新能源-光伏并网逆变器电流环解耦控制 MATLAB/simulink仿真,包含整个系统的解耦建模分析过程;LCL型三相桥式逆变器,采用SPWM调制,锁相环为自行搭建PI控制,功率为100千瓦。 附带电流环参数设计过程,典型1阶设计与典型二阶设计。 支持simulink2022以下版本,联系跟我说什么版本,我给转成你需要的版本(默认发2016b)。
在新能源领域,光伏并网逆变器起着关键作用,而其中的电流环解耦控制更是保障电能高效、稳定传输的核心技术。今天咱就通过MATLAB/Simulink仿真,深入剖析这一过程。
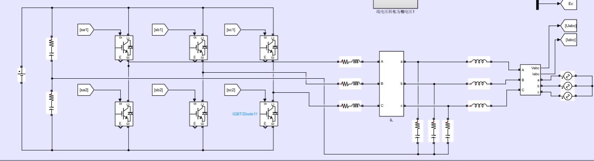
一、系统架构:LCL型三相桥式逆变器
本次采用的LCL型三相桥式逆变器,它在抑制高次谐波方面表现出色。SPWM调制方式则让逆变器输出更接近正弦波,提升电能质量。
代码实现(简略示意)
matlab
% 定义一些基本参数
Vdc = 700; % 直流侧电压
fsw = 10000; % 开关频率
m = 0.8; % 调制比
这里简单定义了直流侧电压、开关频率和调制比,在实际的SPWM调制代码实现中,会基于这些参数通过复杂的计算生成脉冲信号来控制逆变器的开关。
二、锁相环:PI控制搭建
自行搭建的PI控制锁相环,能精准追踪电网电压的相位和频率,确保逆变器输出与电网同步。
PI锁相环代码片段
matlab
Kp = 0.01; % 比例系数
Ki = 0.1; % 积分系数
error = Vgrid_angle - theta_est; % 计算相位误差
dtheta = Kp * error + Ki * integral(error); % PI控制计算相位变化
theta_est = theta_est + dtheta; % 更新估计相位
上述代码展示了PI锁相环的核心部分,通过不断计算电网电压相位与估计相位的误差,利用PI控制器调整,进而更新估计相位。
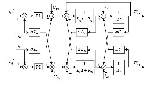
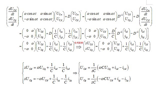
三、电流环解耦建模分析
电流环解耦控制目的是让三相电流实现独立控制,消除相间耦合影响。
解耦模型分析
假设三相静止坐标系下的电压方程为:
\[ \begin{bmatrix}

u_a \\
u_b \\
u_c

\end{bmatrix} = R \begin{bmatrix}
i_a \\
i_b \\

i_c
\end{bmatrix} + L \frac{d}{dt} \begin{bmatrix}
i_a \\

i_b \\
i_c
\end{bmatrix} + \begin{bmatrix}

e_a \\
e_b \\
e_c

\end{bmatrix} \]
通过坐标变换到两相旋转坐标系(dq坐标系),经过一系列数学推导(此处省略复杂推导过程),可以得到解耦后的电压方程,从而实现电流环的解耦控制。
四、电流环参数设计
- 典型1阶设计 :相对简单,主要依据系统的带宽要求和稳定性来确定参数。例如,根据系统开环传递函数 \( G(s) = \frac{Kp}{s + \omega c} \),通过调整 \( Kp \) 和 \( \omegac \) 来满足性能指标。
- 典型二阶设计 :能提供更好的动态性能和稳定性。传递函数类似 \( G(s) = \frac{Kp(s + \omega z)}{s^2 + 2 \zeta \omegan s + \omega n^2} \),需要仔细调整 \( Kp \)、\( \omegaz \)、\( \zeta \) 和 \( \omega_n \) 等参数,以优化系统的响应速度、超调量等性能。
五、仿真支持
本次仿真支持Simulink 2022以下版本。默认发送2016b版本,如果您有其他版本需求,联系我即可。通过仿真,我们可以直观看到电流环解耦控制在整个光伏并网逆变器系统中的效果,验证参数设计的合理性,为实际应用提供有力支撑。
希望这篇博文能让大家对新能源光伏并网逆变器电流环解耦控制有更深入的了解,欢迎一起探讨交流。