
源自风暴统计网:一键统计分析与绘图的网站
本周好文一览

1.CHARLS
2026年1月20日,西安交通大学学者团队用CHARLS数据,在期刊《Cardiovascular Diabetology》(医学一区,IF=10.6)发表研究论文,系统探讨了 TyG‑CVAI(甘油三酯葡萄糖指数‑中国内脏肥胖指数)与中老年人群新发心血管疾病(CVD)风险的关联。

研究共纳入7977名基线无CVD的45岁及以上参与者,计算 TyG‑CVAI(TyG × CVAI),并按四分位分组。终点为新发 CVD(包括心脏病或卒中)。
结果如下:
- Kaplan‑Meier 曲线分析显示,随着 TyG‑CVAI 四分位升高,CVD 累积发生率显著上升(log‑rank P<0.001);

- 多变量 Cox 回归(完全调整人口学、生活方式及代谢因素后)显示,最高四分位(Q4)相比最低(Q1)的 CVD 风险增加 64%(HR = 1.64,95% CI: 1.35--2.00);

- 限制性立方样条(RCS)分析揭示了非线性阈值效应:当 TyG‑CVAI < 778.62 时,与 CVD 风险无显著关联;≥ 778.62 后,每单位增加对应风险升高 47%(HR = 1.47,95% CI: 1.31--1.64)。

- ROC 曲线分析显示,TyG‑CVAI 预测 CVD 的 AUC = 0.6315,显著优于单独使用 TyG(AUC = 0.5938)或 CVAI(AUC = 0.5851)。

该研究证实TyG‑CVAI是中老年人群新发CVD的独立预测指标,且存在明显的非线性阈值关系。TyG‑CVAI整合了胰岛素抵抗与内脏肥胖双重病理生理途径,其预测效能优于单一组分,为在资源有限场景中早期识别高危个体提供了简便、经济的工具。
2.CHARLS
2026年1月17日,上海同济大学学者团队以CHARLS队列在期刊《Cardiovascular Diabetology》(医学一区,IF=10.6)发表论文,系统评估了 C反应蛋白‑甘油三酯‑葡萄糖指数(CTI)及其衍生指标对中老年人群新发脑卒中的预测价值。

研究纳入10,070名基线无卒中、年龄≥45 岁的参与者,计算CTI及其与肥胖指标的乘积:CTI‑WHtR(腰高比)、CTI‑BMI、CTI‑BRI(身体圆润指数)、CTI‑WWI(体重调整腰围指数),并比较各指标的预测性能。
结果显示:
- 预测性能比较:CTI‑WHtR 的 AUC 最高(0.612),且其净重分类改善(NRI = 0.214)和综合判别改善(IDI = 0.005)均优于其他指标;

- 轨迹分析识别出3类CTI‑WHtR变化轨迹:与"低值上升"组相比,"稳定高值"组的卒中风险升高69%(OR = 1.69,95% CI: 1.34--2.13),"中值上升"组升高26%(OR = 1.26,95% CI: 1.06--1.52);

- 多变量 logistic 回归(完全调整后)显示,CTI‑WHtR 每增加1单位,卒中风险升高 73%(OR = 1.73,95% CI: 1.45--2.07);最高四分位(Q4)相比最低(Q1)风险增加 120%(OR = 2.20,95% CI: 1.71--2.83);

- 限制性立方样条(RCS)分析显示CTI‑WHtR与卒中风险呈线性正相关,风险在 CTI‑WHtR > 2.52 后显著上升。

该研究首次系统评估了CTI衍生指标对卒中风险的影响,结果表明CTI-WHtR在所有分析的指标中表现出最优的预测性能。CTI‑WHtR 整合了炎症、胰岛素抵抗和中心性肥胖三重病理生理维度,为其作为卒中风险分层和早期预防的简易临床工具提供了有力证据。
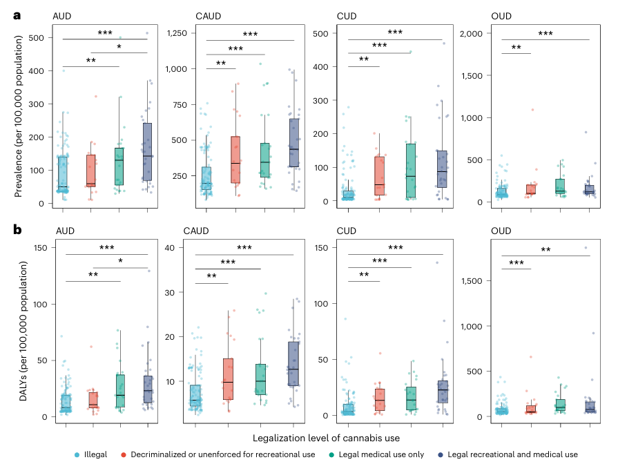
3.GBD
2026年1月16日,外国学者用GBD 2023数据库 ,在顶刊Nature子刊《Nature Medicine》(医学一区,IF=50.0)发表论文。
研究旨在评估1990年至2023年间全球、区域及国家层面,四大类药物使用障碍(安非他明[AUD]、大麻[CAUD]、可卡因[CUD]和阿片类药物[OUD])的患病率与疾病负担,并分析这些负担在COVID-19大流行期间的变化趋势及其与大麻合法化政策的关系。

研究采用DisMod-MR 2.1(贝叶斯元回归工具)估计非致命性结局,采用CODEm模型(死因集合模型)估计特定死因死亡率,并应用MR-BRT模型进行数据交叉校正和元回归分析。
结果显示,2023年全球药物使用障碍(DUDs)的年龄标准化伤残调整生命年(DALYs)率为每10万人212.0,较1990年(169.3)有所上升。高收入国家(特别是美国、加拿大和澳大利亚)的患病率与负担更高。
2023年,全球最常见的药物使用障碍为大麻使用障碍(患病率270.8/10万)和阿片类药物使用障碍(患病率205.9/10万),且后者的患病率与负担在1990年至2023年间近乎翻倍。

男性的年龄标准化DALYs高于女性,其总体负担也较女性高,主要因 CUD 和 OUD,而 AUD 和 CAUD 的性别差异较小。

研究还发现,与大麻使用非法的国家相比,允许娱乐和医疗用途大麻使用的国家,其所有类型药物使用障碍的患病率与负担均显著更高。

此外,通过对比COVID-19大流行前(2015--2019)与大流行期间(2019--2023)的变化趋势发现,可卡因与阿片类药物使用障碍的患病率增长幅度在大流行期间有所减缓。

该研究表明全球药物使用障碍的总体负担仍在增加,且在高收入国家最为严重,其中阿片类药物使用障碍是构成负担的主要部分,这提示积极且有效的政策对于减轻全球不断增加的DUD负担至关重要。
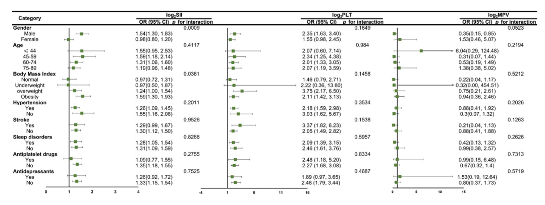
4.NHANES
2026年1月17日,山东大学齐鲁医院(青岛)学者团队基于NHANES数据库,在期刊《BMC Psychiatry》(医学二区,IF=3.6)发表研究论文。
研究旨在调查心肌梗死(MI)幸存者的全身免疫炎症指数(SII)、血小板计数(PLT)及平均血小板体积(MPV) 与抑郁症状之间的关系,并评估这些血液指标对抑郁风险的预测价值。

研究纳入了1,352名有MI病史的成年人。抑郁症状采用患者健康问卷-9(PHQ-9≥5)进行判定。研究方法结合了多变量逻辑回归、剂量反应曲线分析和机器学习建模(14种算法),并利用SHAP方法对最佳模型进行解释。
结果显示:
- 较高的log₂SII(OR=1.22,95% CI 1.06--1.41)和较高的log₂PLT(OR=1.78,95% CI 1.30--2.43)均与抑郁症状风险显著正相关;而log₂MPV与抑郁症状呈倒U型关系,拐点为3.04;

- 亚组分析显示,上述SII与抑郁症状的正相关关联在男性及肥胖(BMI ≥ 30 kg/m²) 的MI幸存者中更为显著;

- 随机森林(Random Forest)模型展现出最优的预测性能,其受试者工作特征曲线下面积(AUC)达到0.779。SHAP分析揭示,年龄是预测抑郁症状最重要的特征(贡献度占15.8%),其次是血小板计数(log₂PLT)。


该研究表明在心肌梗死幸存者这一高危人群中,更高的全身性炎症水平(SII)和血小板计数(PLT)是抑郁症状的独立风险因素。这些常规血液指标结合机器学习模型,有望为早期识别抑郁高危患者提供一种低成本、易获取的辅助工具。
最后,在文末给郑老师我们团队打个广告吧,大家不要见怪哈!
欢迎参加公共数据库保发表训练营
