一.名称
英文名称:PC DBCO Biotin,PC Dibenzocyclooctyne Biotin
中文名称:PC DBCO 生物素,磷脂酰胆碱-二苯并环辛炔-生物素
分子式:C50H61N7O13S
分子量:1002.14
外观性状:Yellow amorphous solid
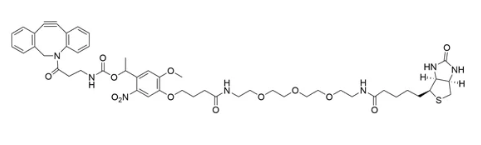
结构式:

二.产品形式
1.固体/粉末
2.溶于大部分有机溶剂,溶于水
3.端基取代率95%+
4.避免反复冻融,避光保存,储液应该立即使用,任何未用的溶液分装小份冷冻于 < -20°C。
三.产品介绍
PC Biotin DBCO是一种叠氮化物反应性光可固化生物素探针,允许从链霉亲和素中释放捕获的生物分子。该试剂含有通过含有光可裂解部分的间隔臂与DBCO部分连接的生物素部分。PC DBCO Biotin(磷脂酰胆碱-二苯并环辛炔-生物素)作为一种整合了光控释放、无铜点击化学和生物素-亲和素系统三大核心功能的试剂,凭借其独特的分子设计与卓越的性能,正在成为蛋白质组学、细胞成像、靶向药物递送等领域的"明星分子"。
PC DBCO Biotin的分子式为C₅₀H₆₃N₇O₁₃S,分子量1002.14,其结构由三个关键模块构成:
磷脂酰胆碱(PC)头部:作为细胞膜的主要成分,PC赋予分子两亲性,使其能够高效插入细胞膜或整合到脂质体中,为细胞表面标记提供天然"锚点"。
二苯并环辛炔(DBCO)基团:作为生物正交化学的核心反应位点,DBCO通过应变促进的炔烃-叠氮环加成反应(SPAAC),无需铜催化剂即可与叠氮化物快速、特异性结合,反应速率达10⁻³ M⁻¹s⁻¹,副反应率低于0.1%。
光裂解间隔臂与生物素(Biotin):生物素通过含光敏基团的间隔臂与DBCO连接,既保持了与链霉亲和素(Kd=10⁻¹⁵ M)的超高亲和力,又赋予分子光控释放能力------在365 nm近紫外光照射下,间隔臂断裂,5-25分钟内可释放>90%的捕获分子,且分子活性保持完整。
随着生物正交化学和光药理学的发展,PC DBCO Biotin的应用边界正在不断拓展。例如,通过设计不同波长响应的光裂解基团,可实现多阶段药物释放;结合CRISPR技术,DBCO标记的基因编辑工具可实现时空精准的基因调控。可以预见,PC DBCO Biotin将不仅是一种试剂,更将成为连接基础研究与临床转化的"分子桥梁",推动精准医学迈向新高度。

四.相关试剂
PC DBCCO Biotin
Biotin-PEG-DBCO
DBCO-PEG-Biotin
Biotin-SS-DBCO
DBCO-Biotin-NHS
Biotin-DBCO-Maleimide
DBCO-Biotin-Azide
Biotin-DBCO-Alkyne
DBCO-Biotin-Tetrazine
Biotin-DBCO-TCO
DBCO-Biotin-Cy3
Biotin-DBCO-Cy5
DBCO-Biotin-FITC
Biotin-DBCO-TRITC
DBCO-Biotin-BSA
Biotin-DBCO-OVA
DBCO-Biotin-Streptavidin
Biotin-DBCO-Dextran
DBCO-Biotin-Cholesterol
Biotin-DBCO-Lipid
本篇图文信息由西安强化生物科技xw整理!本试剂仅限于科研实验用途!