小,转换成去左树删除;相等就要开始删这个值了:

删除还是分三种情况:1.左为空 2.右为空 3.左右都不为空:

比如删14,比它大往右走,比它小往左走,找到后要删除:

以前面对这些情况很繁琐:左为空让父亲指向右,右为空让父亲指向左,关键不知道让父亲的谁指向左和右;还有cur是root的情况。现在用引用是否会简化很多呢?左为空让父亲指向我的右,右为空让父亲指向我的左,剩下的都不管了(再此之前保存一下要删的结点,防止丢了没法删):

现在来体会:假设已经走到10了,删14;14比10大,再往下递归时,下一层的root是10的右指针14的别名;现在找到了,14是一个右为空,root的值是10的右指针,再取left是13,给root相当于10的右指针指向了13:

对于删8的这种情况:

root是_root的别名,右为空,直接root = root->left。下面再来看左右都不为空的问题:

假设要删除的是8,用左树最大结点或右数最小结点替换:

现在不能递归去删,因为结构变了,8比7大往右找,找不到8。在原有树删不行,可转化为去左树递归删除。下面来实现:找到要替换的结点,交换,转化为递归去左子树中删key:

若成功删除了释放结点返回true:
bool _Erase(Node*& root, const K& key)
{
if (root == nullptr)
return false;
if (root->_key < key)
return _Erase(root->_right, key);
else if (root->_key > key)
return _Erase(root->_left, key);
else
{
Node* del = root;
if (root->_left == nullptr)
{
root = root->_right;
}
else if (root->_right == nullptr)
{
root = root->_left;
}
else
{
Node* leftMax = root->_left;
while (leftMax->_right)
leftMax = leftMax->_right;
swap(root->_key, leftMax->_key);
return _EraseR(root->_left, key);
}
delete del;
return true;
}
}
下面来测试一下:

下面来完善一下,首先写一下析构,也需要子函数走递归。可以走个后续删除,加个引用,完成内部置空:

再来写个拷贝构造,有人会说拷贝可以由中序不断调insert来实现:

这样不能保证顺序。若直接这样:

上面是一个浅拷贝,会引发两次析构就崩溃了,所以要写一个深拷贝。这里需要写一个Copy函数,通过Copy来拷贝这个树,拷贝好后赋值给_root:

那Copy怎么写呢?

可以前序递归走,先遍历8就copy一个8出来;遇到3就copy一个3出来;遇到1就copy一个1出来;遇到空1左边链接一个空;遇到空1右边再链接一个空,弄完1就回去...下面来实现:遇到空就返回一个空,不是空就new一个结点出来;拷贝结点左边连左边拷贝好的,右边连右边拷贝好的,最后返回拷贝结点:

最后再来写一下赋值,这里用现代写法,直接传值然一交换:

完整代码:
#pragma once
template<class K>
struct BSTreeNode
{
BSTreeNode(const K& key)
:_left(nullptr)
,_right(nullptr)
,_key(key)
{}
BSTreeNode<K>* _left;
BSTreeNode<K>* _right;
K _key;
};
template<class K>
class BSTree
{
typedef BSTreeNode<K> Node;
public:
BSTree()
:_root(nullptr)
{}
~BSTree()
{
Destroy(_root);
}
BSTree(const BSTree<K>& t)
{
_root = Copy(t._root);
}
BSTree<K>& operator=(BSTree<K> t)
{
swap(_root, t._root);
return *this;
}
bool Insert(const K& key)
{
if (_root == nullptr)
{
_root = new Node(key);
return true;
}
Node* parent = nullptr;
Node* cur = _root;
while (cur)
{
if (cur->_key < key)
{
parent = cur;
cur = cur->_right;
}
else if (cur->_key > key)
{
parent = cur;
cur = cur->_left;
}
else
{
return false;
}
}
cur = new Node(key);
if (parent->_key < key)
{
parent->_right = cur;
}
else
{
parent->_left = cur;
}
return true;
}
void InOrder()
{
_InOrder(_root);
cout << endl;
}
bool Find(const K& key)
{
Node* cur = _root;
while (cur)
{
if (cur->_key < key)
{
cur = cur->_right;
}
else if (cur->_key > key)
{
cur = cur->_left;
}
else
{
return true;
}
}
return false;
}
bool Erase(const K& key)
{
Node* parent = nullptr;
Node* cur = _root;
while (cur)
{
if (cur->_key < key)
{
parent = cur;
cur = cur->_right;
}
else if (cur->_key > key)
{
parent = cur;
cur = cur->_left;
}
else //找到了
{
//左为空
if (cur->_left == nullptr)
{
if (cur == _root)
{
_root = cur->_right;
}
if (parent->_right == cur)
{
parent->_right = cur->_right;
}
else
{
parent->_left = cur->_right;
}
}
else if (cur->_right == nullptr) //右为空
{
if (cur == _root)
{
_root = cur->_left;
}
if (parent->_right == cur)
{
parent->_right = cur->_left;
}
else
{
parent->_left = cur->_left;
}
}
else
{
//找替代接结点
Node* parent = cur;
Node* leftMax = cur->_left;
while (leftMax->_right)
{
parent = leftMax;
leftMax = leftMax->_right;
}
swap(cur->_key, leftMax->_key);
if (parent->_left == leftMax)
{
parent->_left = leftMax->_left;
}
else
{
parent->_right = leftMax->_left;
}
cur = leftMax;
}
delete cur;
return true;
}
}
}
bool FindR(const K& key)
{
return _FindR(_root, key);
}
bool InsertR(const K& key)
{
return _InsertR(_root, key);
}
bool EraseR(const K& key)
{
return _EraseR(_root, key);
}
private:
Node* Copy(Node* root)
{
if (root == nullptr)
return nullptr;
Node* copyroot = new Node(root->_key);
copyroot->_left = Copy(root->_left);
copyroot->_right = Copy(root->_right);
return copyroot;
}
void Destroy(Node*& root)
{
if (root == nullptr)
return;
Destroy(root->_left);
Destroy(root->_right);
delete root;
root = nullptr;
}
bool _EraseR(Node*& root, const K& key)
{
if (root == nullptr)
return false;
if (root->_key < key)
return _EraseR(root->_right, key);
else if (root->_key > key)
return _EraseR(root->_left, key);
else
{
Node* del = root;
if (root->_left == nullptr)
{
root = root->_right;
}
else if (root->_right == nullptr)
{
root = root->_left;
}
else
{
Node* leftMax = root->_left;
while (leftMax->_right)
leftMax = leftMax->_right;
swap(root->_key, leftMax->_key);
return _EraseR(root->_left, key);
}
delete del;
return true;
}
}
bool _InsertR(Node*& root, const K& key)
{
if (root == nullptr)
{
root = new Node(key);
return true;
}
if (root->_key < key)
return _InsertR(root->_right, key);
else if (root->_key > key)
return _InsertR(root->_left, key);
else
return false;
}
bool _FindR(Node* root, const K& key)
{
if (root == nullptr)
return false;
if (root->_key < key)
return _FindR(root->_right, key);
else if (root->_key > key)
return _FindR(root->_left, key);
else
return true;
}
void _InOrder(Node* root)
{
if (root == nullptr)
{
return;
}
_InOrder(root->_left);
cout << root->_key << " ";
_InOrder(root->_right);
}
private:
Node* _root;
};
void TestBSTree1()
{
int a[] = { 8,3,1,10,6,4,7,14,13 };
BSTree<int> t;
for (auto e : a)
{
t.Insert(e);
}
t.InOrder();
}
void TestBSTree2()
{
int a[] = { 8,3,1,10,6,4,7,14,13 };
BSTree<int> t;
for (auto e: a)
{
t.Insert(e);
}
t.InOrder();
t.Erase(4);
t.InOrder();
t.Erase(6);
t.InOrder();
t.Erase(3);
t.InOrder();
}
void TestBSTree3()
{
int a[] = { 8,3,1,10,6,4,7,14,13 };
BSTree<int> t;
for (auto e : a)
{
t.InsertR(e);
}
t.InOrder();
t.EraseR(8);
t.InOrder();
t.EraseR(6);
t.InOrder();
t.EraseR(3);
t.InOrder();
}
void TestBSTree4()
{
int a[] = { 8,3,1,10,6,4,7,14,13 };
BSTree<int> t;
for (auto e : a)
{
t.InsertR(e);
}
BSTree<int> t1(t);
t.InOrder();
t1.InOrder();
}
4.搜索二叉树的应用
下面来说说搜索二叉树的应用,它的应用场景有两个:第一个叫key的搜索模型,第二个叫key/value的搜索模型。key的搜索模型是日常快速判断在不在的场景,比如门禁系统,小区车辆出入系统等;再比如key模型可以检查一个英文文章单词是否拼写正确,通过读取词库放到一颗搜索树,读取单词看在不在树里,不在就拼写错误。key/value模型是日常通过一个值找另一个值,比如通过手机号查快递信息,商场通过车牌算停车时间来收费。那搜索二叉树怎样完成这样的场景呢?(key的就不说了,前面的实现其实就是key的)下面来看一下key/value的模型,用搜索二叉树如何做key/value模型?key/value就是通过key来找value,所以结点里面存两个值:

插入的时候除了key还有val,所以模板参数变为两个:

插入时比它大往右边走,比它小往左走,value不参与比较过程,还是依赖key走,value仅是为了找到存key位置存的时候把val也存进去:

查找的时候比它大往右走,比它小往左走,搜索树的key是不可以修改的,因为如果修改了可能就不是搜索树了,但可以改val。所以find变一下,这里返回结点的指针,因为有结点指针就能弄很多东西,比如修改value:

删除的时候要不要给value?不用给,但要删,因为主要以key为主,val是顺便的事:
namespace key_value
{
template<class K, class V>
struct BSTreeNode
{
BSTreeNode<K, V>* _left;
BSTreeNode<K, V>* _right;
K _key;
V _value;
BSTreeNode(const K& key, const V& value)
:_left(nullptr)
,_right(nullptr)
,_key(key)
,_value(value)
{}
};
template<class K, class V>
class BSTree
{
typedef BSTreeNode<K, V> Node;
public:
BSTree()
:_root(nullptr)
{}
void InOrder()
{
_InOrder(_root);
cout << endl;
}
bool Insert(const K& key, const V& value)
{
return _InsertR(_root, key, value);
}
Node* Find(const K& key)
{
return _FindR(_root, key);
}
void Erase(const K& key)
{
_EraseR(_root, key);
}
private:
void _InOrder(Node* root)
{
if (root == NULL)
{
return;
}
_InOrder(root->_left);
cout << root->_key << ":" << root->_value << endl;
_InOrder(root->_right);
}
bool _EraseR(Node* root, const K& key)
{
if (root == nullptr)
return false;
if (root->_key < key)
{
return _EraseR(root->_right, key);
}
else if (root->_key > key)
{
return _EraseR(root->_left, key);
}
else
{
Node* del = root;
if (root->_left == nullptr)
{
root = root->_right;
}
else if (root->_right == nullptr)
{
root = root->_left;
}
else
{
Node* leftMax = root->_left;
while (leftMax->_right)
{
leftMax = leftMax->_right;
}
swap(root->_key, leftMax->_key);
return _EraseR(root->_left, key);
}
delete del;
return true;
}
}
Node* _FindR(Node* root, const K& key)
{
if (root == nullptr)
{
return nullptr;
}
if (root->_key < key)
{
return _FindR(root->_right, key);
}
else if (root->_key > key)
{
return _FindR(root->_left, key);
}
else
{
return root;
}
}
bool _InsertR(Node*& root, const K& key, const V& value)
{
if (root == nullptr)
{
root = new Node(key, value);
return true;
}
if (root->_key < key)
{
return _InsertR(root->_right, key, value);
}
else if (root->_key > key)
{
return _InsertR(root->_left, key, value);
}
else
{
return false;
}
}
Node* _root;
};
}
这里举一个中英互译的字典:

再看另一个场景,有一堆水果,想统计水果出现的次数怎么统计?

可以定义一颗树,树的king是string,val是int。遍历这里的水果,如果水果在树里面没有出现就插入,说明这个水果是第一次出现,此时key是水果,val是1。如果这个说过已经在树里面了,就让次数去++:

5.二叉树进阶题目
这道题要根据二叉树创建字符串,要求每一颗树里面左右子树用括号括起来,如:

(左图)先是根1,1完了后1的左子树要括起来,左子树根是2,2完了后再括2的左右子树;然后括1的右子树。其它空括号可以省略,但是如果左为空右不为空就不能省略,否则无法区分。题目要求是个前序遍历,只是左右子树用括号扩一下。下面来实现:如果root是空就返回空,不是空把这棵树前序遍历:根,左子树,在遍历左子树前给左括号,左子树完了给右括号;右数带括号是一样的逻辑:

现在如果左为空,右为空,左右括号不保留;左不为空左括号保留,右为空也不需要保留右括号:

236. 二叉树的最近公共祖先 - 力扣(LeetCode)
https://leetcode.cn/problems/lowest-common-ancestor-of-a-binary-tree/description/沿着路径往根走的都可以认为它是祖先,如图:

2,5,3是4和7的共有祖先,2是4和7的最近祖先。假如这个树是个三叉树(left,right,parent),可转化为链表相交问题去找祖先。那普通树怎么找?可观察一下这些情况:

从第一个根开始看,一个在我的左子树,一个在我的右子树,那么当前根就是公共祖先;要是都在当前根的左树或右树就递归进去找看在不在递归树的左右。下面实现:如果root是空返回空,如果root是p或q就返回root。(还需要写个查找结点查在这棵树中有没有x结点,有返回true,没有返回false)定义pInleft,pInright,qInleft,qInright;先去左树查p,左边没找到就在右边,再去确认q以同样的方式。如果pq都在左边递归去左子树找,都在右边递归到右子树找;若在两边直接返回root公共祖先:

继续说公共祖先的问题,前面的解法时间复杂度是O(N^2),如何优化到O(N)呢?如果不是普通树可以倒着走,类似于链表相交问题。但这里是普通树,可以想想理路径的方法,可以借助栈来求路径,如图:

假设求6和4的路径怎么求?借助栈,前序走,不是要找的结点就直接入栈(先入栈,再判断是不是),先来找6:3入栈,判断不是;5入栈,判断不是;6入栈,判断是,然后一路返回true。再来找4:3入栈,判断不是;5入栈,判断不是;6入栈判断不是;6左边没有返回false,6右边没有返回false,现在6的左右都没有,自己也不是要找的结点,6不可能是结点我们要找的结点中路径的一个,返回false同时把6pop掉。此时5的左边没有找到去右边找,2入栈,判断不是;7入栈,判断不是;7的左边没有返回false,7的右边没有返回false,7不可能是要找的结点返回false的同时pop一下。再去2的右边找,4是要找的结点,一路返回true:

找节点过程把路径中的结点放到了一个栈里面,此时两个栈的size不相等,让大的那个pop,然后相等后比较,第一个相等的就是公共祖先O(N)。下面来实现:首先要找结点,如果root是空,返回false;若不是空,先把结点入进去,如果root==x,说明找到了返回true;若当前结点不是就递归到左边找,找到了就不去右边找,返回true;如果左边没找到递归右边找,找到了返回true;若当前结点左右都不是,pop一下,返回false给上一层。题目中说了p和q一定在,定义两个栈分别查找存,找完路径让长的先走;如果ppath大让它pop,qpath大让它pop;一样大后不相等pop,相等就是公共祖先:

二叉搜索树与双向链表_牛客题霸_牛客网 (nowcoder.com)
https://www.nowcoder.com/practice/947f6eb80d944a84850b0538bf0ec3a5?tpId=13&&tqId=11179&rp=1&ru=/activity/oj&qru=/ta/coding-interviews/question-ranking题目要求把二叉搜索树变成有序双向链表;这道题如果没有没有其它要求可以放一个vector,中序遍历把二叉树的结点存起来,然后把前后结点都链接起来。但题目限制了条件,不能新建一个结点,要在原树上操作。那这道题怎么处理:

可以中序遍历走,让一个指针的right中序的下一个,left指向中序的上一个。先来写个中序:

cur在允许位置出现的顺序就是有序,现在要想办法让cur的left指向上一个,right指向下一个。那怎么知道上一个或下一个是谁呢?有这样一种方案,再给一个指针叫prev,用来指向上一个访问的结点。prev最开始是空的,在当前cur结点时让左指向prev,cur递归时把cur给prev,再让cur继续往下走,经过这样左指针就全搞定了(prev给引用,否则会坑,下一层指针改的时候不会影响上一层)。现在后继怎么办?这里虽然不知道cur的下一个是谁,但知道上一个的下一个是cur,如:

目前不知道10的右是谁,但知道prev(8)的下一个是10,所以可回到cur的上一个,让上一个的right指向cur。所以cur的左指向前一个,前一个的right指向cur,前一个可能为空,所以加一个判断,最后返回开始:

105. 从前序与中序遍历序列构造二叉树 - 力扣(LeetCode)
https://leetcode.cn/problems/construct-binary-tree-from-preorder-and-inorder-traversal/description/题目要求给了一个前序和中序来构造二叉树。前序可以可以确定根,中序可以分开左右子树区间:

上面根据前序的3确定了根,进而根据中序分出了左子树和右子树区间,此时可通过前序去递归:前序确定根,先递归创建左子树,若为空递归创建右子树。下面来实现:需要一个子函数,因为需要下标,前序用一个下标直接走就行,中序用一个区间。前序进来是根,区分时先找到根这个值的位置,找到后中序被分为三部分:[inbegin, rooti-1] rooti [rooti+1, inend],好了后++prei,然后递归创建左子树,递归创建右子树,最后返回root。如果中序区间不存在,就不用构建返回空:

106. 从中序与后序遍历序列构造二叉树 - 力扣(LeetCode)
https://leetcode.cn/problems/construct-binary-tree-from-inorder-and-postorder-traversal/description/和上一题很像,后序反着来就行:

144. 二叉树的前序遍历 - 力扣(LeetCode)
https://leetcode.cn/problems/binary-tree-preorder-traversal/description/(非递归)如图:

首先一棵树在前序里面能快速访问的是左路结点,剩下没有被访问的是左路结点的右子树。8,3,1完了后访问1的右子树,再访问3的右子树,再访问8的右子树就结束了,那怎样去做呢?可以存到栈里面,第一步访问左路结点同时把左路结点入栈( [8 3 1] ),取结点访问右子树时继续分为访问左路结点和左路结点的右子树,栈为空意味着结束:

(1.cur指向一个结点意味着访问一棵树的开始。2.栈里面的结点意味着要访问右子树)下面来实现:定义栈,定义cur指向树的开始。循环开始,访问一棵树的开始,先访问左路结点且左路结点入栈,后续依次访问左路结点的右子树,把结点往vector里放同时入栈。入栈的意义是保证依次访问右子树,访问右子树转化为上面的子问题,cur为空不访问,栈不为空就继续:

94. 二叉树的中序遍历 - 力扣(LeetCode)
https://leetcode.cn/problems/binary-tree-inorder-traversal/description/中序要左子树访问完才访问右子树,还是分为左路结点和右子树,现在不能访问左路结点,但还得把左路结点入栈。从栈里面取一个结点意味着这个结点左子树已经访问完了,取出来访问结点及结点右子树:

变一下时机就行:

145. 二叉树的后序遍历 - 力扣(LeetCode)
https://leetcode.cn/problems/binary-tree-postorder-traversal/description/再看看后续遍历,前面还是一样,左路结点不能访问入栈,但中序出左路结点及左路结点右树,后序呢?后序要把右子树访问完了才能进行访问,如图:

1的右是空1可以访问;3的右不是空要去访问3的右,把6入栈,在栈取6,6的右是空取6。再次到3,这怎么知道3的右已经访问过了?

下面来实现:这需要记录前缀结点,遇到左路结点先入栈,然后取栈顶结点,取到这个结点意味着左树访问完了;如果右数为空可以访问,同时把结点从栈里pop掉,每次一个结点要访问先给prev,若不为空先访问右:
