1.滑膜需要用到的公式(主要是各个坐标系的电压方程)
1.1 三相ADC静止坐标系下的定子电压方程
https://blog.csdn.net/weixin_41011452/article/details/155206760?spm=1001.2014.3001.5502
1.2 α-β 静止坐标系下的定子电压方程

定子静止坐标系 αβ 下的物理定律:

同理

1.3 d-q 旋转坐标系下的转子电压方程
d-q轴磁链方程:

因为d 轴就是"专门被定义成与永磁体磁链对齐的那条轴",所以只有d轴有ψf,而q轴是超前d轴90°,和d轴正交,所以q轴的永磁体磁链为0(因为投影在磁链轴上是0)。
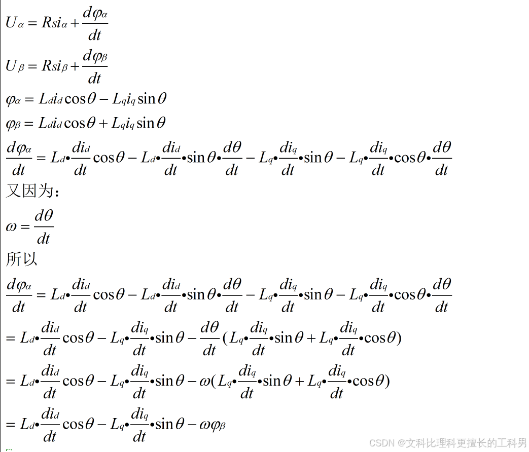
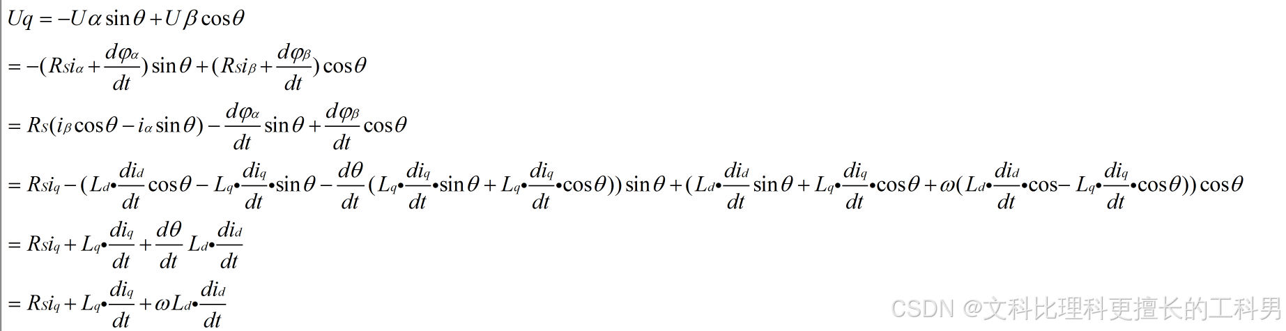
根据α-β和d-q坐标投影关系

先计算Ud

再计算Uq

把上面的d-q轴磁链方程分别代入Ud和Uq
则可以得到