技术栈
通信原理第三章(2)
Coisinilove
2026-02-14 16:23
角度调制系统的原理及抗噪声性能
角度调制信号的时域表示
概念:使载波的相角受控制而变化
振幅保持不变,
角频率是相角变化的速率
相位:
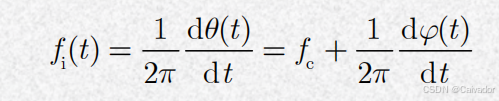
瞬时频率
相位调制PM
频率调制FM
。
通信原理
上一篇:
java使用poi保存表格和图片到word文件中
下一篇:
保护交互命令【用例】
相关推荐
半步仙人
25 天前
时钟同步基本知识
信息与通信
·
信号处理
·
通信原理
Wasim404
1 个月前
QAM 调制原理流程
计算机网络
·
星座图
·
qam
·
通信原理
·
信号调制
西贝爱学习
1 年前
通信原理第七版与第六版的区别附pdf
通信原理
一去不复返的通信er
1 年前
SVD预编码
算法
·
信息与通信
·
预编码算法
·
通信原理
一去不复返的通信er
1 年前
MIMO在CSI有无情况下的信道容量
算法
·
信息与通信
·
通信原理
·
移动通信
·
通信算法
annesede
1 年前
通信原理概论复习笔记(2)
笔记
·
通信原理
通信仿真实验室
1 年前
(73)脉冲幅度调制PAM调制解调通信系统的MATLAB仿真
matlab
·
信号处理
·
通信原理
·
调制解调
·
通信信号
·
通信仿真
Trump. yang
2 年前
AutoSar CP 通信服务核心—Com模块详解
嵌入式硬件
·
can
·
autosar
·
通信原理
Trump. yang
2 年前
AutoSar 通信服务架构,CAN通信诊断详解
架构
·
autosar
·
汽车电子
·
can总线
·
通信原理
热门推荐
01
2026年4月技术前沿:AI大模型爆发、智能体革命与量子安全新纪元
02
GitHub 镜像站点
03
2026 年 AI 编程助手全面对比评测:Cursor vs Copilot vs Claude Code vs GitHub Copilot Free
04
AI Weekly | 2026年4月第二周 · GitHub热门项目与AI发展趋势深度解析
05
零成本!Ollama本地部署国产大模型全指南(支持Kimi-K2.5/GLM-5/Qwen,新手秒上手)
06
GPT-6发布日深度解析-Symphony架构200万Token实战
07
从零部署 Hermes Agent:一只"会成长的 AI 马"保姆级安装教程
08
基于 Docker 部署 Hermes Agent 并接入飞书机器人的完整指南
09
智元机器人发布4款新品,2026营收目标5亿元
10
从限购到畅通:GLM-5.1 Coding Plan接入攻略