
目录
[编辑 二、行列式的性质](#编辑 二、行列式的性质)
[2- 3、拉普拉斯定理、克莱姆法则](#2- 3、拉普拉斯定理、克莱姆法则)
一、行列式的定义**⭐**
对角线法则求三阶行列式
由三阶行列式推及n阶行列式

下图验证上图理论------按任意行或列展开结果相同
按行展开

按列展开

1-1、三阶行列式练习

计算行列式时,选择零元素较多的行或列展开可大大简化行列式的计算。
1-2、下面介绍下三角行列式、上三角行列式、对角行列式

二、行列式的性质
2-1、性质1,2,3,4,5,6



2-2、性质7

2- 3、拉普拉斯定理、克莱姆法则



三、第一章思维导图

补充:范德蒙行列式

四、行列式练习
一、计算行列式
第一题的第四个题是标准的范德蒙行列式 

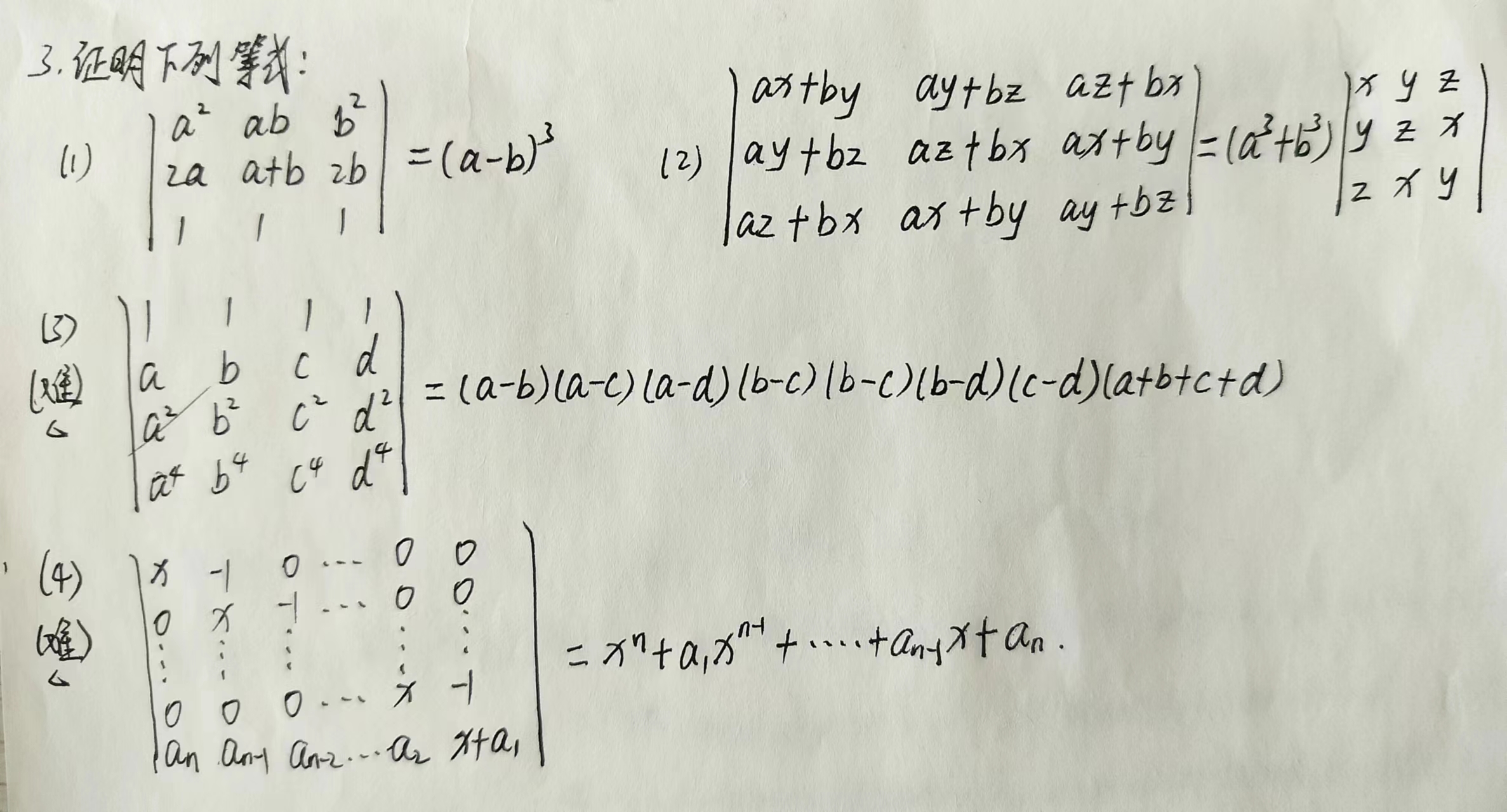
二、证明行列式等式





三、行列式计算



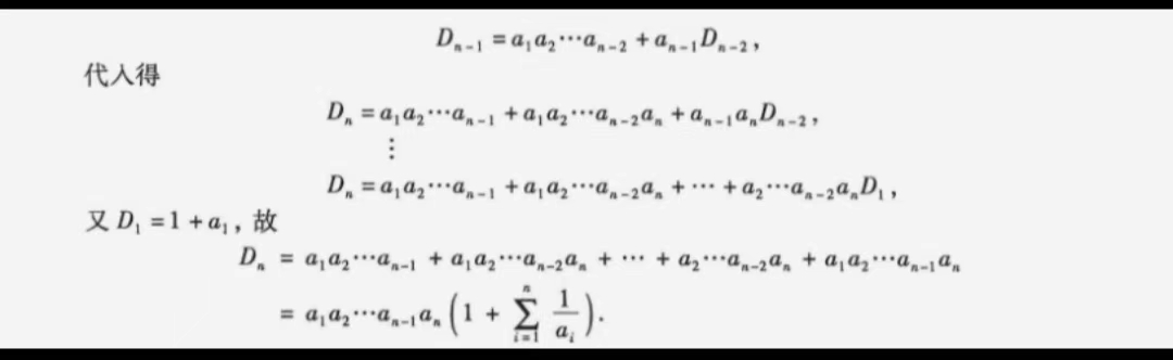
四、计算N阶行列式






五、克莱姆法则解方程组


六、齐次线性方程组,非零解判定条件应用
定理:其次线性方程组有非零解,则它的系数行列式必为零。



