1.




先找一阶导数为0的点,如果二阶导数容易解就用第二充分条件,如果不容易计算就用第一充分条件



2.

3.

为啥不考虑x0处无定义的情况:无定义时讨论左右导数没有意义。
4.

讨论一阶导数为0的情况以及定义域的边界
5.

6.

7.

8.

9.

10.

11.

12.

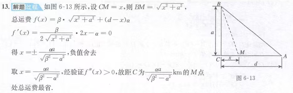
13.


1.




先找一阶导数为0的点,如果二阶导数容易解就用第二充分条件,如果不容易计算就用第一充分条件



2.

3.

为啥不考虑x0处无定义的情况:无定义时讨论左右导数没有意义。
4.

讨论一阶导数为0的情况以及定义域的边界
5.

6.

7.

8.

9.

10.

11.

12.

13.

