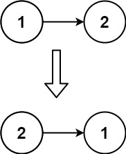
206.反转链表
给你单链表的头节点
head,请你反转链表,并返回反转后的链表。示例 1:
输入:head = [1,2,3,4,5] 输出:[5,4,3,2,1]示例 2:
输入:head = [1,2] 输出:[2,1]示例 3:
输入:head = [] 输出:[]提示:
- 链表中节点的数目范围是
[0, 5000]-5000 <= Node.val <= 5000**进阶:**链表可以选用迭代或递归方式完成反转。你能否用两种方法解决这道题?
原理
该算法使用 迭代 的方式反转链表。我们通过三个指针来进行操作:
pre: 用来保存已经反转部分的链表的尾部(即当前节点的前一个节点)。cur: 用来表示当前正在处理的节点。temp: 用来暂存cur.next节点,以便在改变cur.next后,仍能继续访问下一个节点。具体步骤:
初始化:
pre = null: 反转后的链表头节点的前一个节点是null(反转后的链表尾部的指针)。cur = head:cur用于遍历原链表的节点。temp = cur.next:temp用于存储cur.next,因为一旦我们改变了cur.next,我们就不能再访问原链表的下一个节点。遍历链表:
cur != null: 循环继续,直到cur为null,即处理完所有节点。temp = cur.next: 暂存当前节点的下一个节点。cur.next = pre: 反转当前节点的指针,让cur.next指向pre,将当前节点链接到已经反转的部分。pre = cur: 更新pre指针,pre向后移动一位,指向当前节点。cur = temp: 更新cur指针,cur向后移动一位,指向下一个节点。返回反转后的链表:
- 最终
pre指向的是新的头节点(反转后的链表的第一个节点),所以返回pre。时间复杂度:
- 时间复杂度是 O(n) ,其中
n是链表的节点数。我们遍历链表一次,每个节点的操作时间是常数时间。空间复杂度:
- 空间复杂度是 O(1),只用了常数空间,除了存储链表节点的指针变量,没有使用额外的空间。
代码
java
class Solution {
// 定义反转链表的方法
public ListNode reverseList(ListNode head) {
// 如果链表为空或者只有一个节点,直接返回 head
if (head == null || head.next == null) {
return head;
}
// pre 指针表示反转后的链表的前一个节点,初始化为 null
ListNode pre = null;
// cur 指针表示当前处理的节点,初始化为头节点
ListNode cur = head;
// temp 用来暂存 cur.next 节点
ListNode temp = cur.next;
// 遍历链表,直到 cur 为 null(即所有节点都被反转)
while (cur != null) {
// 将 cur.next 暂存到 temp
temp = cur.next;
// 将 cur.next 指向 pre,完成反转
cur.next = pre;
// pre 和 cur 都向后移动一位
pre = cur;
cur = temp;
}
// 返回反转后的链表的头节点,实际上是 pre 指针
return pre;
}
}
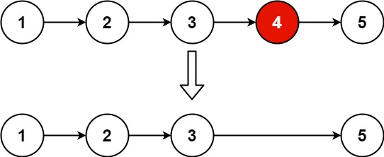
19.删除链表的倒数第 N 个结点
给你一个链表,删除链表的倒数第
n个结点,并且返回链表的头结点。示例 1:
输入:head = [1,2,3,4,5], n = 2 输出:[1,2,3,5]示例 2:
输入:head = [1], n = 1 输出:[]示例 3:
输入:head = [1,2], n = 1 输出:[1]提示:
- 链表中结点的数目为
sz1 <= sz <= 300 <= Node.val <= 1001 <= n <= sz**进阶:**你能尝试使用一趟扫描实现吗?
原理
这段代码的目标是 删除链表中的倒数第
n个节点 。为了高效实现这一目标,采用了 双指针 技巧,即通过使用slow和fast两个指针来一次遍历完成操作。步骤分析:
创建虚拟头结点:
- 创建一个虚拟的头结点
dummyNode,它指向head,目的是简化边界条件的处理,特别是当需要删除链表的头结点时。- 例如,在链表只有一个节点或删除的是第一个节点时,直接操作
dummyNode.next就能轻松处理这些情况。初始化
slow和fast指针:
slow和fast都初始化指向虚拟头结点dummyNode。slow用来最终指向要删除节点的前一个节点。fast用来辅助定位倒数第n个节点。移动
fast指针n步:
- 通过
for循环,让fast指针先向前移动n步。此时,fast和slow之间的距离为n。- 如果链表的长度是
sz,则fast会指向倒数第n个节点的前一个节点。同步移动
slow和fast指针:
- 让
slow和fast同时向前移动,直到fast到达链表的末尾(即fast.next == null)。此时,slow指针正好指向倒数第n个节点的前一个节点。- 例如,当
fast到达链表的最后一个节点时,slow指向的是要删除的节点的前一个节点。删除倒数第
n个节点:
- 删除节点的操作是通过
slow.next = slow.next.next来完成的,即让slow的next指向slow.next的下一个节点,从而跳过了倒数第n个节点。返回新链表的头结点:
- 最后,返回
dummyNode.next,因为虚拟头结点的下一个节点即为删除后的链表的头结点。举例说明:
考虑链表
[1, 2, 3, 4, 5],并且要删除倒数第 2 个节点(即值为 4 的节点):
- 初始状态:
slow和fast都指向dummyNode,即虚拟头结点。- 移动
fast指针 2 步:
fast指向节点 2。- 同步移动
slow和fast指针,直到fast到达链表的末尾:
fast最终指向节点 5,slow则指向节点 3。- 删除倒数第 2 个节点:
slow.next = slow.next.next,即slow.next从指向节点 4 改为指向节点 5,完成删除。最终,链表变为
[1, 2, 3, 5]。时间复杂度:
- 时间复杂度是 O(n) ,其中
n是链表的节点数。我们只遍历链表一次。空间复杂度:
- 空间复杂度是 O(1),除了使用常数空间的指针变量外,没有额外的空间开销。
代码
java
class Solution {
public ListNode removeNthFromEnd(ListNode head, int n) {
// 创建一个虚拟头结点(dummyNode),它指向头结点,便于处理删除头节点的情况
ListNode dummyNode = new ListNode(-1);
dummyNode.next = head;
// slow 和 fast 都初始化为虚拟头结点
ListNode slow = dummyNode;
ListNode fast = dummyNode;
// 将 fast 指针向前移动 n 个节点,确保 slow 和 fast 之间的距离为 n
for (int i = 0; i < n; i++) {
fast = fast.next;
}
// 同时移动 slow 和 fast,直到 fast 到达链表末尾
// 这样,slow 会指向倒数第 n 个节点的前一个节点
while (fast.next != null) {
fast = fast.next;
slow = slow.next;
}
// 删除倒数第 n 个节点
slow.next = slow.next.next;
// 返回删除后的链表头结点
return dummyNode.next;
}
}
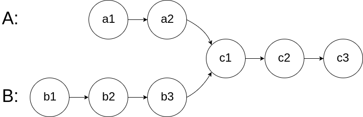
面试题02.07链表相交
给你两个单链表的头节点
headA和headB,请你找出并返回两个单链表相交的起始节点。如果两个链表没有交点,返回null。图示两个链表在节点
c1开始相交**:**题目数据 保证 整个链式结构中不存在环。
注意 ,函数返回结果后,链表必须 保持其原始结构 。
示例 1:
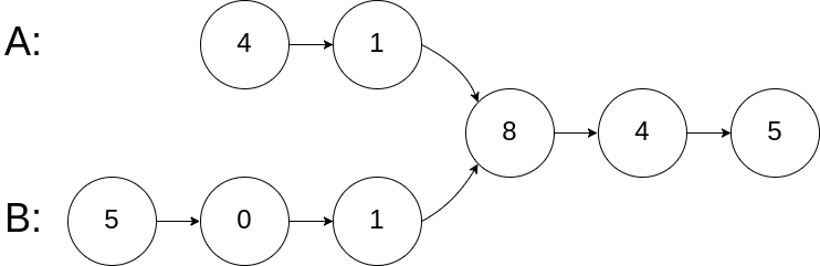
输入:intersectVal = 8, listA = [4,1,8,4,5], listB = [5,0,1,8,4,5], skipA = 2, skipB = 3 输出:Intersected at '8' 解释:相交节点的值为 8 (注意,如果两个链表相交则不能为 0)。 从各自的表头开始算起,链表 A 为 [4,1,8,4,5],链表 B 为 [5,0,1,8,4,5]。 在 A 中,相交节点前有 2 个节点;在 B 中,相交节点前有 3 个节点。示例 2:
输入:intersectVal = 2, listA = [0,9,1,2,4], listB = [3,2,4], skipA = 3, skipB = 1 输出:Intersected at '2' 解释:相交节点的值为 2 (注意,如果两个链表相交则不能为 0)。 从各自的表头开始算起,链表 A 为 [0,9,1,2,4],链表 B 为 [3,2,4]。 在 A 中,相交节点前有 3 个节点;在 B 中,相交节点前有 1 个节点。示例 3:
输入:intersectVal = 0, listA = [2,6,4], listB = [1,5], skipA = 3, skipB = 2 输出:null 解释:从各自的表头开始算起,链表 A 为 [2,6,4],链表 B 为 [1,5]。 由于这两个链表不相交,所以 intersectVal 必须为 0,而 skipA 和 skipB 可以是任意值。 这两个链表不相交,因此返回 null 。提示:
listA中节点数目为mlistB中节点数目为n0 <= m, n <= 3 * 1041 <= Node.val <= 1050 <= skipA <= m0 <= skipB <= n- 如果
listA和listB没有交点,intersectVal为0- 如果
listA和listB有交点,intersectVal == listA[skipA + 1] == listB[skipB + 1]进阶: 你能否设计一个时间复杂度
O(n)、仅用O(1)内存的解决方案?
原理
这段代码的目标是找出两个单链表的交点。如果两个链表有交点,返回交点的节点;如果没有交点,返回
null。思路:
计算链表的长度:
- 首先,我们遍历两个链表,计算出它们的长度
len1和len2。- 这样我们可以知道哪个链表更长。
调整长链表的指针位置:
- 如果链表A的长度大于链表B,那么我们可以让链表A的指针向前移动
len1 - len2步,这样两个链表的指针在接下来的遍历中将会指向相同的节点。- 如果链表B的长度大于链表A,那么我们也可以将链表B的指针向前移动
len2 - len1步。同步遍历两个链表:
- 调整指针位置之后,两个链表的剩余部分长度相等,我们可以同步遍历两个链表。
- 每次比较当前节点是否相等,一旦发现相等的节点,即为交点节点,返回该节点。
如果没有交点:
- 如果两个链表在遍历过程中没有发现相同的节点,则说明这两个链表没有交点,返回
null。举例说明:
假设链表A和链表B分别为:
链表A:[4, 1, 8, 4, 5]
链表B:[5, 0, 1, 8, 4, 5]
len1= 5,len2= 6由于链表B更长,我们把链表B的指针移动1步,变成:
链表A:[4, 1, 8, 4, 5]
链表B:[0, 1, 8, 4, 5]
然后同步遍历两个链表,发现第一个交点是在节点 8。
复杂度分析:
时间复杂度 :O(m + n),其中
m和n分别是链表A和链表B的长度。我们需要遍历两次链表,一次计算长度,一次同步遍历。空间复杂度:O(1),我们只使用了常数的额外空间,不会随链表长度增长。
代码
java
public class Solution {
// 主方法:获取两个链表的交点
public ListNode getIntersectionNode(ListNode headA, ListNode headB) {
// 记录链表A和链表B的长度
int len1 = 0, len2 = 0;
// 创建虚拟头结点以方便操作
ListNode dumyNode1 = new ListNode(-1);
ListNode dumyNode2 = new ListNode(-1);
dumyNode1.next = headA;
dumyNode2.next = headB;
// 计算链表A的长度
ListNode cur1 = dumyNode1;
while (cur1.next != null) {
cur1 = cur1.next;
len1++;
}
// 计算链表B的长度
ListNode cur2 = dumyNode2;
while (cur2.next != null) {
cur2 = cur2.next;
len2++;
}
// 如果链表A的长度大于链表B,交换两个链表,使得链表A较短
if (len1 >= len2) {
return getNode(headA, headB, len1, len2);
} else {
return getNode(headB, headA, len2, len1);
}
}
// 辅助方法:将长度较长的链表指针往前移动,直到两个链表指针等长
public ListNode getNode(ListNode headA, ListNode headB, int len1, int len2) {
ListNode cur1 = headA;
ListNode cur2 = headB;
// 将长链表的指针移动到与短链表对齐
for (int i = 0; i < (len1 - len2); i++) {
cur1 = cur1.next;
}
// 同步遍历两个链表,找到第一个相同的节点
while (cur1 != null && cur2 != null) {
if (cur1 == cur2) {
return cur1; // 找到交点
}
cur1 = cur1.next;
cur2 = cur2.next;
}
// 如果没有交点,返回null
return null;
}
}
142.环形链表II
给定一个链表的头节点
head,返回链表开始入环的第一个节点。 如果链表无环,则返回null。如果链表中有某个节点,可以通过连续跟踪
next指针再次到达,则链表中存在环。 为了表示给定链表中的环,评测系统内部使用整数pos来表示链表尾连接到链表中的位置(索引从 0 开始 )。如果pos是-1,则在该链表中没有环。注意:pos不作为参数进行传递,仅仅是为了标识链表的实际情况。不允许修改链表。
示例 1:
输入:head = [3,2,0,-4], pos = 1 输出:返回索引为 1 的链表节点 解释:链表中有一个环,其尾部连接到第二个节点。示例 2:
输入:head = [1,2], pos = 0 输出:返回索引为 0 的链表节点 解释:链表中有一个环,其尾部连接到第一个节点。示例 3:
输入:head = [1], pos = -1 输出:返回 null 解释:链表中没有环。提示:
- 链表中节点的数目范围在范围
[0, 104]内-105 <= Node.val <= 105pos的值为-1或者链表中的一个有效索引进阶: 你是否可以使用
O(1)空间解决此题?
原理
这段代码的目的是检测链表是否存在环,并返回入环的第一个节点。如果链表没有环,则返回
null。解决方案使用了 快慢指针(Floyd's Cycle Detection Algorithm)的方法,具体步骤如下:1. 初始化两个指针:
- 慢指针
slow:每次走一步。- 快指针
fast:每次走两步。2. 快慢指针的移动:
- 快指针
fast和慢指针slow同时从链表头开始遍历。- 每次,
slow前进一步,fast前进两步。- 如果链表中存在环,则快指针
fast和慢指针slow必定会在环中相遇。3. 相遇判断:
- 当
slow == fast时,表明链表存在环,因为快指针追上了慢指针。4. 找到环的起始节点:
- 一旦发现快慢指针相遇,就表示链表中有环。此时,我们将一个指针(可以是
fast或者head)重新指向链表头部,另一个指针保持在相遇点。- 然后两个指针每次都走一步,直到它们再次相遇。这时,它们相遇的节点即为链表中的环的起始节点。
5. 如果链表没有环:
- 如果
fast或fast.next为null,说明链表没有环,直接返回null。举例说明:
假设链表为:[3, 2, 0, -4],并且链表尾部连接到第二个节点(即节点 2),我们将通过快慢指针检测环。
初始化时,
slow和fast都指向链表的头节点(值为 3)。第一次迭代:
slow移动到节点 2(走一步)。fast移动到节点 0(走两步)。第二次迭代:
slow移动到节点 0。fast移动到节点 2。第三次迭代:
slow移动到节点 -4。fast移动到节点 -4。- 此时
slow == fast,说明快慢指针相遇,链表中有环。接着,指针
index1被重置为相遇点(即 -4),指针index2被重置为链表头(即 3),然后两个指针每次向前走一步:
- 第一次迭代:
index1移动到节点 3,index2移动到节点 2。- 第二次迭代:
index1移动到节点 2,index2移动到节点 2。结果发现,
index1和index2相遇,返回节点 2,表示链表的入环节点。复杂度分析:
时间复杂度 :O(n),其中
n是链表中的节点数。我们最多需要遍历两次链表:第一次是快慢指针相遇,第二次是从头开始找入环节点。空间复杂度:O(1),只使用了常数的额外空间。
代码
java
public class Solution {
// 主方法:检测链表是否有环,若有环返回入环的第一个节点
public ListNode detectCycle(ListNode head) {
// 初始化慢指针和快指针,均指向链表头部
ListNode slow = head;
ListNode fast = head;
// 快慢指针的循环,快指针每次移动两步,慢指针每次移动一步
while (fast != null && fast.next != null) {
slow = slow.next; // 慢指针移动一步
fast = fast.next.next; // 快指针移动两步
// 如果快慢指针相遇,则说明链表有环
if (slow == fast) {
// 相遇时,将fast指针重置为head,继续寻找入环点
ListNode index1 = fast;
ListNode index2 = head;
// 移动两个指针,直到它们相遇时,即为入环节点
while (index1 != index2) {
index1 = index1.next; // 指针1步进
index2 = index2.next; // 指针2步进
}
// 返回入环节点
return index1;
}
}
// 如果没有环,返回null
return null;
}
}









