引言
1.主销转向器受力分析
a.转向轮偏转后的回正力矩分析

(1)车轮侧偏力

(2)主销内倾角
定义:主销内倾角是,主销与车辆纵向速度垂直平面所成锐角,
作用:就是在转向结束之后能够自行形成转向回正力矩使得转向轮自动恢复直线行驶的能力。车辆低速转向时,车辆能否具有直线行驶的稳定性,主要取决于主销内倾产生的回正力 矩。
原理:从几何学的角度,当车轮以主销为旋转中心进行转向的时候,无论是左转弯还是右转弯, 都会形成一个圆锥形的柱体。与地面形成拓扑重合,实际上轮胎不可能进入地面 以下,这就导致车辆被转向轮抬高,车辆的质心也随之增高。这样汽车的重力就会使得车轮恢复到能够使得车辆质心位置最低的地方.也就是车轮直线行驶的位置。
影响因素: 汽车的转向回正力矩和主销内倾角、车轮侧偏角呈线性正比的关系,与车速无关。
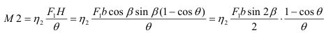
公式 :
注:主销内倾角不是越大越好[36]。因为主销内倾角越大。轮胎转 动的时候在垂直面变形比较大。轮胎与路面的滑动摩擦就越大[37]。这会造成轮胎 的过早老化或者局部磨损严重。甚至会带来爆胎的危险。
(3)主销后倾角
**定义:**汽车前轴主销轴线与地平面的夹角,称为主销后倾角,
作用:是使转向轮形成回正力矩,提高车 辆的行驶稳定性
影响因素 :主销后倾角产生的回正力矩跟车轮的直径 ,汽车的行驶速度 呈现正比关系。而轴距则与回正力矩成反比
(4)轮胎纵向力
当转向主销的轴线与轮胎平面和地面的交线不相交时,轮胎会对主销产生一个回正力矩