Basic statistics - 07. The degrees of freedom



Example 1:
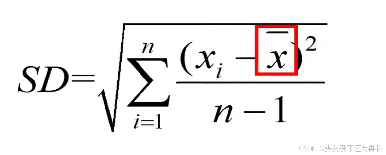
If we would estimate the population standard deviation with the following formula the degrees of freedom is then equal to the total sample size -1. Because we first need to estimate the population mean value before we calculate the standard deviation.

Example 2:
let's consider a simple example suppose you would ask four individuals to pick a number you also tell the four individuals that the sum of their numbers must be equal to one hundred.
for example the first three persons pick the numbers ten thirty and twenty, the sum of these three numbers is sixty since the total sum of the four numbers must be equal to one the fourth person is not free to pick any number because the only number that is left to get the sum 100 is number 40.

now suppose the first three individuals have selected numbers 0 negative 10 and 20 this time the sum of these numbers is 10. the fourth person therefore has to select the number 90 because the four values should sum up to 100.

the degrees of freedom for this example is the sample size -1 which is 3 because the first three individuals are free to pick any number that they want whereas the last person must pick a specific numbers that the sum of the four values is always equal to 100 the last person is therefore not free to choose any number which explains why we subtract by one.
