标识信息
-
品名(英):Pyrene-PEG-Biotin;Py-PEG-Biotin;Biotin-PEG-Pyrene;Biotin-PEG-Py
-
品名(中):芘丁酸酯聚乙二醇生物素;芘丁酸酯-PEG-生物素
-
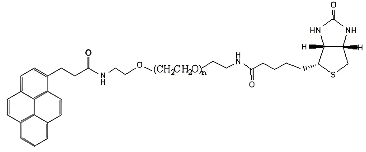
结构式:

-
外观形态:固体
-
纯度等级:≥95%
-
分子量:均可定制0.4k-20k
-
储存条件:-20℃,干燥、避光、防潮。
基本简介
芘丁酸酯聚乙二醇生物素(Pyrene-PEG-Biotin)是一种由疏水性荧光基团芘丁酸酯(Pyrene)、亲水性聚乙二醇(PEG)连接臂和生物素(Biotin)亲和标签构成的多功能分子探针。
结构组成
芘丁酸酯(Pyrene)荧光基团:作为疏水性多环芳烃荧光核心,在紫外光区具有特征性蓝色荧光发射,其荧光强度对环境极性高度敏感,可用于监测微环境变化和分子间相互作用。
PEG连接臂:赋予分子优异的水溶性和空间柔性,在偶联体系中提供有效的空间间隔以减少位阻干扰,降低非特异性吸附,并提高分子在水溶液中的稳定性和分散性。
生物素亲和标签:与亲和素/链霉亲和素具有皮摩尔级的超高亲和力,用于后续的特异性识别、捕获与检测。
芘基团介导的π-π堆积与荧光输出
非共价功能化:芘基团可通过π-π堆积作用与单壁碳纳米管等碳纳米材料的芳香表面发生强相互作用,实现PEG链和生物素标签在材料表面的非共价固定,避免共价修饰对材料结构的破坏。
环境敏感荧光:芘的荧光特性对微环境变化高度敏感,可用于研究分子组装、膜流动性或蛋白质相互作用。
推荐试剂
Mal-PEG1-OH
Mal-PEG12-acid
Biotin-LC-PEG4-NHS ester
Mal-PEG4-acid
Biotin-LC-Sulfo-NHS
Mal-PEG2-Mal
Biotin-LC-PEG7-NHS ester
Biotin-LC-PEG10-NHS ester
Mal-PEG12-OH
Mal-PEG10-acid
Biotin-LC-PEG1-NHS ester
Mal-PEG2-amine TFA salt
Biotin-LC-NHS
Mal-PEG5-acid
Biotin-LC-PEG9-NHS ester
图文整理:乐乐
此资料涉及的试剂仅作科研使用,非药用、非诊疗。