openfast与simlink联合仿真模型,风电机组独立变桨控制与统一变桨控制。 独立变桨控制。 OpenFast联合仿真。

最近在搞风机控制的朋友应该都听说过OpenFAST和Simulink联合仿真这个组合拳。这俩工具搭伙干活的时候,最带劲的就是能玩转不同变桨控制策略。今天咱们就唠唠独立变桨和统一变桨这俩兄弟在联合仿真里的实战表现。

先说统一变桨,这货就像给三个桨叶绑了根隐形的绳子,不管风咋变,三个桨叶永远保持相同角度。在Simulink里实现起来贼简单,一个PID控制器就能搞定:
matlab
function pitch_cmd = collective_pitch(wind_speed)
Kp = 0.8;
Ki = 0.05;
persistent integral;
if isempty(integral)
integral = 0;
end
error = rated_speed - wind_speed;
integral = integral + error*dt;
pitch_cmd = Kp*error + Ki*integral;
end
这段代码看着清爽,但实际跑起来你会发现当遭遇风向突变时,叶片载荷波动能比老板的脸色变得还快。这时候就该独立变桨出场秀操作了------每个桨叶都有自己的专属控制器,相当于给每个桨叶配了私人教练。

OpenFAST的输入文件里得特别注意这个配置:
text
CompAero = 1
CompInflow = 2
CompServo = 1
NumBl = 3 //关键在这,三个独立控制通道
联合仿真时最刺激的是数据通讯环节。Simulink这边得处理三个独立控制通道,像这样在S-function里搞事情:
cpp
// 伪代码示例
for(int i=0; i<3; i++){
pitchCmd[i] = calculateIPC(bladeLoad[i], azimuth_angle);
}
这里面的azimuth_angle(方位角)是个戏精,得从OpenFAST的ElastoDyn模块实时扒数据。有次我忘了乘以57.3把弧度转角度,结果桨叶跳起了死亡华尔兹...

openfast与simlink联合仿真模型,风电机组独立变桨控制与统一变桨控制。 独立变桨控制。 OpenFast联合仿真。

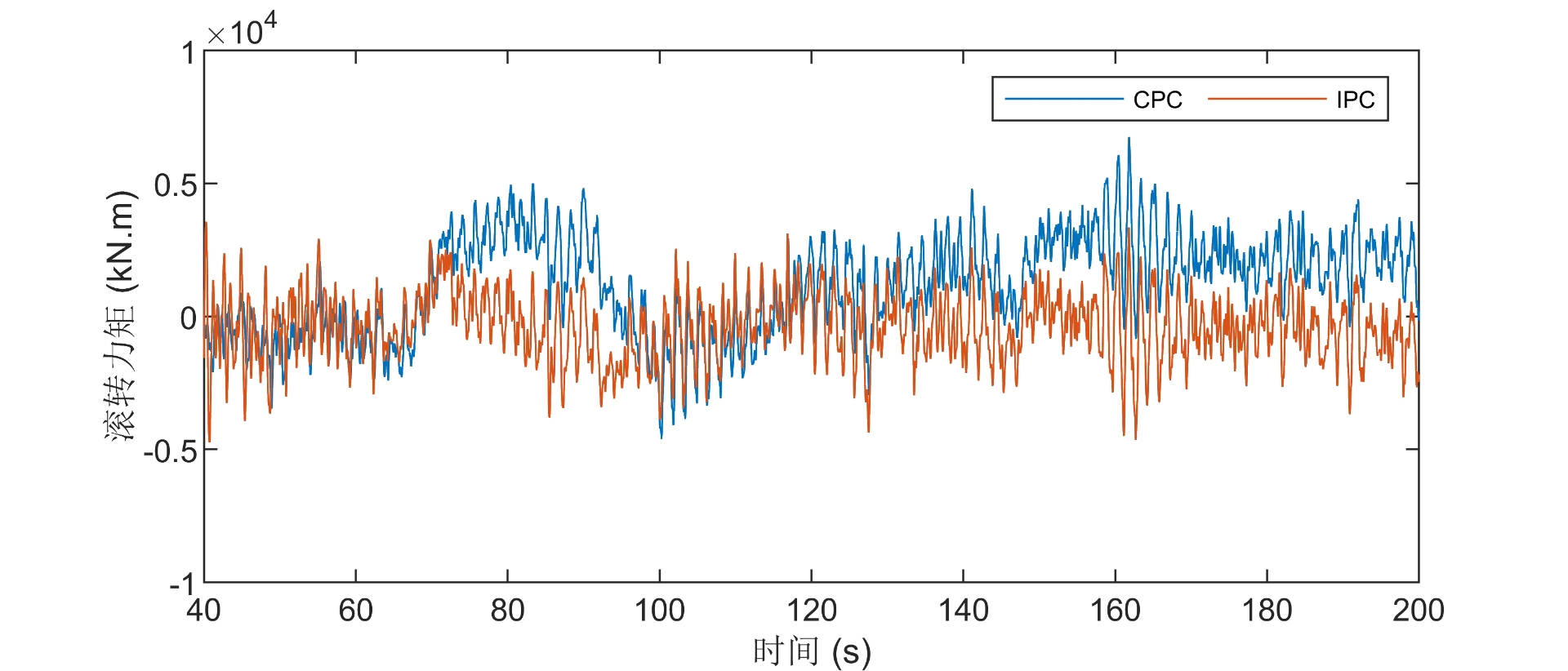
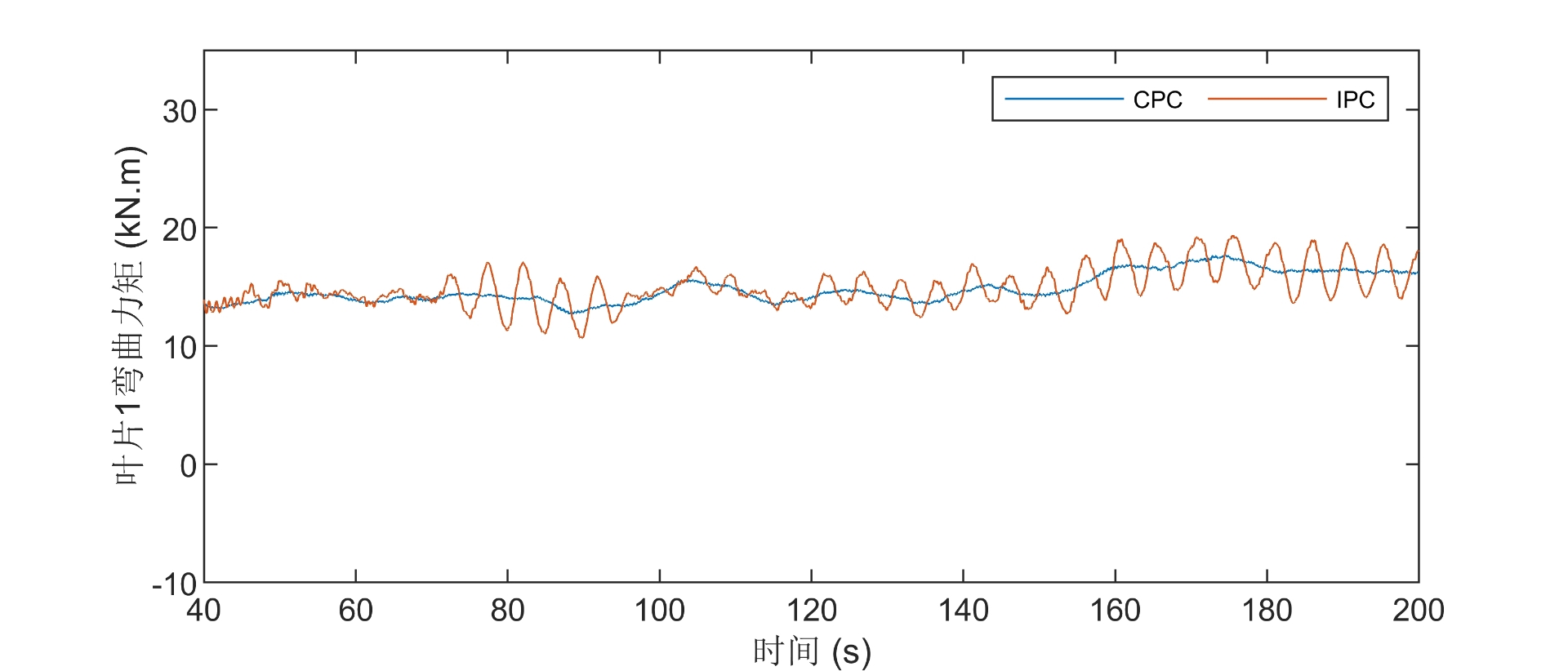
实测中发现个有趣现象:当湍流强度15%时,独立变桨能把叶片根部弯矩峰值削掉23%,不过代价是变桨轴承磨损量涨了18%。这就好比用兰博基尼发动机跑山路,爽是爽,但得备着两套刹车片。
联合仿真调试时有个坑必须提醒:把Simulink的固定步长和OpenFAST的DT参数对齐,否则你会看到桨叶角度值像蹦迪一样上蹿下跳。建议先用0.01秒步长试水,稳定了再往下压。
最后说个骚操作:可以混合使用两种策略。低风速时统一变桨省设备,过额定风速切独立模式保平安。代码实现就是在Simulink里加个模式切换逻辑:
matlab
if generator_speed > 0.98*rated_speed
control_mode = 1; //切独立模式
else
control_mode = 0; //统一模式
end
这招能让变桨系统像混血儿一样兼具二者优势,不过时序对齐得抠到毫秒级,不然切换瞬间的冲击载荷分分钟教你做人。
玩联合仿真就像组乐队,OpenFAST负责狂野的物理现实,Simulink充当理性控制大脑,两者得踩着同样的节奏点才能奏出和谐曲。下次调参卡壳时,不妨泡杯咖啡,把通讯时序图拉出来慢慢品,说不定就有新发现。