技术栈
数学分析简明教程——5.5
shenghaide_jiahu
2025-12-04 11:10
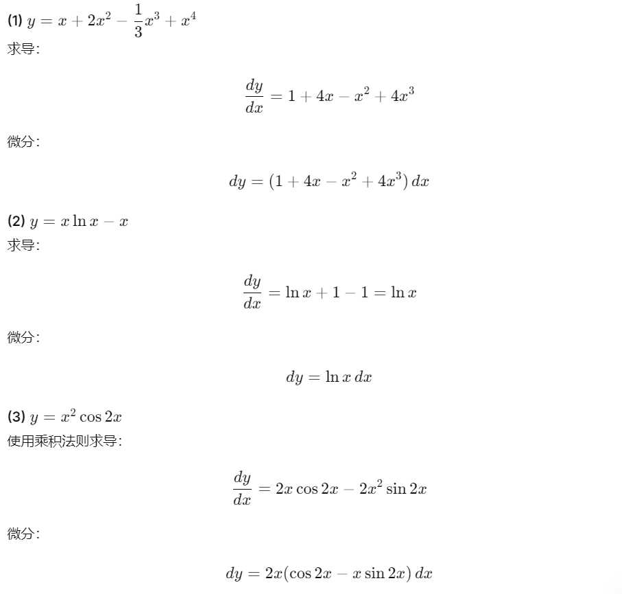
1.
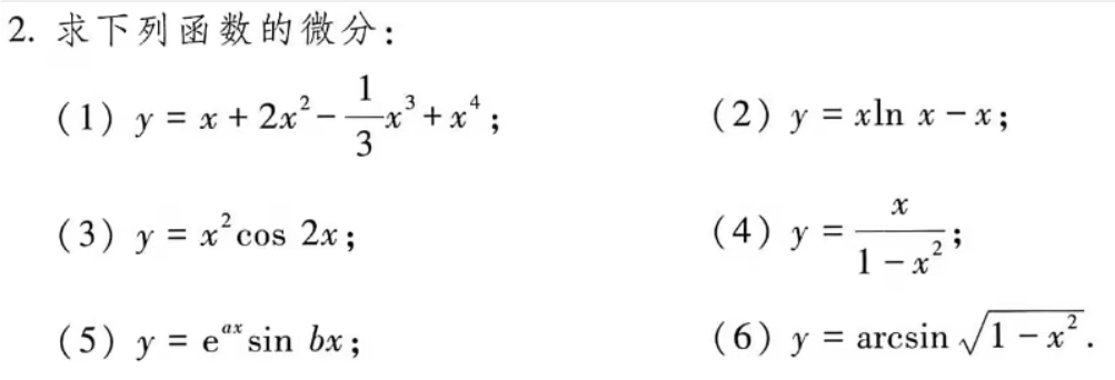
2.
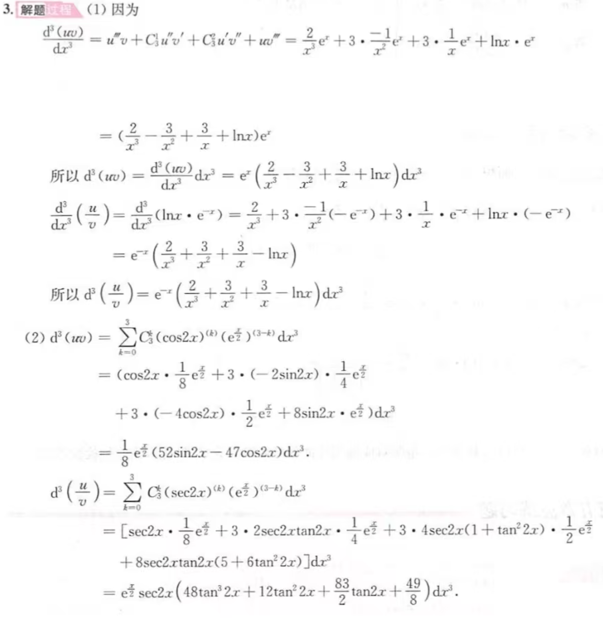
3.
4.
补充一下2,lg不好算,按理来说应该是求ln
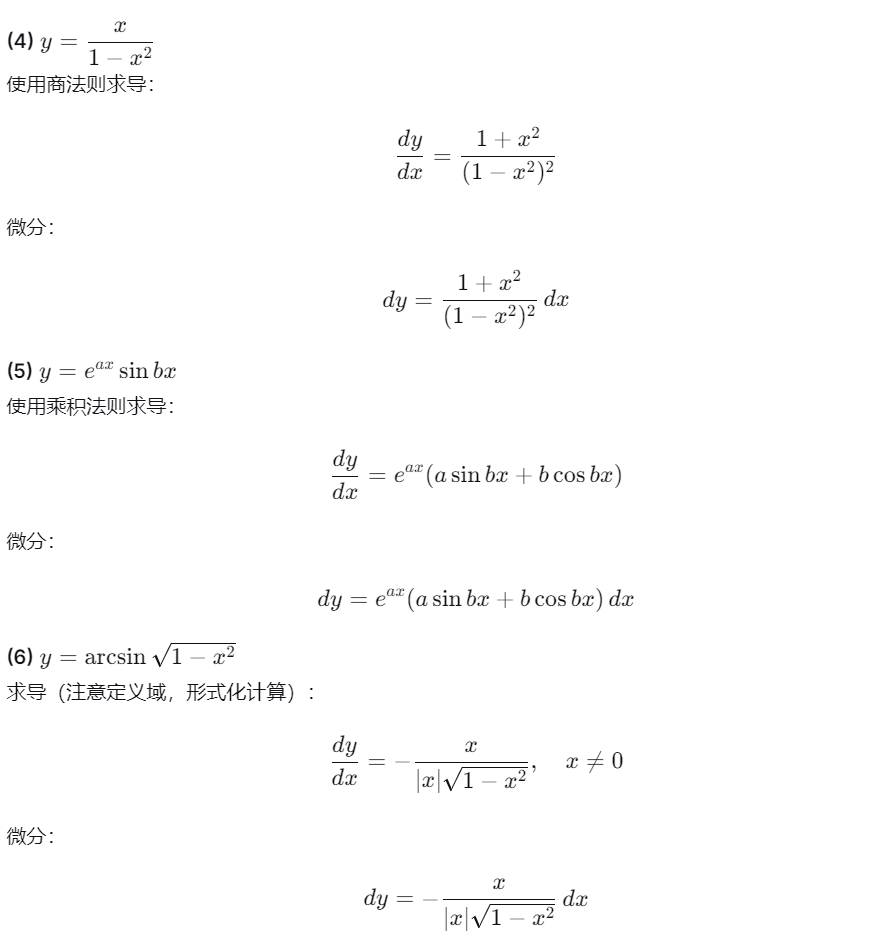
5.
6.
学习
上一篇:
时序数据库 TDengine 助力极企科技稳跑智慧办公场景
下一篇:
Spring IoC&DI~
相关推荐
炽烈小老头
1 小时前
【 每天学习一点算法 2026/04/12】x 的平方根
学习
·
算法
阿杰学AI
2 小时前
AI核心知识115—大语言模型之 自监督学习(简洁且通俗易懂版)
人工智能
·
学习
·
ai
·
语言模型
·
aigc
·
监督学习
·
自监督学习
九英里路
2 小时前
OS学习之路——动静态库制作与原理
linux
·
学习
·
操作系统
·
unix
·
进程
·
编译
·
动静态库
red_redemption
3 小时前
自由学习记录(160)
学习
南無忘码至尊
3 小时前
Unity学习90天-第2天-认识Unity生命周期函数并用 Update 控制物体移动,FixedUpdate 控制物理
学习
·
unity
·
游戏引擎
报错小能手
3 小时前
ios开发方向——swift错误处理:do/try/catch、Result、throws
开发语言
·
学习
·
ios
·
swift
LX56777
4 小时前
传统销售如何系统学习成为AI智能销售顾问?认证指南
人工智能
·
学习
做cv的小昊
4 小时前
【TJU】应用统计学——第五周作业(3.1 假设检验的基本思想、3.2 单个正态总体参数的假设检验)
学习
·
线性代数
·
机器学习
·
数学建模
·
矩阵
·
概率论
·
tju
格鸰爱童话
4 小时前
向AI学习项目技能(六)
java
·
人工智能
·
spring boot
·
python
·
学习
H_老邪
5 小时前
spring boot 学习之路-1.0
spring boot
·
后端
·
学习
热门推荐
01
2026年4月技术前沿:AI大模型爆发、智能体革命与量子安全新纪元
02
GitHub 镜像站点
03
一周AI热点速览(2026.03.31-04.06):GPT-6曝光、谷歌开源Gemma 4、资本狂飙与模型军备竞赛
04
基于 Docker 部署 Hermes Agent 并接入飞书机器人的完整指南
05
免费!不限量!用opencode接入英伟达(NVIDIA)大模型,轻松打造你的 AI 编程助手
06
Oh My Codex 快速使用指南
07
CodeBuddy与WorkBuddy深度对比:腾讯两款AI工具差异及实操指南
08
AI Weekly | 2026年4月第二周 · GitHub热门项目与AI发展趋势深度解析
09
LLM Wiki:让大模型替你打理知识库的完整指南
10
从限购到畅通:GLM-5.1 Coding Plan接入攻略