一、使用线性回归进行分类任务
在分类任务中(例如判断肿瘤是良性(0)还是恶性(1) ),如果直接使用线性回归模型:

则预测结果可能超出区间 [0,1],而概率必须在这个区间内。因此,我们需要一个能够将任意实数映射到 [0,1] 的函数------这就是Sigmoid函数(逻辑函数)。
二、逻辑回归(Logistic Regression)
1. 肿瘤分类案例
我们的目标是预测"肿瘤为恶性"的概率。
-
设 y=0:肿瘤良性
-
y=1:肿瘤恶性
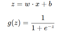
2. 构建逻辑函数
逻辑回归的核心公式为:

其中:

Sigmoid函数 g(z) 的作用是把线性结果 z 转换为一个范围在 (0,1) 之间的概率值。
例如:

三、边界决策(Decision Boundary)
在逻辑回归中,我们通常选择0.5作为分类边界:

-
若
,表示恶性概率为 90%,则预测为 1。 -
若
,表示恶性概率为 20%,则预测为 0。
线性决策边界对应于一个直线方程
,
非线性决策边界可以通过加入多项式特征实现(例如
)。
四、逻辑回归的成本函数(Cost Function)
1. 为什么不能使用平方误差?
若使用平方误差代价函数:

在逻辑回归中会导致非凸函数(Non-convex),训练时可能陷入局部最小值,优化困难。
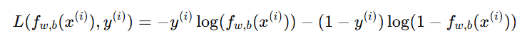
2. 逻辑回归的损失函数定义
为了让优化问题成为凸函数,我们定义单个样本的损失函数(Loss Function)为:

这意味着:
-
若真实标签是 1,模型应尽量让
靠近 1,否则
会很大; -
若真实标签是 0,模型应让
靠近 0,否则
会很大。
五、逻辑回归的简化成本函数
可以把上面的两个情况合并为一个公式:

整个训练集的平均成本函数为:

这个函数是凸函数(bowl shape),可以使用梯度下降高效求得最优解。
六、例子:肿瘤预测分类
假设我们有以下肿瘤数据(单特征):
| 肿瘤大小 x | 是否恶性 y |
|---|---|
| 1.0 | 0 |
| 2.0 | 0 |
| 3.0 | 0 |
| 4.0 | 1 |
| 5.0 | 1 |
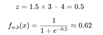
我们模型设为:

假设训练得到参数 w=1.5,b=−4.0。
当 x=3 时:

表示"恶性肿瘤"的概率为 62%,因此预测类别为 1(恶性)。
总结:
-
逻辑回归不是"回归"而是"分类"模型;
-
使用 Sigmoid 函数将线性输出转化为概率;
-
损失函数为对数损失(Log Loss),确保优化问题凸;
-
常用梯度下降法最小化 J(w,b)。