N3-PEG-Biotin(叠氮PEG生物素)是一种结合了叠氮基团(-N3)、聚乙二醇(PEG)链和生物素(Biotin)的双功能化合物,在生物医学领域具有广泛的应用。
【基本信息】
中文名称:叠氮-PEG-生物素;生物素-PEG-叠氮
英文名称:N3-PEG-Biotin;Azide-PEG-Biotin
CAS号:956748-40-6
分子量:0.4k--20k
外观:固体
纯度:≥95%
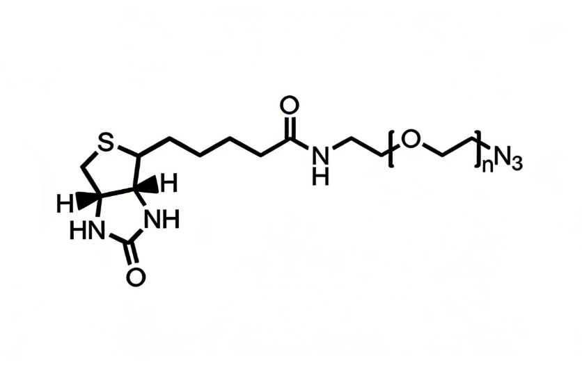
结构式:

溶剂:DMSO
推荐储存:-20℃干燥避光
常规规格:1g、5g、10g
【实验场景】
蛋白质标记:通过叠氮基团与炔基化蛋白质反应,将生物素标记到目标蛋白上,再通过亲和素-生物素系统进行纯化或检测。
核酸标记:标记含叠氮的核酸片段,用于分子杂交或测序。
纳米载体修饰:将N3-PEG-Biotin修饰在脂质体、聚合物纳米颗粒或金纳米颗粒表面,利用生物素的靶向性实现药物精准递送。
推荐试剂
HO-PEG11-CH2-COOH
Cl-PEG5-acid
Br-PEG3-Br
azido-mPEG8
azido-PEG12-OH
azido-mPEG3
Amino-PEG11-alcohol
azido-mPEG7
Hydroxy-PEG12-acid
Cl-PEG8-acid
azido-PEG13-OH
n-dodecyl-PEG9-OH
Br-PEG3-Br
azido-mPEG10
n-dodecyl-PEG1-OH
azido-mPEG4
azido-mPEG5
图文整理:乐乐
此资料涉及的试剂仅作科研使用,非药用、非诊疗。