图的存储结构
因为图中既有节点,又有边(节点与节点之间的关系),因此,在图的存储中,只需要保存:节点和边关系即可。
节点保存比较简单,只需要一段连续空间即可,那边关系该怎么保存呢?
1. 邻接矩阵
第一种存储结构---->邻接矩阵
邻接矩阵如何保存图的顶点和边呢?
因为节点与节点之间的关系就是连通与否,即为0或者1,因此邻接矩阵(二维数组)即是:
先用一个数组将顶点保存,然后采用矩阵来表示节点与节点之间的关系(边)
比如:
值为1就表示对应的这两个顶点是连通的,为0就表示两个顶点不连通
那其实观察上面的图我们可以发现:
无向图的邻接矩阵是对称的,第i行(列)元素之和,就是顶点i的度(边没有权值,只存0/1的情况下,元素和就是度)
有向图的邻接矩阵则不一定是对称的,第i行(列)元素之和就是顶点i 的出(入)度(边没有权值,只存0/1的情况下)
另外呢:
如果边带有权值,并且两个节点之间是连通的,上图中的边的关系(1/0)就用权值代替,如果两个顶点不通,可以使用无穷大代替(后面我们实现的时候就要增加一个表示无穷大的模板参数)
2. 用邻接矩阵存储图的优点是能够快速知道两个顶点是否连通,取到权值
缺陷是如果顶点比较多,边比较少时 ,矩阵中存储了大量的0成为系数矩阵,比较浪费空间 ;所以邻接矩阵比较适合存储稠密图(边比较多的图),不适合存储稀疏图(边比较少的图) 而且要求两个节点之间的路径不好求; 还有求一个顶点相连的顶点有哪些也不好求(O(N),这个用后面的邻接表结构存储的话就很好求)。
在写邻接矩阵存储的代码时遇到了一个值得学习的bug,下面的bug怎么修改
template<class V, class W, W MAX_W = INT_MAX, bool Direction>
// 参数3有默认值 ↗ ↗ 参数4无默认值
参数 3 (MAX_W) 有默认值,但参数 4 (Direction) 没有。这违反了 C++ 标准。
所以我们把bool Direction移到 这个 W MAX_W = INT_MAX前面就好了,或者添加在后面添加一下默认参数。
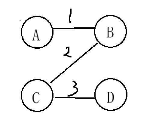
接下来我实现一下,下图中这个例子:

namespace Adjacency_matrix
{
// V接受顶点(vertex)的类型,W接受权值的类型,Direction(false无向图,true有向图)
template<class V, class W, bool Direction, W MAX_W = INT_MAX>// 有权值的情况下不连通的边权值存INT_MAX
class Graph
{
public:
// "0123" 4
Graph(const V* ver, size_t n)
{
// 存储顶点与下标建立映射
_vertexs.reserve(n);
for (int i = 0; i < n; i++)
{
_vertexs.push_back(ver[i]);
_indexMap[ver[i]] = i;
}
//给邻接矩阵开空间
_matrix.resize(n); // 外向量n大小
for (auto& e : _matrix)
{
e.resize(n, MAX_W); // 内向量n大小
}
}
size_t GetVertexIndex(const V& v)
{
auto it = _indexMap.find(v);
if (it != _indexMap.end())
{
return it->second;
}
else
{
cout << "顶点不存在" << endl;
return -1;
}
}
void AddEdge(const V& src, const V& dst, const W& w) // src起始顶点,dst终止顶点,w权值
{
size_t srci = GetVertexIndex(src);
size_t dsti = GetVertexIndex(dst);
// 添加一条边为A->B,B->A
_matrix[srci][dsti] = w;
if (Direction == false) // 无向图
{
_matrix[dsti][srci] = w;
}
}
void DellEdge(const V& src, const V& dst)
{
size_t srci = GetVertexIndex(src);
size_t dsti = GetVertexIndex(dst);
// 删除一条边为A->B,B->A;
_matrix[srci][dsti] = 0;
if (Direction == false) // 无向图
{
_matrix[dsti][srci] = 0;
}
}
void Print()
{
// 打印顶点和下标映射关系
for (size_t i = 0; i < _vertexs.size(); ++i)
{
cout << _vertexs[i] << "--" << i << " ";
}
cout << endl << endl;
// 打印矩阵
for (size_t i = 0; i < _matrix.size(); ++i)
{
cout << i << " ";
for (size_t j = 0; j < _matrix[i].size(); ++j)
{
if (_matrix[i][j] != MAX_W)
cout << _matrix[i][j] << " ";
else
cout << "#" << " ";
}
cout << endl;
}
cout << endl << endl;
}
private:
vector<V> _vertexs; // 顶点集合
vector<vector<W>> _matrix;//存储边的矩阵
map<V, int> _indexMap; //顶点和下标建立映射
};
void test()
{
Graph<char, int, false, INT_MAX> g("ABCD", 4);
g.AddEdge('A', 'B', 1);
g.AddEdge('B', 'C', 2);
g.AddEdge('C', 'D', 3);
g.AddEdge('D', 'A', 4);
g.DellEdge('D', 'A');
g.Print();
}
}
结果展示:

2. 邻接表
使用数组存储顶点的集合,使用链表存储顶点的关系(边)。
比如
无向图邻接表存储

一个顶点与哪些顶点相连,相连的顶点就存到这个顶点对应的链表中,当然如果带权的话也要存上对应边的权值。 (每个顶点都有一个对应的链表,多条链表用一个指针数组就可以维护起来)
注意:无向图中同一条边在邻接表中出现了两次。如果想知道顶点vi的度,只需要知道顶点vi 对应链表集合中结点的数目即可
有向图邻接表存储:

那通过上面的了解其实我们可以得出,对于邻接表的存储方式
适合存储稀疏图(边比较少的图),因为邻接表的话有多少边链表里面就存几个对应的顶点,不需要额外的空间;而上面邻接矩阵不论边多边少都要开一个N*N的矩阵(二维数组),边少的时候那就大部分位置都存的是0
方便查找从一个顶点连接出去的边有哪些,因为它对应的边链表里面存的就是与这个顶点相连的顶点
但是不方便确定两个顶点是否相连和获取权值(要遍历其中一个顶点的边链表查找O(N))
代码实现方式:
namespace link_table
{
template<class W>
struct Edge
{
size_t _dsti; // 边的终止顶点下标
W _w; // 权值
Edge<W>* _next;
Edge(const size_t& dsti, const W& w)
:_dsti(dsti)
,_w(w)
,_next(nullptr)
{}
};
// V接受顶点(vertex)的类型,W接受权值的类型,Direction(false无向图,true有向图)
template<class V, class W, bool Direction = false>
class Graph
{
typedef Edge<W> Edge;
public:
// "0123" 4
Graph(const V* ver, size_t n)
{
//存储顶点并与下标建立映射
_vertexs.reserve(n);
for (size_t i = 0; i < n; i++)
{
_vertexs.push_back(ver[i]);
_indexMap[ver[i]] = i;
}
// 给邻接表开空间
_tables.resize(n, nullptr);
}
~Graph()
{
for (size_t i = 0; i < _tables.size(); i++)
{
if (_tables[i])
{
Edge* cur = _tables[i];
Edge* next = cur;
while (cur)
{
next = cur->_next;
delete cur;
cur = next;
}
}
}
}
size_t GetVertexIndex(const V& v)
{
auto it = _indexMap.find(v);
if (it != _indexMap.end())
{
return it->second;
}
else
{
cout << "顶点不存在" << endl;
return -1;
}
}
void AddEdge(const V& src, const V& dst, const W& w)
{
size_t srci = GetVertexIndex(src);
size_t dsti = GetVertexIndex(dst);
// src -> dst A -> B
Edge* eg = new Edge(dsti, w);
eg->_next = _tables[srci];
_tables[srci] = eg;
// 如果是无向图,再添加反向边dst->src
if (Direction == false)
{
Edge* eg = new Edge(srci, w);
eg->_next = _tables[dsti];
_tables[dsti] = eg;
}
}
void DelEdge(const V& src, const V& dst)
{
del(src, dst);
// 如果是无向图,再添加反向边dst->src
if (Direction == false)
{
del(dst, src);
}
}
void Print()
{
// 打印顶点
for (size_t i = 0; i < _vertexs.size(); ++i)
{
cout << "[" << i << "]" << "->" << _vertexs[i] << endl;
}
cout << endl;
// 遍历打印每个顶点的边链表
for (size_t i = 0; i < _tables.size(); ++i)
{
cout << _vertexs[i] << "[" << i << "]->";
Edge* cur = _tables[i];
while (cur)
{
cout << "[" << _vertexs[cur->_dsti] << ":" << cur->_dsti << ":" << cur->_w << "]->";
cur = cur->_next;
}
cout << "nullptr" << endl;
}
}
private:
void del(const V& src, const V& dst)
{
size_t srci = GetVertexIndex(src);
size_t dsti = GetVertexIndex(dst);
// A -> B -> C 删除A->B
// 1.先判断这个边在不在,如果在就删除,不在就返回
Edge* cur = _tables[srci];
Edge* per = cur;
while (cur)
{
// 如果找到了
if (cur->_dsti == dsti)
{
// 如果在头
if (per == cur)
{
_tables[srci] = per->_next;
delete cur;
break;
}
else
{
// 如果在尾和中间
per->_next = cur->_next;
delete cur;
break;
}
}
// 如果没找到
per = cur;
cur = cur->_next;
}
}
private:
vector<V> _vertexs; // 顶点集合
map<V, size_t> _indexMap; // 顶点和下标建立映射
vector<Edge*> _tables; // 邻接表
};
void Test2()
{
string a[] = {"张三","李四","王五","赵六"};
Graph<string, size_t> g1(a, 4);
g1.AddEdge("张三", "李四", 100);
g1.AddEdge("张三", "王五", 100);
g1.AddEdge("张三", "赵六", 100);
g1.AddEdge("王五", "赵六", 100);
g1.Print();
}
}
结果展示:

2. 用邻接矩阵存储图的优点是能够快速知道两个顶点是否连通,取到权值