1
sum = 0
for i in range(1,101):
sum = sum + 1/i
print (sum)

2

sum = 0
a = 1
for i in range(1,101):
sum = sum + 1/i * a
a = -a
print (sum)

3
sum = 0
a = 0
for i in range (1,100):
a += i
sum += 1/a
print (sum)


sum = 0
a = 2
for i in range (1,7):
sum = sum + a
a = a * 10 + 2
print(sum)

5
sum = 1
t = 1
i = 1
while 1/t > 1e-6:
t = t * i
sum = sum + 1/t
i += 1
print ("%.6f" %sum)


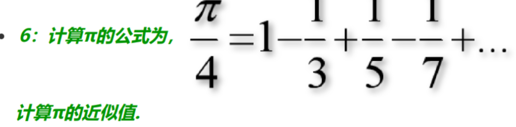
pi = 1
f = -1
i = 3
while 1/i > 1e-6:
pi = pi + 1 / i * f
i = i + 2
f= -f
print(pi*4)
