一 真题 2009-3
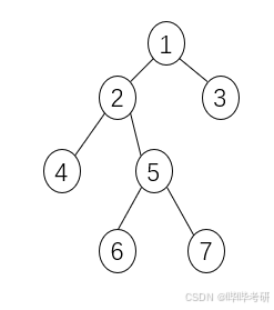
3 给定二叉树如右图所示。设N代表二叉树的根,L代表根节点的左子树,R代表根节点右子树。 若遍历后的结点序列是3,1,7,5,6,2,4,则其遍历方式是()
A. LRN B. NRL C. RLN D. RNL

二 题目解析
本题是根据二叉树图,以及遍历顺序考察遍历方式。
三 哔哔详解
突破思维定势:学习时,教材约定二叉树遍历时子节点是先左后右,所以有三种遍历方式 ,分别为先序NLR、中序LNR、后序LRN、但考试时,并没有这种约定,还有对应的NRL、RNL、RLN;
3.1 方法一 逐个选项尝试
按逐个选项遍历方式,将该二叉树遍历,比如D选项 RNL,则遍历顺序 3,1,7,5,6,2,4 显然符合;
3.2 方法二 相对位置法
观察一个结点A,其既有左儿子B,又有右儿子C,然后观察A\B\C 在已知遍历顺序里的相对位置,即可得出答案;比如根节点N=1,其左儿子L=2,右儿子R=3,在遍历顺序3,1,7,5,6,2,4,里相对位置 3,1,2即RNL为所求。
四 参考答案
参考答案: D
五 考点精析
5.1 二叉树遍历
二叉树的遍历由访问根节点(N)、遍历左子树(L)、遍历右子树(R)的顺序决定,常见的有前序(NLR)、中序(LNR)、后序(LRN)。本题考察其变体,如 RNL(右-根-左),即中序遍历的镜像。
六 考点追踪
暂无