目录
[2.1 周期信号的单边谱](#2.1 周期信号的单边谱)
[2.4 理想方波频谱](#2.4 理想方波频谱)

2.1 周期信号的单边谱


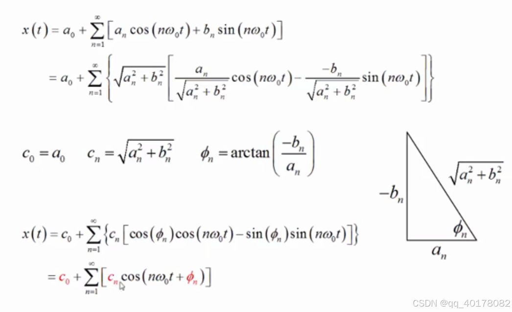
C0代表直流分量
Cn代表高度
2.4 理想方波频谱
2.5方波的频谱特征

tao(τ)是占空比
幅度和频率都用对数形式来进行表示
包络线

小结

目录
[2.1 周期信号的单边谱](#2.1 周期信号的单边谱)
[2.4 理想方波频谱](#2.4 理想方波频谱)



C0代表直流分量
Cn代表高度



tao(τ)是占空比

幅度和频率都用对数形式来进行表示
包络线

