文章目录
- [15、Nonlinear Backstepping Controller-1](#15、Nonlinear Backstepping Controller-1)
- [15.5、Nonlinear Backstepping Controller-2](#15.5、Nonlinear Backstepping Controller-2)
- [16、Nonlinear Adaptive Controller](#16、Nonlinear Adaptive Controller)
15、Nonlinear Backstepping Controller-1




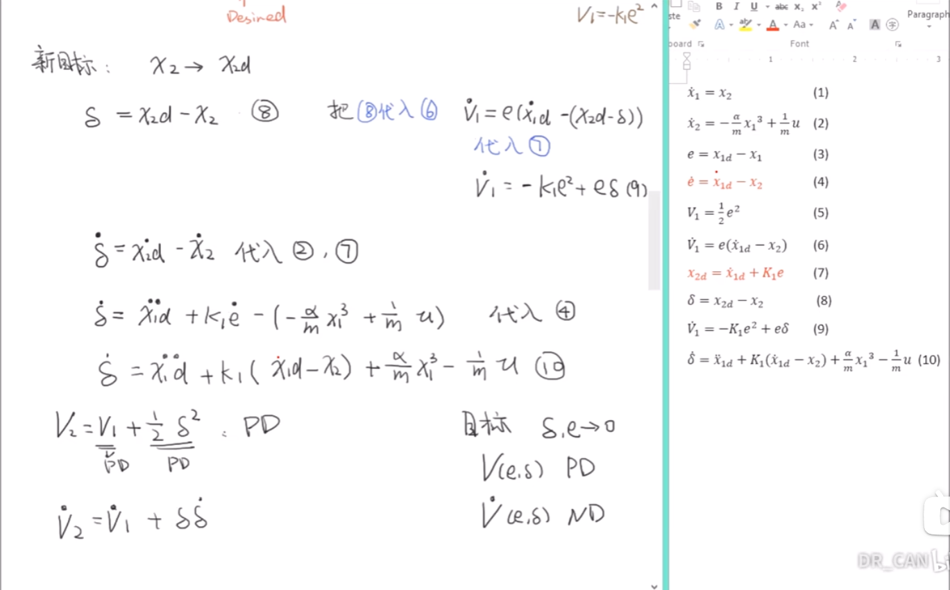
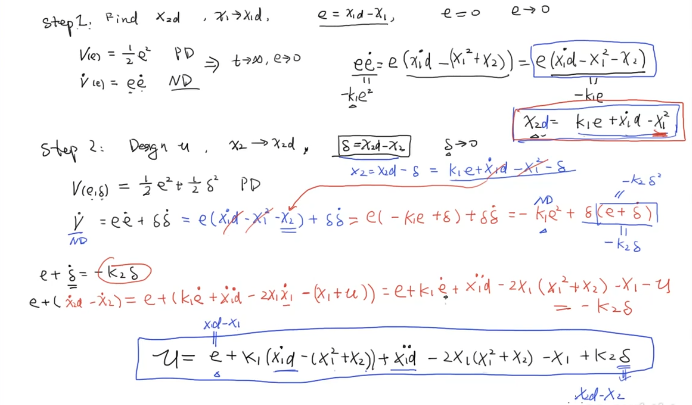
15.5、Nonlinear Backstepping Controller-2


16、Nonlinear Adaptive Controller


