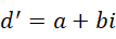
具体情况如图所示,

从图中可以看出,

也是有周期的(体现为从负无穷趋向于0),它在无穷大和无穷小两端都和实数域的周期对齐,但如果选择某些特殊的虚数单位比值,则结果会比实数域的周期要小,整数虚数单位的数值越大,也就是单位之间的间距越稀疏,倒数全加和相比较于实数倒数全加和就小得更多,由于累加的顺序是从较大的数到较小的数,微小差异的顺序也是如此,所以结果为正数,但实际上应当反向比较,此时结果为负数,也就是图像上所指出的。这个差值,其实就是整数前提下,

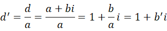
中的1,也就是比周期小1的"负一"。同理,

可见,
就是实数系统的"负一"。由于相对于完全连续的实数来说,整数系统的连续性是不充分的,所以要用基于整数系统的数字来表达这个"负一",就必定会出现无限精度的问题,也就是无限不循环小数的问题。因为一旦可以写成有限或者循环小数,它就是可以用有限精度表示的,它的本质就是某种单位更小的整数。所以所谓的无理数,才是理想世界,也包括未能感知的现实世界的等价物,才能够正确描述真实世界。而整数只是基于某些有限大小的质数而构造的粗糙计数系统。但正如我们需要数字和进制,不适用这种系统我们就无法清晰理解数值的大小。所以就像是圆周率,它是真实和精确的,但是若不以某些小数位表示,就没法知道它的数值范围。所以那些真正的数学对象,是表达式和方程指出的关系,而不是用来计算的数字。相比较于关系,即便是有充分多的位数,也无法精确的描述关系本身。
有了以上的关于欧拉伽马常数的认识,我们就可以推导出计算数值的离散算法,对任何给定整数或者实数范围,计算它对应的伽马常数,然后再把这个具体的数值代入质数的计数函数
就能得到非常精确的结果。关于离散算法,这里就不作推导了。
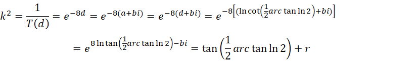
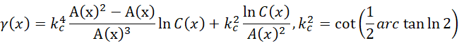
但是,初步计算的结果,只有5位十进制精度,这一点也是可以理解的,因为我们在考虑虚数单位平方的比率的时候,已经考虑过精度的问题,但是在一个实数周期里面,并未应用。也就是说,在计算虚数单位平方的比率的时候,假定,

是因为,


也就是,

代入虚数单位的平方的比率,

其中的
就是单一周期中的余量。我们知道单一周期里面一定不可能对齐,所以这个余量必定是存在的。函数
在单一周期中的极值较小,是一个绝对值比欧拉伽马常数更大的负数,正好说明了余量
必然存在。继续计算,已知,


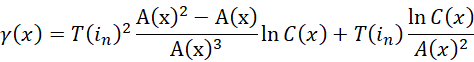
把原来的
代入复数形式,




这里的虚数单位,指的是以整数的虚数单位为单位1,实数的虚数单位相较于整数虚数单位的倍数,也就是,


此时将b的作用转移给虚数单位,


在第一个周期中,
,但随着周期的增加,整数系统和实数系统互相纠缠迭代,这个数值也会变化。此时,

就要替换为,


回到,

其中,把其中静态的
替换为和整数的虚数单位对应的
,


此时求出的结果,就是当前周期中,实数虚数单位的平方和整数虚数单位的平方的比率,也就是欧拉伽马常数的当前值,也就是
的倒数,

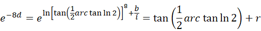
其中,



这个方程左边为原来的
它的数值小于-1,又被作为倒数迭代回方程,所以绝对值是不断减小并趋于不动点的,而且反复的颠倒迭代将导致数值呈现反复起伏的周期性变化。这一点对于质数分布规律函数
的周期性起伏可能具有调节和抑制作用。
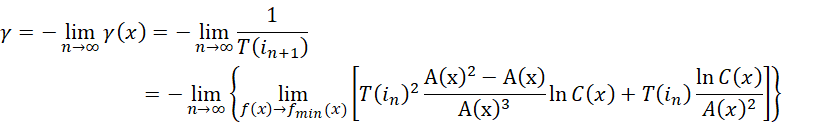
计算这个函数最小值的极限,取向无穷次的结果,就是欧拉伽马常数,

用这个迭代过程即可跨越周期,求出
的无限精度。由于这个迭代过程涉及到每一个周期中寻求最小值的运算,所以无限精度的
不可能通过公式的综合而一次性获得,只能以单周期数值运算的方式获得更多的精度,这一点和圆周率以及根号二都是一样的。所以这个数必然是无理数。也就是说,它也是超越有限精度的度量系统的真实数量的体现。换句话说,真实世界是可以理解,但无法预先精确计算的。这一点不只是物理上的,同样是数学上的。若要计算,只能计算,而无法预先,也就是说,只能让计算的过程发生,无论是数学上的还是现实中的,但发生了就是发生了,没发生就是没发生,通过计算来预言发生的结果,是不成立的。因为某些基本的数量,哪怕无限精度可以计算,也不能省略任何计算的步骤,就像求最小值的过程在每个周期之中都必须再做一次一样。
我们知道这些超越数,比如
等这些自然常数,都可以用离散的计算来逼近。这是因为,通过有限或者无限次的迭代过程,算法可以趋向于这个数值本身,或者叫做不动点。虽然数值的精度不断提高,但是无论如何也达不到这个不动点本身。这是因为我们使用的度量系统是不精确的,有颗粒度的。但是这些超越数所表达的不动点本身,却不受到度量系统的颗粒度的影响。也就是说,这些数值是纯粹真实的。比如整数1,它的颗粒度虽然也是任选的,但是颗粒度小于某个数值之后,其精度就不可能增加了,所以它实际上表达了一种有层次的相对关系。但是自然对数底
却不是这样,无论怎么增加度量的精度,结果都不会停止在同一个数值上。所以,并不是
不精确,它是无限精确的,是我们的度量系统不精确,而这种不精确是必然的,这是由于度量系统必须有刻度而导致的。所以说,经历过各种尺度的刻度之后,观察者才能发现一个数值是否是完全真实的。
然而,这通常来说也是非常难于做到的。更精细的系统总是可以体现出更多的有效数字,用无限次的测试去探查一个系统的精度,通常也是不现实的。所以相对于某些数量的绝对真实,大多数数量都是相对的和不稳定的(不构成不动点)。就像我们观测量子系统,出现不确定性,不是量子系统本身不确定,而是观察者本身不确定,但量子系统在更高的频率下完全可以也是不确定的。但观察者总是得到相反的认知,因为观察者总是认为自己是确定的,所观之物才是不确定的。至于究竟谁是确定的,探查是必要的,但过度的探查,也是一种时间上的消耗。最终,追求完全真实,可能在物理世界中是无法成立的。但根据有限性和无限性本无差异的本质,可知,若不追求它,它也必定就在那里。
回到数学,所谓收敛性,指的是通过有限次或者无限次的迭代或者递归运算,计算的结果可以趋向于某个不动点。具有真实收敛性的序列或者函数,通常来说都意味着某种真实,因为它可以超越度量系统的有限精度而存在。检验这种收敛性需要实际的运算过程,只是这个过程并不总是必须发生的:大多时候都没有发生的必要。
回到物理学,正如我们度量一个系统,或者得到确定性的结果,说明系统的精度有限,或者得到不确定的结果,说明系统的精度超过观察者的度量能力。后者则意味着,若被度量系统显示出充分的不确定性,则被度量系统就具有极高的确定性,而不确定的反而是观察者本身。观察者通过对极度确定的系统的观测,进而获得了自身不确定性带来的相对运动,以及对应的动能。所以,越是在度量中体现出不确定性的系统,对于观察者来说,其产生的能量效果越明显,也就是说,观察者可以由此获得自身的能量,而不损耗其它能源。这就使得观察者自己成为了自己给自己提供能量且可以给环境提供能量的能源本身。所以,一个确定性系统的价值,不在于自身是否提供能量,而在于其它观察者在观察这个确定性系统的过程中,获得了对自身能量的认识。但这种能量不应当轻易输出,否则会导致观察者自身出现难以弥补的匮乏。但此时的观察者可以成为其它观察者的被观察者,通过被观察者输出能量而获得能量补给。这就构成了能量上抽的逻辑链条。然而,确定性系统本身并不缺少能量,缺少能量的反而是不确定的度量系统。所以这种能量转移的模式,是应当慎用的。若是不得不用,应当在合适的时候给以归还。
确定性较低的系统,对确定性较高的系统评价为不确定度较高,这种认知正是导致能量分层,各个层次上的能量水平被锁死的原因。确定性具有差异的系统之间无法正确的判断确定性的确定程度,以及必须实际探查才能认知确定性的成本本身不确定,则是谎言和欺骗可以存在的原因。