技术栈
数学分析简明教程——总练习题5
shenghaide_jiahu
2025-12-06 8:28
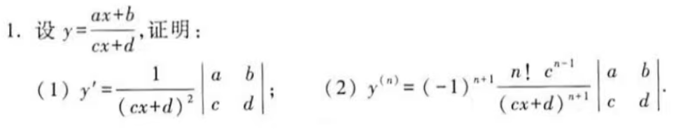
1.
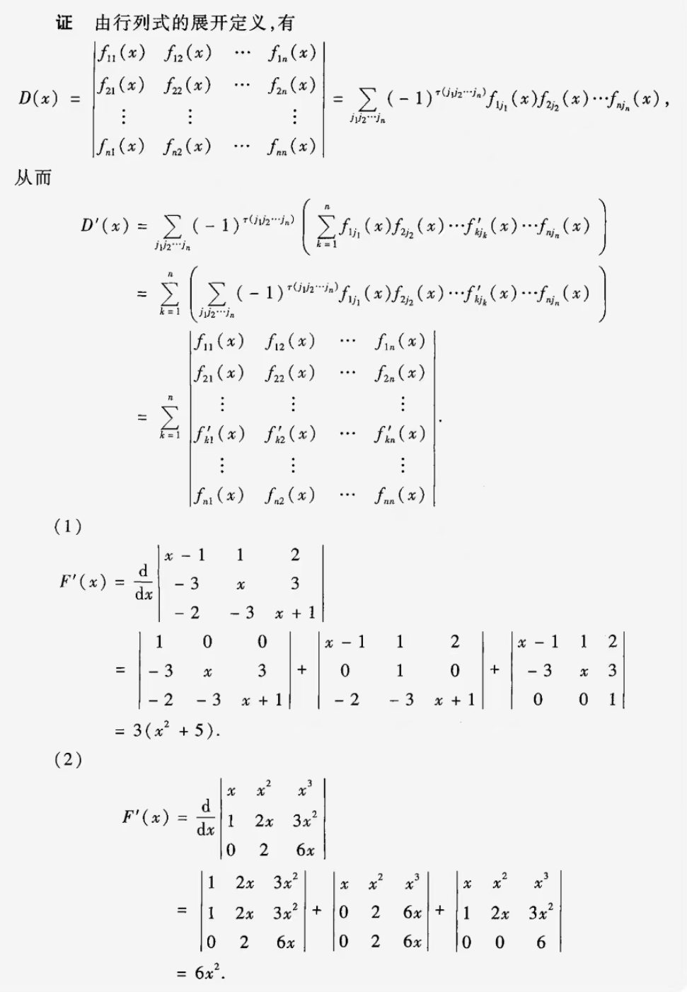
2.
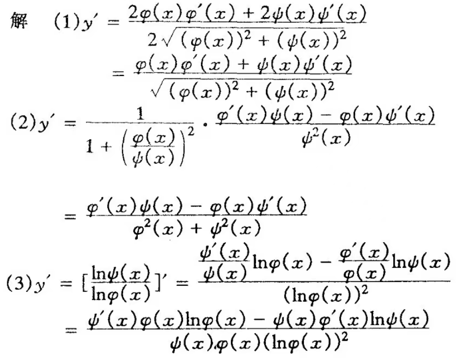
3.
4.
5.
6.
7.
8.
9.
学习
上一篇:
awk 命令全面详解
下一篇:
基于SVM与K-means的图像分割实现
相关推荐
YCY^v^
23 分钟前
JeecgBoot 项目运行指南
java
·
学习
云小逸
30 分钟前
【nmap源码解析】Nmap OS识别核心模块深度解析:osscan2.cc源码剖析(1)
开发语言
·
网络
·
学习
·
nmap
JustDI-CM
1 小时前
AI学习笔记-提示词工程
人工智能
·
笔记
·
学习
悟纤
1 小时前
学习与专注音乐流派 (Study & Focus Music):AI 音乐创作终极指南 | Suno高级篇 | 第33篇
大数据
·
人工智能
·
深度学习
·
学习
·
suno
·
suno api
爱写bug的野原新之助
1 小时前
加密摘要算法MD5、SHA、HMAC:学习笔记
笔记
·
学习
ZH1545589131
2 小时前
Flutter for OpenHarmony Python学习助手实战:Web开发框架应用的实现
python
·
学习
·
flutter
百锦再
2 小时前
Vue高阶知识:利用 defineModel 特性开发搜索组件组合
前端
·
vue.js
·
学习
·
flutter
·
typescript
·
前端框架
CappuccinoRose
2 小时前
JavaScript 学习文档(二)
前端
·
javascript
·
学习
·
数据类型
·
运算符
·
箭头函数
·
变量声明
A9better
2 小时前
C++——不一样的I/O工具与名称空间
开发语言
·
c++
·
学习
AI职业加油站
2 小时前
职业提升之路:我的大数据分析师学习与备考分享
大数据
·
人工智能
·
经验分享
·
学习
·
职场和发展
·
数据分析
热门推荐
01
GitHub 镜像站点
02
Claude Code + GLM4.7 避坑指南:解决 Unable to connect to Anthropic services
03
使用 1panel面板 部署 php网站
04
Vue-skills的中文文档
05
OpenClaw Chrome扩展使用教程 - 浏览器中继控制
06
让 Trae IDE 智能体 “读懂”文档 Excel+PDF+DOCX :mcp-documents-reader 工具使用指南
07
从零搭建一个 PHP 登录注册系统(含完整源码)
08
Linux下V2Ray安装配置指南
09
一文了解国产算子编程语言 TileLang,TileLang 对国产开源生态的影响与启示
10
UV安装并设置国内源