1.什么要学习决策树?
处处都是选择,并且到处都是岔路口。比如你发现某只股票几天时间内涨了很多,如果是你,你会买进吗?如果买进了,你就得承担后果,要么会大赚一笔,要么会血本无归。总之,用算法替代主观判断,避免情绪化投资决策。
2.什么是决策树?
决策树是一种常见的分类和回归模型。通俗来说,决策树其实就是一颗能替我们做决策的树,或者说是是一种树,一种依托于策略抉择而建立起来的树。(有点类似于编程语言中的if-else结构)

2.1基本概念

****节点(Node):****表示一个特征或属性。
****根节点(Root Node):****树的最顶层节点,表示整个数据集的初始分割。
内部节点(Internal Node)/子节点:除根节点和叶节点外的节点,用于进一步分割数据。
****叶节点(Leaf Node):****树的末端节点,表示分类或回归结果。
****边(Edge):****节点之间的连接,表示特征或属性的可能取值。
****路径(Path):****从根节点到叶节点的一条路径,表示一系列决策。
2.2图示例

在这个推断的过程中,其实已经不知不觉中运用了一次,决策树的预测流程,也就是说这个脑回路就是一个决策树的模型。但模型确定好了,不管输入什么样的信息,都能预测出来到底是打篮球还是不打篮球,所以这才是理解决策树算法的关键!并不是理解如何根据输入来预测结果,关键在于如何构建出一个好的决策树模型,让我们的预测结果更加精准!
3.决策树的历史背景
决策树的概念可以追溯到20世纪60年代。最早的决策树算法之一是ID3(Iterative Dichotomiser 3),由Ross Quinlan在1986年提出。ID3通过信息增益(Information Gain)选择特征来构建决策树。随后,Quinlan提出了C4.5算法,它是ID3的改进版,处理了缺失值和连续属性问题。在20世纪90年代,Leo Breiman等人提出了CART(Classification and Regression Trees)算法,该算法不仅适用于分类任务,还适用于回归任务。此外,CART算法引入了基尼指数(Gini Index)作为分裂标准。
4.构建决策树
决策树算法通常是一个递归地选择最优特征,并根据该特征对训练数据进行分割,使得各个子数据集有一个最好的分类的过程。这一过程对应着对特征空间的划分,也对应着决策树的构建。

4.1 选择最佳特征
一般来说,构建决策树时会遵循一个指标,有的是按信息增益来构建的,这种就叫ID3算法;有的是按信息增益比来构建的,这种叫C4.5算法;有的是按照基尼系数来构建的,这种叫CART算法。
4.1.1 ID3算法
整个ID3算法是围绕着信息增益来的,所以要弄清楚ID3算法的流程。首先需要弄清楚什么是信息增益?但是要搞清楚信息增益之前,还得弄明白一个概念---熵(entropy)。所以什么是熵?在信息论和概率统计中,为了表示某个随机变量的不确定性,就引出了一个概念叫熵。
这个概念最早起源于物理学,在物理学中是用来度量一个热力学系统的无序程度,而在信息学里面,熵是对不确定性的度量。香农引入了信息熵,将其定义为离散随机事件出现的概率,一个系统越是有序,信息熵就越低,反之一个系统越是混乱,它的信息熵就越高。所以信息熵可以被认为是系统有序化程度的一个度量。
对于某个数据集D来说,假设数据集中有n类样本,其中第k样本的比例为pk,则该数据集的信息熵为:

数据集D的信息熵,反映了数据集D的混乱程度。Ent(D)越大,数据集中类别分布越混乱;Ent(D)越小,数据集D中类别越纯(比较极端的情况是:只有一个类别,此时Ent(D)为0)。
假设某个属性a把数据集D划分成了V个子集D1,D2,...,DV,那么划分后,每个子集的信息熵为Ent(D1),Ent(D2),...,Ent(DV)。将子集的熵加权求和,结果作为划分后子集的熵。权为每个子集中元素的比例,因此,引入属性a划分数据集后,新的熵为:

公式(1)为数据集初始的信息熵,公式(2)是引入属性a划分数据集后的信息熵,引入属性a前后,信息熵发生了改变。这种改变称为该属性带来的"信息增益"(information gain),记为:

既然属性可以带来信息的改变,就可以用信息增益大的属性来划分数据。因此,需要分别计算每个属性的信息增益,选择信息增益最大的属性作为决策树的根节点,然后根据根节点的属性值划分数据集。对划分后的数据集继续计算其余属性的信息增益,再选择信息增益最大的作为子树的根节点,如此进行下去,直到某个子集"纯"了为止。

在理解了信息增益后,需要转变一下思路,把它套在机器学习上。
举个案例:
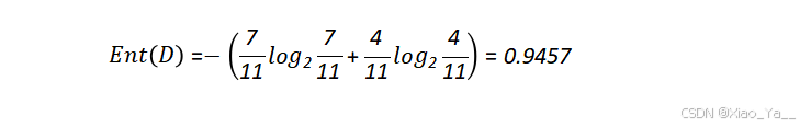
有11个样本的数据集D,其中标签属性中有7个输出为打篮球,4个为不打篮球。

第一次划分:计算每个属性的信息增益,选择信息增益最大的节点作为根节点。
根据公式(1)计算出训练集初始的熵为:

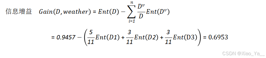
属性"天气"有3个取值(晴、阴、小雨),如果以天气作为属性进行划分:


如果以温度作为属性划分:


湿度、刮风的计算细节就不再展示,同样的方法计算得出,当湿度作为属性进行划分,信息增益为0.6176;刮风作为属性进行划分,信息增益为0.0238。

计算结果显示,当天气作为属性时,信息增益最大。因为ID3算法就是寻找信息增益最大的属性作为节点,所以我们最终选取天气作为根节点。
天气已经确定为根节点,所以天气这个属性后面也不必再重复计算,以确保已经确定为节点的属性在任意路径最多只出现一次。
当天气等于晴天时,所有的结果都是打篮球,没有任何不确定性,所以不必再继续分下去,叶子节点就是打篮球;
当天气等于小雨时,所有的结果都是不打篮球,没有任何不确定性,所以也不必再继续分下去,叶子节点就是不打篮球;
当天气等于阴天时,结果有打篮球,也有不打篮球。所以我们必须再从温度、湿度、刮风等条件属性中,找到信息增益最大的属性作为节点,继续分裂下去。
计算方法和上面一样,分别求出当条件是温度、湿度、刮风时的信息增益。经过计算会发现选择属性温度时,信息增益最大,所以阴天这个分支,继续选择温度作为子节点。温度作为节点之后,再继续分裂,没有任何不确定性。当温度为中的时候,结果都是打篮球,低的时候,结果是不打篮球。所以整个决策树就构造完成了。

4.1.2 C4.5算法
采用信息增益作为选择最佳根节点的标准,会对取值数量较多的属性有偏好,为了避免这种偏好产生负面影响,著名的C4.5算法采用"增益率(比)"来作为确定最佳根节点的标准,其中,增益率的计算公式为:

其中,

IV(a)是属性a固有的属性。|D|表示数据集D中元素的数量。公式5本质上是熵。某个属性a的取值很多的时候,就会把数据集|D|划分成多个子集,那么这种划分就相当于比较混乱,IV(a)值就大,将其倒数作为系数去乘属性a的信息增益Gain(D,a),会压制信息增益对属性取值多的偏好。
例如,如上面所讲,对于天气属性取值有3个,将数据集划分为3部分,每部分数据的数量分别为5个、3个、3个。此时,天气属性的IV(天气)为:

从上面可以看出,属性的取值越多,其IV值越大,其IV值倒数越小,则按公式(4)计算出来的增益率被压制得越大。然而这样做又有了新的偏好,偏好属性取值数量少。C4.5算法在解决问题的时候,是将信息增益与增益率结合起来使用的,首先从候选属性中找到信息增益高于平均水平的属性,再选择增益率最高的属性作为根节点。

天气
/ | \
晴 / 阴 \ 雨
/ | \
打篮球 [温度] 不打篮球
/ \
中/ \低
/ \
打篮球 不打篮球
4.1.3 CART算法
除了信息增益、增益率可以作为构造决策树的标准外,还可以使用基尼指数来生成决策树。分类与回归树(classification and regression tree,CART)是一种基于基尼指数生成决策树的方法。
假设在分类问题中,数据集D有K个类,样本点属于第K类的概率为Pk,则数据集D的基尼值定义为:

当数据集D中只有1个类别时,该类别出现的概率为1,Gini(D)=0,数据集是纯的,当数据集纯度越大,其基尼值越小。
引入某个属性a后,将数据集D划分为若干子集,属性a的基尼指数定义为:

在构造决策树时,选择基尼指数最小的属性作为根节点。


依次计算每个属性的基尼指数,并将基尼指数最小的属性作为决策树的根节点。其余过程与ID3决策树的构造过程类似。
天气
/ | \
晴 / 阴 \ 雨
/ | \
打篮球 [温度] 不打篮球
/ \
中/ \低
/ \
打篮球 不打篮球
5.决策树剪枝
无论是采用信息增益、增益率还是基尼指数构造决策树,构造出来一棵完全生长的决策树都会存在过拟合现象。为了降低过拟合的风险,需要对决策树进行剪枝处理(pruning)。决策树的剪枝有两种方法:预剪枝(pre-pruning)和后剪枝(post-pruning)。
预剪枝是指在决策树的生成过程中,在每一步划分时,确定了划分属性后,先要估计一下泛化能力。(泛化能力是指机器学习模型对未见过的数据(即训练数据之外的数据)的适应和预测能力。)若当前划分能带来泛化性能的提升,则划分,否则,停止划分,并将当前节点标记为叶节点。后剪枝则是先利用训练集生成一棵完整的决策树,然后自底向上地对非叶节点进行考察泛化性能。做法就是将数据集分成训练集和验证集。训练集用于构造决策树,验证集用于泛化性能的评估。
表1 训练集D1
|----|----|----|----|---|----|
| 编号 | 天气 | 温度 | 湿度 | 风 | 打球 |
| 1 | 晴 | 高 | 高 | 弱 | 否 |
| 3 | 阴 | 高 | 高 | 弱 | 否 |
| 5 | 雨 | 低 | 正常 | 弱 | 是 |
| 6 | 雨 | 低 | 正常 | 强 | 否 |
| 8 | 晴 | 中 | 高 | 弱 | 否 |
| 10 | 雨 | 中 | 正常 | 弱 | 是 |
| 11 | 晴 | 中 | 正常 | 强 | 是 |
| 13 | 阴 | 高 | 高 | 弱 | 是 |
| 15 | 阴 | 低 | 高 | 弱 | 是 |
| 16 | 晴 | 高 | 正常 | 弱 | 否 |
表2 验证集
|----|----|----|----|---|----|
| 编号 | 天气 | 温度 | 湿度 | 风 | 打球 |
| 2 | 晴 | 高 | 高 | 强 | 否 |
| 4 | 雨 | 中 | 高 | 弱 | 是 |
| 7 | 阴 | 低 | 正常 | 强 | 是 |
| 9 | 晴 | 低 | 正常 | 弱 | 是 |
| 12 | 阴 | 中 | 高 | 强 | 是 |
| 14 | 雨 | 中 | 高 | 强 | 否 |
| 17 | 雨 | 低 | 高 | 强 | 否 |
如果不进行剪枝处理:

根据训练集D1构造的未剪枝的决策树
5.1 预剪枝
预剪枝过程是先确定的划分属性,再判断泛化性能是否会提升来决定是否进行划分。
基于信息增益准则,在划分前,所有的样本都集中在根节点,若不进行划分,该节点将被标记为叶节点,其类别标记为训练样本数最多的类别。在训练集中,两类样本一样多,先随便选择一类。假设将这个叶节点标记为"是",也就是说,不管什么样的数据,决策树都判断打球为"是"。验证集精度为57.1%,若要对数据集D1进行划分,选择信息增益最大的属性进行划分,计算各个属性的信息增益如下:

"天气"和"温度"属性的信息增益最大且相同,这里选择温度属性进行样例的划分,得到结果如图所示:

用温度属性生成的预剪枝决策树


预剪枝第1次划分过程

然后,决定是否对"温度=高"的分支进行划分。由于验证集中"温度=高"的样本只有编号为2的1个样例,而且已经分类正确,由于划分后不会增加验证集的精度,故不再进行划分。对"温度=适中"进行划分:

"湿度"的信息增益最大,故选择"湿度"进行划分。

预剪枝第2次划分
采用湿度进行第二次划分后,训练集被分割为2个分支,将样本类别出现最多的类别作为叶节点,可以得到第二次预剪枝决策树。

采用湿度进行划分后的决策树

用上面的决策树在验证集上分类,由于划分导致验证集精度降低,因此不用湿度进行划分。

接下来对"温度=低"进行划分:

选择具有最大信息增益的风进行划分:

采用风进行划分的过程
用上面的决策树在验证集上分类,由于划分导致验证集精度降低,因此不用风进行划分。用风划分取消。预剪枝的最终结果:

预剪枝最终的决策树
5.2 后剪枝
后剪枝先从训练集生成一棵完整的决策树,根据表1中的训练集,构造的完全生成的决策树如下提,该决策树在验证集上的分类精度为71.4%。


根据训练集构建的完全生长的决策树

后剪枝首先考虑节点4,若将其余分支剪除,则相当于把节点4替换为叶节点,替换后的叶节点包含编号为{5,6,10}的训练样本,选择这几个样本中最多的类别作为叶节点的标签。此时决策树的验证集精度下降为42.9%,于是,节点4保留。如下图所示。

剪枝节点4验证集精度前后对比
接下来考虑是否剪掉节点3,若将其余分支剪除,则相当于把节点3替换为叶节点,替换后的叶节点包含编号{3,13,15}的训练样本,该叶节点的类别标记为是。此时决策树的验证集精度仍为71.4%,没有得到改善。节点3得到保留。

剪枝节点3验证集精度前后对比
然后考虑节点2,替换后的叶节点包含编号为{1,8,11,16}的训练样本。

剪枝节点2验证集精度前后对比
对于节点1,如果将其分支剪除,节点1包含训练集中的所有样本,类别为是和否都为5个,则将叶节点的类别标记为是(当样本类别最多的类不唯一时,可任选其中一类),所得到的决策树的验证集精度下降到57.1%。节点1 保留。
最终,基于后剪枝策略所生成的决策树,如下图:

最终的后剪枝决策树

预剪枝最终的决策树
可以看出,后剪枝的决策树比预剪枝的决策树分支更多。一般,后剪枝决策树的欠拟合风险很小,泛化性能往往优于预剪枝的决策树。但后剪枝需要先生成一棵完全生长的决策树,再自底向上地对树中所有的非叶子节点进行逐一判断,因此其训练过程中的时间开销比预剪枝决策树大很多。
6.决策树与集成学习
集成学习是将多个弱模型(如决策树)组合成一个强模型,以提高整体的预测性能。主要思想是:多个模型的"集体智慧"要优于单个模型的判断。(决策树是集成学习中最常用的基础模型。)
决策树比较容易过拟合,因此需要树的结构进行约束。利用剪枝等方法来砍掉冗余的分支,使得树结构尽量简单,以提高树模型在未训练数据上的预测表现(也就是泛化能力)。除此之外,集成学习(Ensemble Learning),横向地增加多个树,并利用多个树模型结果综合判断,也是个能提高模型性能常用方法。(集成学习通过多个决策树组合,弥补单棵树的不足。)
集成后的模型比单一决策树更强、更稳定、更精准。